Karoteny

Karoten je zodpovědný za oranžovo-červené zbarvení mrkví a mnoha dalších druhů ovoce a zeleniny
alfa-karoten
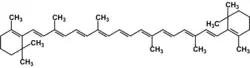
beta-karoten

Karoteny jsou pomocná fotosyntetická barviva. Nacházejí se v buněčné membráně a jsou lipofilní, tzn. že se rozpouštějí v tucích (tzv. lipochromy). Tyto karotenoidy fungují v buňce, ať už jde o řasu, nebo o vyšší rostlinu, jako jakési sluneční brýle, aby nedošlo k poškození buňky i DNA slunečními paprsky, které v sobě skýtají obrovskou energii. Z toho vyplývá, že když Slunce začne vycházet, tak množství karotenoidůbuňce je malé a naopak se v buňce nachází velké množství chlorofylu. Když dosáhne sluneční záření nejvyšší intenzity, buňka se brání zvýšenou produkcí karotenoidů a sníží množství chlorofylu. Za zmínku stojí to, že „záření“ karotenoidy sbírají pomocí sběrných antén, které mohou natáčet libovolně podle intenzity světla.

Zachycenou energii předávají karoteny pomocí fotosystému II chlorofylům, kde je využívána k excitaci elektronů v primární fázi fotosyntézy. Karoteny tedy kromě ochrany buňky před nadměrným ozářením také zvyšují spektrum vlnových délek, na kterých je fotosystém schopen absorbovat, a mají tedy též fotosyntetickou funkci.

Biosyntéza

Biosyntéza karotenů vychází z 3-fosfoglyceraldehydu, který s pyruvátem tvoří pětiuhlíkatý dimethyllallylpyrofosfát. Spojením dvou dimetyllallylpyrofosfátů vznikne desetiuhlíkatý geranylpyrofosfát. Spojením dvou geranylpyrofosfátů vzniká dvacetiuhlíkatý geranylgeranylpyrofosfát, který se dále přeměňuje v lykopen. Lykopen je už schopný absorbovat světlo. Z lykopenu pak vzniká buď alfa-karoten, který se dále přeměňuje na lutein, nebo beta-karoten. Beta-karoten je schopen xantofylového cyklu.[1]

Reference

  1. Stanislav Procházka a kol. Fyziologie rostlin. Praha: Academia, 1998. ISBN 80-200-0586-2. S. 484. 

Literatura

  • Voet D., Voetová J.: Biochemie, 1. české vydání, Victoria Publishing, Praha 1995. ISBN 80-85605-44-9
  • Karlson P.: Základy biochemie, Academia, Praha 1965.

Externí odkazy

  • Obrázky, zvuky či videa k tématu karoten na Wikimedia Commons