Anelace
Anelace (též anulace) jsou chemické reakce vytvářející nové kruhy.[1]
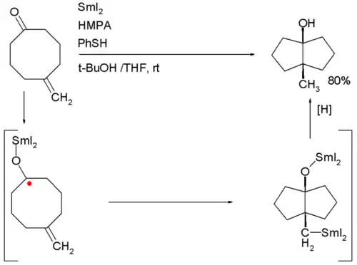
Příklady těchto reakcí mohou být Robinsonova anelace, Danheiserova anelace a cykloadice. Anulární molekuly, například heliceny a aceny, se vytváří kondenzacemi cyklických částí. Při transanelacích se připravují bicyklické molekuly z velkých monocyklů vnitromolekulárními reakcemi vytvářejícími vazby uhlík-uhlík; příkladem je keton-alkenová cyklizace 5-methylencyklooktanonu, katalyzovaná jodidem samarnatým, probíhající přes ketylový meziprodukt:[2]
Benzanelace
Jako benzanelované se označují cyklické molekuly (obvykle aromatické) spojené s benzenovými kruhy, například:
| Benzanelovaná sloučenina | Zdroj cyklu |
|---|---|
| Benzopyren | Pyren |
| Chinolin | Pyridin |
| Isochinolin | |
| Chromen | Pyran |
| Isochromen | |
| Indol | Pyrrol |
| Isoindol | |
| Benzofuran | Furan |
| Isobenzofuran | |
| Benzimidazol | Imidazol |
Jako benzanelační se označují reakce vytvářející benzenové kruhy z acyklických látek.[3]

Transanelární interakce
Trananelární interakce jsou nevazebné interakce mezi funkčními skupinami velkých kruhů.[5]
Odkazy
Reference
V tomto článku byl použit překlad textu z článku Annulation na anglické Wikipedii.
- ↑ The IUPAC Compendium of Chemical Terminology: The Gold Book. Příprava vydání Victor Gold. 4. vyd. Research Triangle Park, NC: International Union of Pure and Applied Chemistry (IUPAC) Dostupné online. doi:10.1351/goldbook.a00365. (anglicky) DOI: 10.1351/goldbook.
- ↑ Construction of Bicyclic Ring Systems via a Transannular SmI2-Mediated Ketone-Olefin Cyclization StrategyGary A. Molander, Barbara Czakó, Michael Rheam The Journal of Organic Chemistry; 2007; 72(5) 1755 - 1764; doi:10.1021/jo062292d
- ↑ Bhawna Swami; Deepak Yadav; Rajeev S. Menon. Benzannulation Reactions: A Case for Perspective Change From Arene Decoration to Arene Construction. The Chemical Record. 2002, s. e202100249. Dostupné online. ISSN 1527-8999. doi:10.1002/tcr.202100249. PMID 34796605.
- ↑ John G. Verkade; Sameer Urgaonkar; Rajeev S. Menon. Encyclopedia of Reagents for Organic Synthesis. [s.l.]: [s.n.], 2012. ISBN 978-0471936237. doi:10.1002/047084289X.rn00702.pub2. Kapitola Proazaphosphatrane.
- ↑ Experimental evidence in support of transannular interactions in diketones Kata Mlinaric-Majerski, Marijana Vinkovic, Danko Škare, Alan P. Marchand Arkivoc DS-339E 2002 [1] Archivováno 4. 5. 2006 na Wayback Machine.

