Tetraedran
| Tetraedran | |
|---|---|
![]() Strukturní vzorec | |
| Obecné | |
| Systematický název | tricyklo[1.1.0.02,4]butan |
| Sumární vzorec | C4H4 |
| Identifikace | |
| Registrační číslo CAS | 157-39-1 |
| PubChem | 9548696 |
| SMILES | C12C3C1C23 |
| InChI | InChI=1S/C4H4/c1-2-3(1)4(1)2/h1-4H |
| Vlastnosti | |
| Molární hmotnost | 52,075 g/mol |
Některá data mohou pocházet z datové položky. | |
Tetraedran je hypotetický platónský uhlovodík se vzorcem C4H4, s molekulou ve tvaru čtyřstěnu. V důsledku značného úhlového napětí se jej dosud (2023) nepodařilo připravit, je ale známo několik jeho derivátů.
Jako tetraedrany se také označují jiné molekuly a ionty s obdobnou strukturou, například bílý fosfor.
Organické tetraedrany
V roce 1978 připravil Günther Maier tetra-terc-butyltetraedran.[1] Terc-butylové (t-Bu) skupiny obklopují tetraedranové jádro a brání jeho rozpadu, který by tyto substituenty posunul blíže k sobě, což by vytvořilo Van der Waalsovo napětí.
Nesubstituovaný tetraedran nebyl připraven, přestože by měl být kineticky stálý. Jeden z pokusů o přípravu byl založen na reakci propenu s atomárním uhlíkem.[2]
Uzavření molekuly tetraedranu uvnitř klece fullerenu bylo dosaženo pouze teoreticky.[3]
Stechiometrie a značné úhlové napětí dodávají tetranitrotetraedranu možné využití jako výbušniny.[4] Na základě kvantové chemie byly vypočítány některé jeho vlastnosti.[5]
Tetra-terc-butyltetraedran
První příprava tetra-terc-butyltetraedranu začínala cykloadicí alkynu na terc-butylovaný maleinanhydrid,[6] po které následoval přesmyk za současného odštěpení oxidu uhličitého a vzniku cyklopentadienonu. Cyklopentadienon byl následně bromován, po čemž následovalo napojení čtvrté t-Bu skupiny. Fotochemickou cheletropní reakcí se z ;dienonu vytvořil konečný produkt.
Zahříváním tetra-terc-butyltetraedranu se vytváří tetra-terc-butylovaný cyklobutadien.
Hledání vhodných podmínek pro uvedené reakce trvalo několik roků, například příprava tetrakis(t-butyl)cyklopentadienonu z tris(t-butyl)bromcyklopentadienonu byla úspěšně provedena po více než 50 pokusech.[7]

Později byl nalezen jiný způsob přípravy, ve kterém byla posledním krokem fotolýza cyklopropenylovaného diazomethanu, při které vznikal výsledný produkt přes tetrakis(terc-butyl)cyklobutadien:[8][9]

Tetrakis(trimethylsilyl)tetraedran

Tetrakis(trimethylsilyl)tetraedran, výrazně stálejší než příslušný terc-butylový derivát, lze připravit reakcí cyklobutadienu s tris(pentafluorfenyl)boranem.[10] Kovalentní vazba Si-C je delší než C–C.[11] Sloučenina má teplotu tání 202 °C a je stálá až do 300 °C, kdy se rozkládá na bis(trimethylsilyl)acetylen.
Reakce tetrakis(trimethylsilyl)tetraedranu s methyllithiem vytváří tetraedranyllithium;[12] reakcemi s touto sloučeninou vznikají složitější struktury.[13][14][15]
Popsán byl také bis(tetraedran).[16]

