Metateze alkynů

Metateze alkynů je organická reakce spočívající v přeuspořádání chemických vazeb v alkynech; ke katalýze se používají organokovové sloučeniny. Mechanistické studie naznačují, že meziprodukty těchto reakcí jsou alkylidynové komplexy.[1][2]
Podobnou reakcí je metateze alkenů.
Historie

Metateze alkynů katalyzované kovy byly poprvé popsány v roce 1968. Baileyův systém se skládá ze směsi oxidu wolframového a křemičitého a pracuje i za teplot okolo 450 °C. V roce 1974 byl popsán homogenní katalyzátor založený na hexakarbonylu molybdenu, použitelný při 160 °C; při jeho použití se nesymetrický alkyn mění na směs dvou symetrických derivátů.[3] Tento systém, nazývaný Mortreuxův, obsahuje molybdenový prekatalyzátor v podobě hexakarbonylu molybdenu, Mo(CO)6, a resorcinolový kokatalyzátor. V roce 1975 navrhl T. J. Katz, že by meziprodukty příslušné katalýzy mohly býtalkylidyn a metalocyklobutadien. Roku 1981 prozkoumal Richard R. Schrock několik katalyticky aktivních metalocyklobutadienových komplexů.[4]
Vysoce účinné jsou molybdenové katalyzátory využívající jako ligandy deriváty anilinu.[5]
- Katalyzátory metateze alkynů
-

-
„klenbové“ katalyzátory -
d2-katalyzátor stálý na vzduchu -
několik katalyzátorů založených na Schrockových karbynech
Klenbové katalyzátory obsahují trojramenné ligandy a vyznačují se vysokou aktivitou i snadnou přípravou.[6][7]
Experimentální a výpočetní studie ukázaly, že metalotetraedrany jsou izolovatelné, ale v průběhu katalytického cyklu se dynamicky proměňují.[8]
Metateze alkynů lze katalyzovat i rheničnými komplexy.[9]
Tyto katalyzátory jsou na vzduchu stálé a umožňují použití mnoha různých funkčních skupin, mimo jiné i karboxylových.
Degradace katalyzátoru
Degradace katalyzátorů používaních při metatezích alkynů probíhají hlavně hydrolyticky a oxidačně.
Dimerizace alkylidynů jsou stále možné, což je vidět na možnosti izolovat malá množství komplexu 28. Kromě bimolekulárních rozkladů a hydrolýz se Schrockovy alkylidyny mohou rozkládat při pokusech o metateze koncových alkynů, po tvorbě metalocyklů, mechanismus zahrnuje transanelační aktivaci vazby C-H, spojenou s tvorbou deprotio-metalocyklobutadienu, a ztrátu jednoho alkoxidového ligandu. Tento rozklad probíhá i u alkylidynů se silanolátovými ligandy, například sloučenina 29 je izolovatelná po přidání 1,10-fenantrolinu. Z těchto důvodů nelze provádět účinné metateze koncových alkynů uvedenými katalytickými systémy.[10]

Rovnováhy těchto reakcí je možné posunout ve prospěch produktů pomocí molekulových sít, která zachycují butynové meziprodukty.
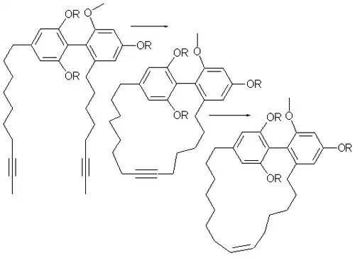
Uzavírací metateze
Metateze alkynů lze použít v rámci reakcí uzavírajících kruhy; například civeton se dá takto získat z dialkynu.Po uzavření kruhu se vzniklá trojná vazba stereoselektivně redukuje vodíkem a pomocí Lindlarova katalyzátoru se získá Z-alken (cyklické E-alkeny se dají připravit Birchovými redukcemi). Řídicí silou této reakce je odštěpení malé plynné molekuly, kterou může být například acetylen nebo but-2-yn.
Obdobným dvoukrokovým postupem lze vytvořit přírodní cyklofan turrian.
Metateze alkynů mohou katalyzovat také trisamidomolybdenové komplexy alkylidynů.[11][12]
Přípravy přírodních látek
Metateze alkynů byly také zahrnuty do totálních syntéz několika přírodních látek, například prostanoidu hybridalaktonu, kde bylo možné reakci provést i za přítomnosti epoxidových, vnitřních alkenových a esterových skupin.[13]

V dalším případě posloužil jako substrát vysoce funkcionalizovaný enyn, obsahující thiazolidinonovou skupinu, jenž prošel metatezí za přítomnosti molybdenitého katalyzátoru , přičemž ani heterocyklická síra, ani terciární glykosid (jinak náchylný k odštěpení) nezpůsobovaly potíže při uzavírání kruhu.[14]

Totální syntéza spirastrellolidu F zahrnuje krok spočívající v metatezi alkynu.[15] Molekula tohoto inhibitoru fosfatázy má 21 stereogenních center a v jejím vedlejším řetězci se nachází nestabilní dien. Makrocyklické jádro obsahuje tetrahydropyranový kruh a spiroketal, a také chlorovaný bis-spiroketal. Tento polycyklus se podařilo vytvořit pomocí posloupnosti metatezí alkynů a acetalizace katalyzované zlatem.

