Čičibabinova reakce

Čičibabinova reakce je organická reakce sloužící k přípravě 2-aminopyridinů z pyridinu nebo jeho derivátu reakcí s amidem sodným. Objevil ji Alexej Čičibabin v roce 1914.[1] Obecná rovnice reakce vypadá takto:

Obecná rovnice Čičibabinovy reakce

Přímá aminace pyridinu amidem sodným probíhá v kapalném amoniaku. V souladu s mechanismem odpovídajícím adičně-eliminační reakci dochází k nukleofilní adici amidového aniontu NH 
2
  a odštěpení hydridového aniontu H, který je odcházející skupinou.

Byla popsána vnitromolekulární Čičibabinova reakce, v níž je zdrojem dusíku pro aminaci nitrilová skupina v cyklickém řetězci.[2]

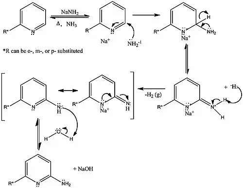
Mechanismus

Předpokládá se, že Čičibabinova reakce probíhá adičně-eliminačním mechanismem přes σ-adukt (Meisenheimerův komplex).[3] Nejprve se nukleofilní skupina NH2 naváže na δ+ uhlík a elektrony se přesunou na dusík za vzniku aniontového σ-aduktu, jenž je stabilizován sodnými kationty. Elektrony se následně přesunou z dusíku zpět do cyklu, čímž dojde k obnovení aromaticity. Nakonec záporně nabitá NH skupina přijme proton z vody a vytvoří se konečný produkt.

Průběh reakce lze sledovat pomocí měření tvorby plynného vodíku a červeného zbarvení způsobeného tvorbou σ-aduktu.[3]

Amid sodný je vhodný pro tuto reakci, ovšem obtížně se skladuje.[4]

Vznik σ-aduktu

Ukazuje se, že před adicí aminové skupiny dochází ke spojení heterocyklického dusíku s amidem sodným a tvorbě komplexu se sodným kationtem.[3] Tím dochází k zesílení částečného kladného náboje (δ+) na α uhlíku, což společně s blízkostí aminové skupiny k α uhlíku vede k převaze 1,2-adice nad 1,4-adicí.

Vznik σ-aduktu pravděpodobně probíhá jednoelektronově.[3]

Ve většině případů je σ-adukt nestabilní a jeho tvorba je tedy krokem určujícím rychlost reakce.[3]

Odštěpení hydridového aniontu

Kromě výše uvedeného byly navrženy i jiné mechanismy eliminace hydridového iontu.[3] Možnost eliminace H následované odštěpením protonu je podporována tím, že nukleofil potřebuje k reakci alespoň jeden proton. V jiném mechanismu dochází k eliminaci hydridového iontu sodíkem za vzniku hydridu sodného.

Vliv různých faktorů na reakci

U některých substrátů trvá Čičibabinova reakce minuty, u jiných hodiny. Rychlost reakce nejvíce ovlivňují tyto faktory:

  • Zásaditost reakčního prostředí - vhodné pH pro tuto reakci je 5-8, mimo tento interval probíhá špatně nebo neprobíhá vůbec. V zásaditějším prostředí probíhá rychleji, ovšem pouze do okamžiku, kdy dojde k výraznému nárůstu elektronové hustoty na α uhlíku vedoucímu ke snížení jeho elektrofilicity. Nejsilnější známou zásadou, která může provádět aminaci, je 4-dimethylaminopyridin (pKa 9,37, tedy pKb 4,63).[3]
  • Velikost částečného kladného náboje (δ+) na uhlíku - rychlost kineticky řízené aminace záleží na velikosti částečného kladného náboje na uhlíku sousedícím s heterocyklickým dusíkem. U termodynamicky řízených aminací závisí na stabilitě σ-aduktu.[3]
  • Snadnost odštěpení hydridového iontu - rychlost Čičibabinovy reakce je také závislá na tom, jak snadno dochází k eliminaci hydridového aniontu a obnovení aromaticity. Jako příklad lze uvést postupný pokles rychlosti reakce u trojice azolů: 1-methylbenzimidazol > 1-methylnaft-[2,3-d]imidazol > 3-methylnaft[1,2-d]imidazol.[3] Jelikož při použití těchto substrátů probíhá adice rychle, tak rozdíly v rychlostech jejich reakcí spočívají převážně v rozdílné schopnosti eliminovat hydridový ion a obnovovat aromatický kruh.[3]
  • Substituenty - Skupiny odtahující elektrony Čičibabinovu reakci zpomalují až znemožňují. Možné důvody jsou tři: snížení zásaditosti dusíku a tím zpomalení jeho vazby na amid sodný, tvorba komplexů s amidem sodným, a také (u jednoelektronového mechanismu) změna rozdělení hustoty spinu u v průběhu reakce vznikajícího radikálového aniontu.[3]

Substráty s σ-dimethoxyskupinami se neaminují, protože vytvářejí s amidem sodným stabilní komplexy.[3] Skupiny dodávající elektrony působí deaktivaci a také inhibují Čičibabinovu reakci.

  • Benzoanelace - Jelikož je hydridový ion špatnou odcházející skupinou, tak rychlost Čičibabinovy reakce rovněž navyšuje benzoanelace. To se projevuje například nereaktivitou 1-methylimidazolu, zatímco 1-methylbenzimidazol reaguje snadno.[3]
  • Rozpouštědlo - Snadnost tvorby polárního aniontového σ-aduktu je závislá na solvatační kapacitě a permitivitě rozpouštědla.[3]

Teplota - V aprotických rozpouštědlech (kde je krokem určujícím rychlost reakce vznik σ-aduktu) reakce probíhá lépe při nižších teplotách, protože při vysokých teplotách dochází k rozkladu.

Vedlejší reakce

Nejčastější vedlejší reakcí bývá dimerizace. Při zahřívání s xylenem a amidem sodným za atmosférického tlaku se 4-terc-butylpyridin z 89 % přeměňuje na svůj dimer, 4,4'-di-terc-butyl-2,2'-bipyridin, a pouze z 11 % na Čičibabinův produkt, kterým je 2-amino-4-terc-butylpyridin.[3] Zvýšením tlaku dusíku na 2,4 MPa se podíl Čičibabinova produktu zvýší na 74 % a dimer bude tvořit pouze 26 % produktu.[3]

Odkazy

Související články

  • Aminace

Externí odkazy

Reference

V tomto článku byl použit překlad textu z článku Chichibabin reaction na anglické Wikipedii.

  1. A. E. Chichibabin; O. A. Zeide. New Reaction for Compounds Containing the Pyridine Nucleus. Zhur. Russ. Fiz. Khim. Obshch (J. Russ. Phys. Chem. Soc.). 1914, s. 1216–1236. 
  2. E. Ciganek. Tertiary Carbinamines by Addition of Organocerium Reagents to Nitriles and Ketimines. Journal of Organic Chemistry. 1992, s. 4521–4527. doi:10.1021/jo00042a037. 
  3. a b c d e f g h i j k l m n o p C. McGill; A. Rappa. Advances in the Chichibabin Reaction. Advances in Heterocyclic Chemistry. 1988, s. 1–79. ISBN 9780120206445. doi:10.1016/s0065-2725(08)60261-5. 
  4. R. N. Shreve; E. H. Riechers; H. Rubenkoenig; A. H. Goodman. Amination in the Heterocyclic Series by Sodium Amide. Industrial and Engineering Chemistry. 1940, s. 173–178. doi:10.1021/ie50362a008.