Alopurinol

Alopurinol
Schéma chemické struktury
Prostorové znázornění molekuly alopurinolu
Prostorové znázornění molekuly alopurinolu
Název (INN)allopurinol
Název podle IUPAC1H-pyrazolo[3,4-d]pyrimidin-4(2H)-on
Kódy
Číslo CAS315-30-0
Klasifikace ATCM04AA01
ChEMBL IDCHEMBL1467
ChemSpider ID2010
PubChem2094 a 135401907
Chemie
Sumární vzorecC5H4N4O
SMILESC1=C2C(=NC=NC2=O)NN1
InChIInChI=1S/C5H4N4O/c10-5-3-1-8-9-4(3)6-2-7-5/h1-2H,(H2,6,7,8,9,10)
Molární hmotnost136.112 g/mol
Farmakologie
Indikacegout attack, hyperurikemie a dna
Cesty podáníorální (tablety 100 nebo 300 mg)
Biodostupnost78±20 % (orálně)
Vazba na proteinyzanedbatelná
Metabolismusjaterní (80% oxypurinol, 10% ribosidy alopurinolu: alopurinolribosid a oxipurinol-7-ribosid)
Vylučováníledvinami, játry
Biologický poločas2 h (oxypurinol 18-30 h)
Další informace
Registrace v ČRano
Dostupnost v ČRpouze na předpis
Některá data mohou pocházet z datové položky.

Alopurinol je léčivo určené převážně k léčbě onemocnění spojených se zvýšenou hladinou kyseliny močové v krvi (hyperurikemie). Mezi tato onemocnění náleží zejména chronifikující dna tj. uratická artritida.[1] Svým způsobem fungování náleží mezi tzv. inhibitory xanthinoxidázy, což je enzym, který katalyzuje (urychluje) přeměnu hypoxanthinu na xanthin a následně na kys. močovou. Je určen pro dlouhodobou terapii, nikoliv pro zvládání akutních záchvatů dny – je profylaktikem.

čistý apopurinol má podobu bílého prášku
čistý alopurinol má podobu bílého prášku

Poprvé byl alopurinol syntetizován v roce 1956 Rolandem K. Robinsem při jeho pokusech o hledání protinádorového léčiva.[2] Na trh léčiv byl uveden firmou Burroughs-Wellcome v roce 1966, kdy americký kontrolní a regulační úřad pro léčiva a potraviny (FDA) povolil uvedení léčivého výrobku s alopurinolem pod názvem Zyloprim.[3] V současnosti se alopurinol vyrábí po celém světě pod mnoha obchodními názvy (např. Allohexal, Allosig, Aluron, Milurit, Alloril, Progout, Zyloprim, Zyloric, Zyrik).[4]

Alopurinol je na seznamu Světové zdravotnické organizace (WHO), ve kterém jsou uvedeny základní léčiva potřebná pro fungování obecného zdravotního systému.[5]

Mechanismus účinku

Alopurinol je analog purinu resp. strukturální izomer hypoxantinu (přirozený purin vyskytující se v lidském organismu), který inhibuje enzym xantinoxidázu.[1] Tento enzym je zodpovědný za urychlování přeměny (oxidaci) hypoxantinu na xantin a následně xantinu na kys. močovou, která je produktem purinového metabolismu. Kromě zastavení produkce kys. močové, alopurinol zvyšuje hladinu xantinu a hypoxantinu. Zatímco xantin nemůže být přeměněn na purinový ribonukleotid, hypoxantin může být přeměněn v rámci "purinové recyklace" na ribonukleotidy adenosin monofosfát a guanosin monofosfát. Zvýšená hladina těchto dvou ribonukleotidu zapříčiňuje zpětnovazební inhibici amidofosforibosyl transferázy, což je první enzym, který se účastní na tvorbě (biosyntéze) purinů. To znamená, že alopurinol nejenže znemožňuje tvorbu kyseliny močové, ale rovněž zpomaluje tvorbu purinů.[6]