Nitriloalkynové metateze
Nahrazením wolframového alkylidynu nitridem wolframu a zavedením nitrilu lze provést nitriloalkynové metateze, kdy se spojují dvě nitrilové skupiny za tvorby nového alkynu. Dusík se naváže na další alkyn (volný N2 nevzniká):[16][17]
Odkazy
Reference
V tomto článku byl použit překlad textu z článku Alkyne metathesis na anglické Wikipedii.
- ↑ A. Fürstner; P. W. Davies. Alkyne Metathesis. Chemical Communications. 2005, s. 2307–2320. doi:10.1039/b419143a. PMID 15877114.
- ↑ Daesung Lee; Ivan Volchkov; Sang Young Yun. Alkyne Metathesis. Organic Reactions. 2020, s. 613–931. ISBN 9780471264187. doi:10.1002/0471264180.or102.02.
- ↑ A. Fürstner; C. Mathes; C. W. Lehmann. Mo[N(t-Bu)(Ar)]3 Complexes As Catalyst Precursors: In Situ Activation and Application to Metathesis Reactions of Alkynes and Diynes. Journal of the American Chemical Society. 1999, s. 9453–9454. doi:10.1021/ja991340r.
- ↑ R. R. Schrock; D. N. Clark; J. Sancho; J. H. Wengrovius; S. M. Rocklage; S. F. Pedersen. Tungsten(VI) neopentylidyne complexes. Organometallics. 1982, s. 1645–1651. doi:10.1021/om00072a018.
- ↑ Andre Mortreux. Metathesis of alkynes by a molybdenum hexacarbonyl–resorcinol catalyst. Chemical Communications. 1974, s. 786–787. doi:10.1039/C39740000786.
- ↑ Julius Hillenbrand; Alois Fürstner. "Canopy Catalysts" for Alkyne Metathesis: Molybdenum Alkylidyne Complexes with a Tripodal Ligand Framework. Journal of the American Chemical Society. 2020, s. 11279–11294. doi:10.1021/jacs.0c04742. PMID 32463684.
- ↑ Richard Thompson; Semin Lee. Siloxide Podand Ligand as a Scaffold for Molybdenum-Catalyzed Alkyne Metathesis and Isolation of a Dynamic Metallatetrahedrane Intermediate. Organometallics. 2019, s. 4054–4059. doi:10.1021/acs.organomet.9b00430.
- ↑ Richard Thompson; Semin Lee. Impact of Ligands and Metals on the Formation of Metallacyclic Intermediates and a Nontraditional Mechanism for Group VI Alkyne Metathesis Catalysts. Journal of the American Chemical Society. 2021, s. 9026–9039. ISSN 0002-7863. doi:10.1021/jacs.1c01843. PMID 34110130.
- ↑ Mingxu Cui; Guochen Jia. Robust Alkyne Metathesis Catalyzed by Air Stable d2 Re(V) Alkylidyne Complexes. Journal of the American Chemical Society. 2020, s. 13339–13344. Dostupné online. doi:10.1021/jacs.0c06581.
- ↑ Olivier Coutelier. Terminal Alkyne Metathesis: A Further Step Towards Selectivity. Advanced Synthesis & Catalysis. 2006, s. 2038. Dostupné online. doi:10.1002/adsc.200606116.
- ↑ Wei Zhang; Yunyi Lu; Jeffrey S. Moore. Preparation of a Trisamidomolybdenum(VI) Propylidyne Complex. Organic Syntheses. 2007, s. 163. doi:10.15227/orgsyn.084.0163.
- ↑ Wei Zhang; Hyeon Mo Cho; Jeffrey S. Moore. Preparation of a Carbazole-Based Macrocycle via Precipitation-driven Alkyne Metathesis. Organic Syntheses. 2007, s. 177. doi:10.15227/orgsyn.084.0177.
- ↑ Volker Hickmann; Alois Fürstner. Catalysis-Based and Protecting-Group-Free Total Syntheses of the Marine Oxylipins Hybridalactone and the Ecklonialactones A, B, and C. Journal of the American Chemical Society. 2011, s. 13471–13480. Dostupné online. doi:10.1021/ja204027a. PMID 21780792.
- ↑ Alois Fürstner. Total Syntheses of the Actin-Binding Macrolides Latrunculin A, B, C, M, S and 16-epi-Latrunculin B. Chemistry—A European Journal. 2007, s. 115–134. doi:10.1002/chem.200601135. PMID 17091520.
- ↑ Alois Fürstner. Second-Generation Total Synthesis of Spirastrellolide F Methyl Ester: The Alkyne Route. Angewandte Chemie International Edition. 2011, s. 8739–8744. Dostupné online. doi:10.1002/anie.201103270. PMID 21793139.
- ↑ A. M. Geyer; R. K. Gdula; E. S. Wiedner; M. J. A. Johnson. Catalytic Nitrile-Alkyne Cross-Metathesis. Journal of the American Chemical Society. 2007, s. 3800–3801. doi:10.1021/ja0693439. PMID 17355136.
- ↑ S. Ritter. Nitrile-Alkyne Cross-Metathesis [online]. 2007-03-26. Dostupné online.
Související články
- Metateze alkanů, přeskupení vazeb v alkanech
- Metateze alkenů, přeskupení vazeb u alkenů
- Metateze enynů
Externí odkazy
Obrázky, zvuky či videa k tématu Metateze alkynů na Wikimedia Commons - Alkyne Metathesis in Organic Synthesis



