Biginelliova reakce
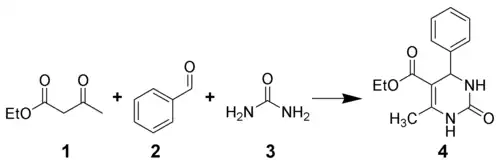
Biginelliova reakce je vícesložková reakce, v níž vzniká 3,4-dihydropyrimidin-2(1H)-on 4 z ethylesteru kyseliny acetyloctové 1, aromatického aldehydu (například benzaldehydu 2) a močoviny 3.[1][2][3][4]
Reakci objevil italský chemik Pietro Biginelli.[5][6]

Katalyzátorem může být Brønstedova a/nebo Lewisova kyselina, například trifluoroctan měďnatý[7] nebo fluorid boritý.[8]
Bylo popsáno několik variant této reakce.[9][10]
Dihydropyrimidinony, získatelné Biginelliovými reakcemi, se používají jako blokátory vápníkových kanálů.[11]
Produkty Biginelliových reakcí byly také zkoumány jako možní selektivní antagonisté adenosinového A2B receptoru;[12] jako obzvláště selektivní se ukázaly některé tricyklické sloučeniny.[13]
Mechanismus
Biginelliova reakce se skládá z posloupnosti bimolekulárních reakcí vedoucích k dihydropyrimidinonu.[14]
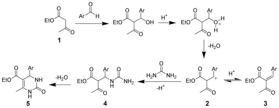
Podle mechanismu navrženého v roce 1973 je krokem určujícím rychlost reakce aldolová kondenzace ethylacetacetátu 1 s arylaldehydem, kterou vzniká karbeniový ion 2. Nukleofilní adicí močoviny se vytvoří meziprodukt 4, který se rychle dehydratuje na konečný produkt 5.[15]

Roku 1997 byl navržen jiný mechanismus:

Zde reakce začíná nukleofilní adicí, určující rychlost, močoviny na aldehyd.[16] Následuje kysele katalyzovaná kondenzace, jež vytvoří imin. Poté se na imin aduje β-ketoester a následně se uzavře kruh nukleofilním atakem aminu na karbonyl. Posledním krokem je druhá kondenzace, ta vytváří konečný produkt.
Obměny
V roce 1987 byla popsána obměna Biginelliovy reakce, která dávala vyšší výtěžky.[17][18]
První enzymatickou syntézu s využitím Biginelliovy reakce provedl Atul Kumar.[19]
Odkazy
Externí odkazy
Obrázky, zvuky či videa k tématu Biginelliova reakce na Wikimedia Commons
Reference
V tomto článku byl použit překlad textu z článku Biginelli reaction na anglické Wikipedii.
- ↑ P. Biginelli. Ueber Aldehyduramide des Acetessigäthers. Chemische Berichte. 1891, s. 1317–1319. Dostupné online. doi:10.1002/cber.189102401228.
- ↑ P. Biginelli. Ueber Aldehyduramide des Acetessigäthers. II. Chemische Berichte. 1891, s. 2962–2967. Dostupné online. doi:10.1002/cber.189102402126.
- ↑ H. E. Zaugg; W. B. Martin. Α-Amidoalkylations at Carbon. Organic Reactions. 1965, s. 88. ISBN 0471264180. doi:10.1002/0471264180.or014.02.
- ↑ C. O. Kappe. 100 years of the biginelli dihydropyrimidine synthesis. Tetrahedron. 1993, s. 6937–6963. ISBN 0471264180. doi:10.1016/S0040-4020(01)87971-0.
- ↑ Kappe, C. Oliver (2005) "The Biginelli Reaction", J. Zhu and H. Bienaymé (eds.): Multicomponent Reactions, Wiley-VCH, Weinheim, ISBN 978-3-527-30806-4
- ↑ C. O. Kappe; A. Stadler. The Biginelli Dihydropyrimidine Synthesis. Organic Reactions. 2004, s. 1–116. ISBN 0471264180. doi:10.1002/0471264180.or063.01.
- ↑ Dailei Song; Runxia Wang; Yongli Chen; Shaohua Zhang; Chunsheng Liu; Genxiang Luo. Reaction Kinetics and Catalysis Letters. Reaction Kinetics and Catalysis Letters. 2008, s. 385. doi:10.1007/s11144-008-5379-2.
- ↑ E. H. Hu; D. R. Sidler; U.-H. Dolling. Unprecedented Catalytic Three Component One-Pot Condensation Reaction: An Efficient Synthesis of 5-Alkoxycarbonyl- 4-aryl-3,4-dihydropyrimidin-2(1H)-ones. The Journal of Organic Chemistry. 1998, s. 3454. doi:10.1021/jo970846u.
- ↑ P. Wipf; A. Cunningham. A solid phase protocol of the biginelli dihydropyrimidine synthesis suitable for combinatorial chemistry. Tetrahedron Letters. 1995, s. 7819–7822. doi:10.1016/0040-4039(95)01660-A.
- ↑ C. O. Kappe. Highly versatile solid phase synthesis of biofunctional 4-aryl-3,4-dihydropyrimidines using resin-bound isothiourea building blocks and multidirectional resin cleavage. Bioorganic & Medicinal Chemistry Letters. 2000, s. 49–51. doi:10.1016/S0960-894X(99)00572-7. PMID 10636241.
- ↑ G. C. Rovnyak, K. S. Atwal, A. Hedberg, S., D. Kimball, S. Moreland, J. Z. Gougoutas, B. C. O'Reilly, J. Schwartz, M. F. Malley. Dihydropyrimidine calcium channel blockers. 4. Basic 3-substituted-4-aryl-1,4-dihydropyrimidine-5-carboxylic acid esters. Potent antihypertensive agents. Journal of Medicinal Chemistry. 1992, s. 3254–3263. doi:10.1021/jm00095a023. PMID 1387168.
- ↑ CRESPO, Abel; EL MAATOUGUI, Abdelaziz; BIAGINI, Pierfrancesco; AZUAJE, Jhonny; COELHO, Alberto; BREA, José; LOZA, María Isabel. Discovery of 3,4-Dihydropyrimidin-2(1H)-ones As a Novel Class of Potent and Selective A2B Adenosine Receptor Antagonists. ACS Medicinal Chemistry Letters. 2013-10-03, s. 1031–1036. ISSN 1948-5875. doi:10.1021/ml400185v. PMID 24900602.
- ↑ EL MAATOUGUI, Abdelaziz; AZUAJE, Jhonny; GONZÁLEZ-GÓMEZ, Manuel; MIGUEZ, Gabriel; CRESPO, Abel; CARBAJALES, Carlos; ESCALANTE, Luz. Discovery of Potent and Highly Selective A2B Adenosine Receptor Antagonist Chemotypes. Journal of Medicinal Chemistry. 2016-03-10, s. 1967–1983. ISSN 0022-2623. doi:10.1021/acs.jmedchem.5b01586. PMID 26824742.
- ↑ K. Folkers; T. B. Johnson. Researches on Pyrimidines. CXXXVI. The Mechanism of Formation of Tetrahydropyrimidines by the Biginelli Reaction1. Journal of the American Chemical Society. 1933, s. 3784–3791. doi:10.1021/ja01336a054.
- ↑ F. Sweet; J. D. Fissekis. Synthesis of 3,4-dihydro-2(1H)-pyrimidinones and the mechanism of the Biginelli reaction. Journal of the American Chemical Society. 1973, s. 8741–8749. doi:10.1021/ja00807a040.
- ↑ C. O. Kappe. A Reexamination of the Mechanism of the Biginelli Dihydropyrimidine Synthesis. Support for anN-Acyliminium Ion Intermediate. The Journal of Organic Chemistry. 1997, s. 7201–7204. doi:10.1021/jo971010u.
- ↑ B. C. O'Reilly; K. S. Atwal. Synthesis of Substituted 1,2,3,4-Tetrahydro-6-methyl-2-oxo-5-pyrimidinecarboxylic Acid Esters: The Biginelli Condensation Revisited. Heterocycles. 1987, s. 1185–1188. doi:10.3987/R-1987-05-1185.
- ↑ B. C. O'Reilly; K. S. Atwal. Synthesis of Substituted 1,2,3,4-Tetrahydro-6-methyl-2-thioxo-5-pyrimidinecarboxylic Acid Esters: The Biginelli Condensation Revisited. Heterocycles. 1987, s. 1189–1192. doi:10.3987/R-1987-05-1189.
- ↑ Atul Kumar; Ram Awatar Maurya. An efficient bakers' yeast catalyzed synthesis of 3,4-dihydropyrimidin-2-(1H)-ones. Tetrahedron Letters. 2007, s. 4569. doi:10.1016/j.tetlet.2007.04.130.