Tetraedrany s neuhlíkatými jádry
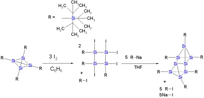
Tetrasilatetraedrany mají jádra tvořená čtyřmi atomy křemíku. Vazby Si-Si mají délku 235 pm a struktura je obklopena 16 trimethylsilylovými skupinami, které zajišťují stabilitu. Silatetrahedrany lze redukovat draselným interkalátem grafitu na tetrasilatetraedranidy draselné; jejich anionty postrádají silylové substituenty u jednoho z atomů křemíku, které tak získávají záporný náboj. Draselný kation lze zachytit crown etherem, takto vzniklý komplex má draselný kation a silylový anion od sebe vzdáleny 885 pm. Jedna z vazeb Si−–Si má nově délku 272 pm a čtyřvazný křemík této vazby má obrácenou tetraedrickou geometrii. Čtveřice atomů Si je pro NMR spektroskopii ekvivalentní, protože se silylové skupiny přesunují mezi jednotlivými místy této klecovité struktury.[17]

Pokusy o dimerizaci, pozorovanou u uhlíkatých tetraedranů, proběhly i u tetrasilatetraedranu.[18] Jádro molekuly produktu je chráněno čtyřmi „supersilylovými“ skupinami, kde jsou na každý atom křemíku napojeny tři terc-butyly.

