ANRORC mechanismus
ANRORC mechanismus je reakční mechanismus používaný pro popis určitého druhu substitučních reakcí;[1][2][3] používá se k vysvětlení průběhu nukleofilních substitucí, zejména u heterocyklických sloučenin. Jeho použití je časté například v lékařské chemii.[4]
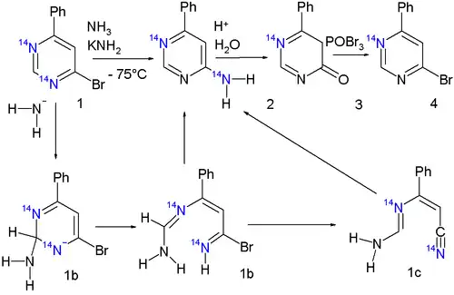
Tento mechanismus byl zkoumán na reakcích amidů kovů, jako je například amid sodný, (sloužících jako nukleofily) se substituovanými pyrimidiny (jako je například 4-fenyl-6-brompyrimidin 1) v amoniaku za nízkých teplot. Hlavním produktem byl 4-fenyl-6-aminopyrimidin 2, u něhož byl atom bromu nahrazen aminovou skupinou. Tento mechanismus vylučuje tvorbu arynového meziproduktu A, z něhož by také vznikal 5-substituovaný produkt.

Existují důkazy nasvědčující tomu, že během této reakce s otevíráním cyklu nevzniká ani druhý teoreticky možný meziprodukt, kterým by byl Meisenheimerův komplex B. Při reakcích s jinými aminy, například piperidinem, byly také zachyceny produkty vzniklé otevřením cyklu po odštěpení bromovodíku.

Mechanismus byl zkoumán pomocí izotopového značkování deuteriem na pátém uhlíku; v produktu nebylo deuterium zachyceno, což svědčí ve prospěch ANRORC mechanismu.

Konečný důkaz byl získán tak, že oba atomy dusíku v pyrimidinu byly nahrazeny izotopem 14N.

U produktu 4 (získaného kyselou hydrolýzou a bromací látky 2) došlo ke ztrátě poloviny atomů 14N, což ukazuje, že vnitřní atom dusíku byl nahrazen vnějším.
ANRORC mechanismus je mimo jiné součástí Zinckeovy reakce.
Reference
V tomto článku byl použit překlad textu z článku ANRORC mechanism na anglické Wikipedii.
- ↑ Henk C. Van der Plas. The SN(ANRORC) mechanism: a new mechanism for nucleophilic substitution. Accounts of Chemical Research. 1978, s. 462–468. doi:10.1021/ar50132a005.
- ↑ H. C. Vanderplas. S-N(ANRORC) reactions in azaheterocycles containing an "inside" leaving group. Advances in Heterocyclic Chemistry. 1999, s. 9–86. ISBN 978-0-12-020774-9. doi:10.1016/S0065-2725(08)60809-0.
- ↑ H. C. Vanderplas. S-N(ANRORC) reactions in azaheterocycles containing an "inside" leaving group. Advances in Heterocyclic Chemistry. 1999, s. 87–151. ISBN 978-0-12-020774-9. doi:10.1016/S0065-2725(08)60810-7.
- ↑ S. D. Roughley; A. M. Jordan. The Medicinal Chemist’s Toolbox: An Analysis of Reactions Used in the Pursuit of Drug Candidates. Journal of Medicinal Chemistry. 2011, s. 3451–3479. doi:10.1021/jm200187y. PMID 21504168.