Metabolismus

Alopurinol je metabolizován převážně aldehydoxidázou a méně xantinoxidázou na oxipurinol, který je rovněž inhibitor xantinoxidázy.[7] V organismu se přemění alopurinol na oxipurinol během dvou hodin, zatímco oxipurinol se pomalu (18-30 h) vylučuje ledvinami. Oxipurinol je tedy ponejvíce zodpovědný za efekt alopurinolu.[8]

Léčebné využití

Dna (uratická artritida) a hyperurikemie

Hlavní indikací alopurinolu je uratická artritida (dna), tedy onemocnění spojené s vyšší hladinou kyseliny močové v krvi (hyperurikemií). Alopurinol tuto hladinu snižuje.[9] Alopurinol je určen pro dlouhodobé užívání, nikoliv k léčbě akutních dnavých záchvatů.[10] Důležitá je tedy kompliance nemocného, resp. jeho ochota daný lék pravidelně užívat.

Syndrom nádorového rozpadu

Chemoterapeutická léčba vede k rozpadu nádorové tkáně, která následně uvolňuje do krevního oběhu velké množství buněčných metabolitů. Výsledkem rozpadu nádorové tkáně je tak vzestup kyseliny močové v krvi, jejíž množství alopurinol snižuje. V současnosti je však alopurinol nahrazován oxidázami urátů.[11]

Souběžná terapie s thiopuriny

Alopurinol může způsobit závažnou pancytopenii, pokud je podáván společně v plné dávce s merkaptopurinem či jeho pro-léčivem azathioprinem. Důvodem je skutečnost, že merkaptopurin je metabolizován pomocí xantinoxidázy, kterou alopurinol inhibuje.[12] Z těchto důvodu byla výše zmíněná souběžná terapie kontraindikována. V současné době však byl tento souběh léčiv přehodnocen, protože bylo zjištěno, že souběžné podání alopurinolu s thiopuriny významně zlepšuje pravděpodobnost přežití transplantované ledviny.[13] Mezi další zajímavé nálezy zmíněné koterapie, tentokrát z oblasti gastroeneterologie, patří zjištění, že alopurinol významně zlepšuje protizánětlivou odpověď thiopurinů u střevních zánětů, zejména u tzv. Crohnovy nemoci.[14] Přidáním alopurinolu k azathioprinu, lze rovněž obejít hepatotoxicitu samotného azathioprinu či 6-merkaptopurinu.[15] Při dané koterapii se snižuje dávkování thiopurinu až na jednu třetinu, a to v závislosti na genetické predispozici k aktivaci thiopurinové metyltransferázy.[16]

Onemocnění ledvin, srdeční selhání, angina pectoris

Alopurinol snižuje rychlost zhoršování ledvinných funkcí u nemocných s chronickým onemocněním ledvin. Snižuje také hladinu C reaktivního proteinu. U pacientů se zhoršeným fungováním ledvin (hodnoceno na základě nefrofyziologických parametrů) se po podávání apopurinolu statisticky významně snížilo riziko hospitalizace z důvodu kardiovaskulárních onemocnění.[17]

Alopurinol ve vyšších dávkách díky svému inhibičnímu vlivu na xantoxidázu (600 mg) snižuje vaskulární oxidativní stres. Tím výrazně zlepšuje mechanické vlastnosti cév resp. jejich vnitřní výstelky (endotelu). Důkaz této schopnosti alopurinolu byl proveden pomocí tzv. okluzní venózní pletysmografie provedené na předloktí u pacientů trpících chronickým srdečním selháváním.[18]

Přidání alopurinolu spolu se základní medikací anginy pectoris může snížit tzv. srdeční předtížení (workload), čímž pomáhá snížit spotřebu kyslíku ischemickou srdeční tkání – výsledkem je snížení typických "srdečních bolestí" spojených s anginou.[19]

