Tetraterpeny

Tetraterpeny (molekulární vzorec C40H64) jsou terpeny, skládající se z osmi isoprenových jednotek.
Mezi biologicky důležité tetraterpeny patří:
- lykopen (acyklický tetraterpen)
- γ-karoten (monocyklický tetraterpen)
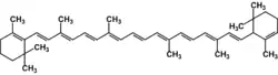
- α- a β-karoten (bicyklické tetraterpeny)
Deriváty tetraterpenů se označují jako tetraterpenoidy, patří mezi ně např.:
- karotenoidy
- triantenol 1
- methyl tortuoát C[1] (obsažen v korálu Sarcophyton tortuosum)
Odkazy
Reference
V tomto článku byly použity překlady textů z článků Tetraterpene na anglické Wikipedii a Tetraterpenoid na anglické Wikipedii.
- ↑ Taylor & Francis Online - New tetraterpenoid from the soft coral Sarcophyton tortuosum - Journal of Asian Natural Products Research - Volume 9, Issue 3 [online]. [cit. 2012-02-11]. Dostupné online. ((anglicky))
Portály: Chemie