Anorganické a organokovové tetraedrany


Strukturu podobnou tetraedranu mají také bílý fosfor (P4) a žlutý arsen (As4), a některé karbonyly kovů, například dodekakarbonyl tetrarhodia.
Jsou známé též metalatetraedrany, obsahující jeden atom kovu (nebo fosforu) spojené s cyklopropylovými trianionty.[20]
Odkazy
Reference
V tomto článku byl použit překlad textu z článku Tetrahedrane na anglické Wikipedii.
- ↑ G. Maier; S. Pfriem; U. Schäfer; R. Matusch. Tetra-tert-butyltetrahedrane. Angewandte Chemie International Edition in English. 1978, s. 520–521. doi:10.1002/anie.197805201.
- ↑ Adelina Nemirowski; Hans Peter Reisenauer; Peter R. Schreiner. Tetrahedrane—Dossier of an Unknown. Chemistry: A European Journal. 2006, s. 7411–7420. doi:10.1002/chem.200600451. PMID 16933255.
- ↑ Xiao-Yuan Ren; Cai-Ying Jiang; Jiang Wang; Zi-Yang Liu. Endohedral complex of fullerene C60 with tetrahedrane, C4H4@C60. Journal of Molecular Graphics and Modelling. 2008, s. 558–562. doi:10.1016/j.jmgm.2008.09.010. PMID 18993098.
- ↑ Ge Zhou; Jing-Lai Zhang; Ning-Bew Wong; Anmin Tian. Computational studies on a kind of novel energetic materials tetrahedrane and nitro derivatives. Journal of Molecular Structure: THEOCHEM. 2004, s. 189–195. doi:10.1016/j.theochem.2003.10.054.
- ↑ Peter D. Jarowski; Francois Diederich; Kendall N. Houk. Structures and Stabilities of Diacetylene-Expanded Polyhedranes by Quantum Mechanics and Molecular Mechanics. The Journal of Organic Chemistry. 2005, s. 1671–1678. doi:10.1021/jo0479819. PMID 15730286.
- ↑ Günther Maier; Friedrich Boßlet. tert-Butyl-substituierte cyclobutadiene und cyclopentadienone. Tetrahedron Letters. 1972, s. 1025–1030. doi:10.1016/S0040-4039(01)84500-7.
- ↑ Günther Maier; Stephan Pfriem; Ulrich Schäfer; Klaus-Dieter Malsch; Rudolf Matusch. Kleine Ringe, 38: Tetra-tert-butyltetrahedran. Chemische Berichte. 1981, s. 3965–3987. doi:10.1002/cber.19811141218.
- ↑ Günther Maier; Frank Fleischer. Ein alternativer zugang zum tetra-tert-butyltetrahedran. Tetrahedron Letters. 1991, s. 57–60. ISSN 0040-4039. doi:10.1016/S0040-4039(00)71217-2.
- ↑ M. Rubin; M. Rubina; V. Gevorgyan. Recent Advances in Cyclopropene Chemistry. Synthesis. 2006, s. 1221–1245. doi:10.1055/s-2006-926404.
- ↑ M. Nakamoto; Y. Inagakia; T. Ochiai; M. Tanaka; A. Sekiguchi. Cyclobutadiene to tetrahedrane: Valence isomerization induced by one-electron oxidation. Heteroatom Chemistry. 2011, s. 412–416. doi:10.1002/hc.20699.
- ↑ Günther Maier; Jörg Neudert; Oliver Wolf; Dirk Pappusch; Akira Sekiguchi; Masanobu Tanaka; Tsukasa Matsuo. Tetrakis(trimethylsilyl)tetrahedrane. Journal of the American Chemical Society. 2002, s. 13819–13826. doi:10.1021/ja020863n. PMID 12431112.
- ↑ Akira Sekiguchi; Masanobu Tanaka. Tetrahedranyllithium: Synthesis, Characterization, and Reactivity. Journal of the American Chemical Society. 2003, s. 12684–12685. doi:10.1021/ja030476t. PMID 14558797.
- ↑ Masaaki Nakamoto; Yusuke Inagaki; Motoaki Nishina; Akira Sekiguchi. Perfluoroaryltetrahedranes: Tetrahedranes with Extended σ−π Conjugation. Journal of the American Chemical Society. 2009, s. 3172–3173. doi:10.1021/ja810055t. PMID 19226138.
- ↑ Tatsumi Ochiai; Masaaki Nakamoto; Yusuke Inagaki; Akira Sekiguchi. Sulfur-Substituted Tetrahedranes. Journal of the American Chemical Society. 2011, s. 11504–11507. Dostupné online. doi:10.1021/ja205361a. PMID 21728313.
- ↑ Y. Kobayashi; M. Nakamoto; Y. Inagaki; A. Sekiguchi. Cross-Coupling Reaction of a Highly Strained Molecule: Synthesis of σ–π Conjugated Tetrahedranes. Angewandte Chemie International Edition. 2013, s. 10740–10744. doi:10.1002/anie.201304770. PMID 24038655.
- ↑ M. Tanaka; A. Sekiguchi. Hexakis(trimethylsilyl)tetrahedranyltetrahedrane. Angewandte Chemie International Edition. 2005, s. 5821–5823. doi:10.1002/anie.200501605. PMID 16041816.
- ↑ Masaaki Ichinohe; Masafumi Toyoshimai; Rei Kinjo; Akira Sekiguchi. Tetrasilatetrahedranide: A Silicon Cage Anion. Journal of the American Chemical Society. 2003, s. 13328–13329. doi:10.1021/ja0305050. PMID 14583007.
- ↑ G. Fischer; V. Huch; P. Mayer; S. K. Vasisht; M. Veith; N. Wiberg. Si8(SitBu3)6: A Hitherto Unknown Cluster Structure in Silicon Chemistry. Angewandte Chemie International Edition. 2005, s. 7884–7887. doi:10.1002/anie.200501289. PMID 16287188.
- ↑ Werner Uhl; Rene Graupner; Marcus Layh; Uwe Schütz. In4{C(SiMe3)3}4 mit In4-tetraeder und In4Se4{C(SiMe3)3}4 mit In4Se4-heterocubanstruktur. Journal of Organometallic Chemistry. 1995, s. C1–C5. doi:10.1016/0022-328X(95)05399-.
- ↑ * Organometallics 2019, 38, 21, 4054–4059
- Organometallics 1984, 3, 1574−1583
- Organometallics 1986, 5, 25−33
- Journal of the American Chemical Society 1984, 106, 3356−3357.
- Journal of the Chemical Society, Chemical Communications 1984, 485−486
- Science Advances 25 Mar 2020: Vol. 6, doi:10.1126/sciadv.aaz3168
Související články
- Dodekaedran
- Prisman
Externí odkazy
Obrázky, zvuky či videa k tématu tetraedran na Wikimedia Commons
