Meisenheimerův komplex
Meisenheimerův komplex (také nazývaný Jacksonův–Meisenheimerův komplex) je 1:1 adukt vznikající reakcí arenu, na kterém je navázána skupina odtahující elektrony, s nukleofilem. Tyto komplexy se objevují jako reaktivní meziprodukty v nukleofilních aromatických substitucích, podařilo se však izolovat stálé soli některých takových komplexů.[1][2]
Historie
V roce 1886 pozoroval Janovski po smíchání 1,3-dinitrobenzenu s alkoholovým roztokem zásady výrazné fialové zbarvení. Roku 1895 zkoumal Cornelis Adriaan Lobry van Troostenburg de Bruyn červenou pevnou látku získanou reakcí trinitrobenzenu s hydroxidem draselným v methanolu. V roce 1900 provedli Jackson a Gazzolo reakci trinitroanizolu s methoxidem sodným a pro produkt navrhli chinoidovou strukturu.
V roce 1902 Jakob Meisenheimer[3] zjistil, že okyselením tohoto produktu dojde k obnově reaktantu.
Pokud komplex obsahuje tři skupiny odtahující elektrony, tak se podle chinoidového modelu záporný náboj nachází na jedné z těchto skupin. U arenů s menší elektronovou hustotou je delokalizovaný v celém cyklu.
V jedné studii[4] byla provedena reakce Meisenheimerova arenu (konkrétně 4,6-dinitrobenzofuroxanu) s arenem odevzdávajícím elektrony (1,3,5-tris(N-pyrrolidinyl)benzenem) za vzniku zwitteriontového Meisenheimerova–Whelandova komplexu. Jako Whelandovy meziprodukty se označují kationtové meziprodukty vznikající při elektrofilních aromatických substitucích, které jsou kladně nabitým protějškem záporně nabitých Meisenheimerových meziproduktů, jež se tvoří při nukleofilních aromatických substitucích. Současný výskyt Whelandova a Meisenheimerova meziproduktu v jednom zwitteriontovém komplexu se tak označuje pojmem Meisenheimerův–Whelandův komplex.
Struktura tohoto komplexu byla potvrzena pomocí NMR spektroskopie.
Janovského reakce
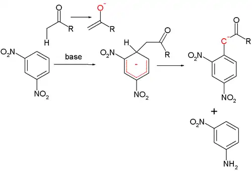
Při Janovského reakci reaguje 1,3-dinitrobenzen s enolizovatelným ketonem za vzniku Meisenheimerova aduktu.
Zimmermannova reakce
Při Zimmermannově reakci se produkt Jankovského reakce oxiduje za nadbytku zásady na výrazně zbarvený enolát, který je dále reakcí s dinitrosloučeninou převeden na aromatický nitroamin.[5] Tato reakce je podstatou Zimmermannova testu, jenž slouží k důkazu přítomnosti ketosteroidů.[6]
Reference
V tomto článku byl použit překlad textu z článku Meisenheimer complex na anglické Wikipedii.
- ↑ G. A. Artamkina; M. P. Egorov; I. P. Beletskaya. Some aspects of anionic σ-complexes. Chemical Reviews. 1982, s. 427–459. doi:10.1021/cr00050a004.
- ↑ Francois Terrier. Rate and equilibrium studies in Jackson-Meisenheimer complexes. Chemical Reviews. 1982, s. 77–152. doi:10.1021/cr00048a001.
- ↑ Jakob Meisenheimer. Ueber Reactionen aromatischer Nitrokörper. Justus Liebigs Annalen der Chemie. 1902, s. 205–246. doi:10.1002/jlac.19023230205.
- ↑ Carla Boga; Erminia Del Vecchio; Andrea Mazzanti; Paolo E. Todesco. Evidence for Carbon–Carbon Meisenheimer–Wheland Complexes between Superelectrophilic and Supernucleophilic Carbon Reagents. Angewandte Chemie. 2005, s. 3349–3353. doi:10.1002/ange.200500238.
- ↑ Gene G. Wubbels; Simeon Winitz. NMR and ultraviolet spectral characterization of dihydrobenzene intermediates in the displacement of hydrogen by intramolecular nucleophilic aromatic photosubstitution. The Journal of Organic Chemistry. 1990-01-01, s. 631–636. ISSN 0022-3263. doi:10.1021/jo00289a043.
- ↑ Arthur L. Haskins; Alfred I. Sherman. Paper Chromatographic Separation and Ultraviolet Analysis of Commercially Prepared Progesterone. The Journal of Biological Chemistry. 1950, s. 429–438. Dostupné online.