Epilepsie

Alopurinol může být využit jako přídatné léčivo k terapii refrakterní (léčbě vzdorující) epilepsie, protože posiluje neurofyziologické funkce adenosinu. Důležitou funkcí adenosinu je inhibice vyplavování glutaminu z excitačních neuronů. Alopurinol nemění koncentraci souběžně podávaných antiepileptik.[20]

Další indikace

Alopurinol může být dále indikován k terapii vysokého tlaku krve,[21] reperfuzního poškození (reakce ischemií poškozené tkáně na obnovený přítok krve), ledvinových kamenů (složených z urátů – tzv. urátová urolitiáza) a leishmaniózy.

Vedlejší účinky

Vzhledem k tomu, že alopurinol nezvyšuje vylučování kyseliny močové ledvinami (nemá výrazný urikosurický efekt), může být použit u nemocných se slabší funkcí ledvin. Urikosurický efekt by znamenal velkou zátěž nejen vytvářením ledvinných urátových kamenů, ale celkovou fyziologickou zátěží. Přesto má alopurinol dva důležité efekty.

Zaprvé je to složitější dávkování[22], a za druhé se může vyskytnout přecitlivělost (hypersenzitivita) vůči alopurinolu.[23]. Proto je důležité zaznamenat první reakce po podání a následně monitorovat hladiny kyseliny močové v krvi. Kromě toho Alopurinol může u geneticky predisponovaných jedinců (viz níže - farmakogenetika) vyvolat závažné kožní reakce jako Stevens-Johnsonův syndrom a toxickou epidermální nekrolýzu, což jsou velmi závažná dermatologická onemocnění. Od těchto kožních reakcí je potřeba odlišit obyčejný ekzém. Mezi další vedlejší účinky patří zánět jater (hepatitis), eozinofilie (tedy zvýšení počtu granulocytů vyskytujících se při alergické reakci) a zhoršení renálních funkcí.

Vzácný a zajímavý vedlejší účinek aropurinolu souvisí s jeho schopností tlumit produkci některých elementů kostní dřeně. Tento účinek může vést k cytopenii či aplastické anémii. Vzácně může alopurinol vyvolat zánět periferních nervů (periferní neuritidu) či intersticiální nefritidu.[24]

Obecně se alopurinol nedoporučuje užívat během těhotenství, a mělo by být zváženo užívání i při jeho plánování. Byl zaznamenám případ, který dal do souvislosti užívání alopurinolu s rizikem kongenitálních malformací.[25]

Farmakogenetika

Alopurinol může u jedinců, kteří jsou nosiči alely HLA-B*5801, vyvolat závažné kožní reakce jako např. Stevens-Johnsonův syndrom nebo toxickou epidermální nekrolýzu (TEN).[26][27] Četnost výskytu zmíněné alely se liší mezi etniky: Chanové a Thajci mají četnost výskytu této alely okolo 8 %, zatímco evropská populace má frekvenci výskytu okolo 1 % a japonská okolo 0.5 %. Česká populace má zastoupení této alely přibližně 0,7 %.[28] Riziko vzniku daných kožních reakcí je u nositelů dané alely přibližně 40-580 větší oproti těm, kteří nositeli dané alely nejsou. Míra rizika se liší opět napříč etniky.[26][27]

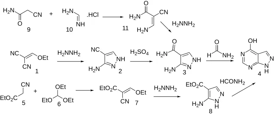
Syntéza

syntéza alopurinolu.[29]

Reference

V tomto článku byl použit překlad textu z článku allopurinol na anglické Wikipedii.

