Benzaldehyd
| Benzaldehyd | |
|---|---|
![]() Strukturní vzorec | |
![]() Model molekuly benzaldehydu | |
| Obecné | |
| Systematický název | benzenkarbaldehyd |
| Triviální název | benzaldehyd |
| Ostatní názvy | fenylmethanal, aldehyd kyseliny benzoové |
| Funkční vzorec | C6H5CHO |
| Sumární vzorec | C7H6O |
| Vzhled | bezbarvá kapalina |
| Identifikace | |
| Registrační číslo CAS | 100-52-7 |
| EC-no (EINECS/ELINCS/NLP) | 202-860-4 |
| Indexové číslo | 605-012-00-5 |
| Vlastnosti | |
| Molární hmotnost | 106,13 g/mol |
| Teplota tání | −26 °C |
| Teplota varu | 178,1 °C |
| Hustota | 1,041 5 g/cm³ (kapalný) |
| Viskozita | 1,4 cP (25 °C) |
| Bezpečnost | |
![]() GHS07 Varování[1] | |
| H-věty | H302 |
| R-věty | R22 |
| S-věty | (S2) S24 |
Některá data mohou pocházet z datové položky. | |
Benzaldehyd (C6H5CHO) je chemická sloučenina skládající se z aromatického benzenového jádra a aldehydové skupiny. Jedná se o nejjednodušší aromatický aldehyd s velkým uplatněním v průmyslu. Za pokojové teploty to je bezbarvá, ve vodě málo rozpustná kapalina zapáchající po hořkých mandlích, tvoří totiž součást vůně mandlí. Tvoří hlavní součást extraktu z hořkých mandlí a může být izolován z mnoha přírodních materiálů, které ho obsahují, např. z meruňky, třešní, vavřínu ušlechtilého, semen broskve, ořeších a různých dalších semenech.
Výroba
Benzaldehyd se může připravit, resp. vyrobit mnoha procesy a postupy. Nejčastěji se připravuje chlorací či oxidací toluenu. Méně významná je pak příprava částečnou oxidací fenolu, alkalickým působením na benzoylchlorid nebo reakcí benzenu s oxidem uhelnatým.
Reakce
Benzaldehyd může vstupovat do velkého množství chemických reakcí, jeho oxidací vzniká kyselina benzoová. Za to redukcí se přemění na benzylalkohol pomocí hydrogenace či působením komplexního hydridu a to tetrahydridoboritanu sodného či tetrahydridohlinitanu lithného. Reakcí s bezvodým octanem sodným a acetanhydridem se získává kyselina skořicová. Z benzaldehydu se také může připravit sloučenina nazývaná benzoin, používá se k tomu katalýza kyanidem draselným.
Použití
Benzaldehyd se používá jako ochucovadlo s příchutí mandlí,[2] průmyslové rozpouštědlo a velké upotřebení má v organických syntézách, benzaldehyd je např. výchozí složkou pro syntézu kyseliny mandlové. Je složkou všech destilátů získaných kvašením ovoce.[zdroj?]
Biologie
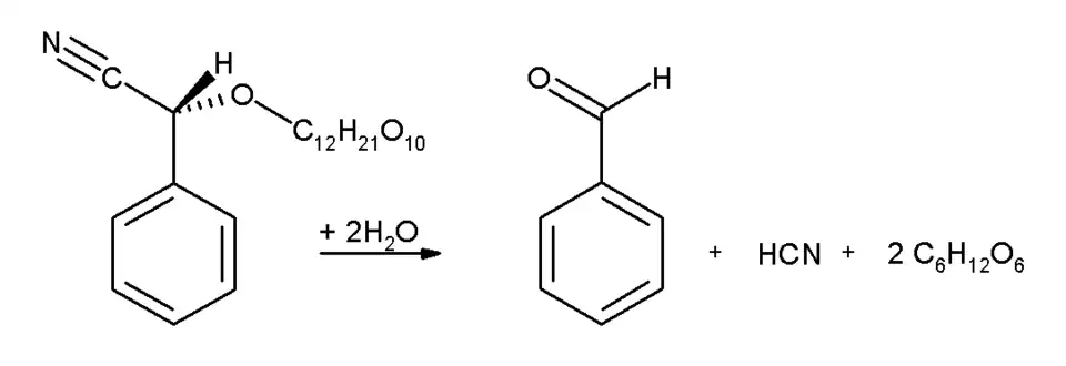
Semena mandlí, meruněk, jablek, třešní a dalšího ovoce obsahují podstatné množství amygdalinu. Tento glykosid může být štěpen nižšími enzymy za vzniku benzaldehydu, jedovaté kyseliny kyanovodíkové a dvou molekul glukózy.

Odkazy
Reference
- ↑ a b Benzaldehyde. pubchem.ncbi.nlm.nih.gov [online]. PubChem [cit. 2021-05-23]. Dostupné online. (anglicky)
- ↑ Final Report on the Safety Assessment of Benzaldehyde1. International Journal of Toxicology. 2006-01, roč. 25, čís. 1_suppl, s. 11–27. Dostupné online [cit. 2025-06-25]. ISSN 1091-5818. doi:10.1080/10915810600716612. (anglicky)
Externí odkazy
Obrázky, zvuky či videa k tématu Benzaldehyd na Wikimedia Commons