  1. a b PACHER, P.; NIVOROZHKIN, A; SZABÓ, C. Therapeutic Effects of Xanthine Oxidase Inhibitors: Renaissance Half a Century after the Discovery of Allopurinol. Pharmacological Reviews. 2006, s. 87–114. doi:10.1124/pr.58.1.6. PMID 16507884. 
  2. R. K. Robins. Potential Purine Antagonists. I. Synthesis of Some 4,6-Substituted Pyrazolo \3,4-d] pyrimidines1. J. Amer. Chem. Soc.. 1956, s. 784. doi:10.1021/ja01585a023. 
  3. http://www.accessdata.fda.gov/scripts/cder/drugsatfda/index.cfm
  4. http://dailymed.nlm.nih.gov/dailymed/search.cfm?startswith=Allopurinol&x=0&y=0
  5. WHO Model List of EssentialMedicines [online]. October 2013 [cit. 2014-04-22]. Dostupné online. 
  6. Cameron JS, Moro F, Simmonds HA.; MORO; SIMMONDS. Gout, uric acid and purine metabolism in paediatric nephrology. Pediatr Nephrol.. 1993, s. 105–118. doi:10.1007/BF00861588. PMID 8439471. 
  7. Reiter S, Simmonds HA, Zöllner N; AND OTHERS. Demonstration of a combined deficiency of xanthine oxidase and aldehyde oxidase in xanthinuric patients not forming oxipurinol. Clin Chim Acta. 1990, s. 221–234. doi:10.1016/0009-8981(90)90107-4. PMID 2323062. 
  8. Day RO, Graham GG, Hicks M; AND OTHERS. Clinical pharmacokinetics and pharmacodynamics of allopurinol and oxypurinol. Clin Pharmacokinet.. 2007, s. 623–644. doi:10.2165/00003088-200746080-00001. PMID 17655371. 
  9. ELION, GB. The purine path to chemotherapy.. Science. Apr 1989, roč. 244, čís. 4900, s. 41–7. PMID 2649979. 
  10. TAYLOR, MD, TH; MECCHELLA JN; LARSON RJ; KERIN KD; MACKENZIE TA. Initiation of allopurinol at first medical contact for acute attacks of gout: a randomized clinical trial. JAMA. November 2012, s. 1126–1134. doi:10.1016/j.amjmed.2012.05.025. PMID 23098865. 
  11. Jeha S. Tumor lysis syndrome. Semin Hematol.. 2001, s. 4–8. doi:10.1016/S0037-1963(01)90037-X. PMID 11694945. 
  12. Evans WE. Pharmacogenetics of thiopurine S-methyltransferase and thiopurine therapy. Ther Drug Monit.. 2004, s. 186–91. doi:10.1097/00007691-200404000-00018. PMID 15228163. 
  13. Chocair PR, Duley JA, Simmonds HA; AND OTHERS. Low dose allopurinol, plus azathioprine/ cyclosporin/ prednisolone, a novel immunosuppressive regimen. Lancet. 1993, s. 83–84. doi:10.1016/0140-6736(93)91287-V. PMID 8100914. 
  14. Sparrow MP, Hande SA, Friedman S; AND OTHERS. Effect of allopurinol on clinical outcomes in inflammatory bowel disease nonresponders to azathioprine or 6-mercaptopurine. Clin Gastroenterol Hepatol.. 2007, s. 209–214. doi:10.1016/j.cgh.2006.11.020. PMID 17296529. 
  15. Ansari AR, Patel N, Sanderson J; AND OTHERS. Low dose azathioprine or 6-mercaptopurine in combination with allopurinol can bypass many adverse drug reactions in patients with inflammatory bowel disease. Aliment Pharmacol Ther. 2010, s. 640–647. doi:10.1111/j.1365-2036.2009.04221.x. PMID 20015102. 
  16. Ansari AR, Duley JA. Azathioprine co-therapy with allopurinol for inflammatory bowel disease: trials and tribulations. Rev Assoc Med Bras. March 2012, s. S28–33. 
  17. GOICOECHEA, M.; DE VINUESA, S. G.; VERDALLES, U.; RUIZ-CARO, C.; AMPUERO, J.; RINCÓN, A.; ARROYO, D. Effect of Allopurinol in Chronic Kidney Disease Progression and Cardiovascular Risk. Clinical Journal of the American Society of Nephrology. 2010, s. 1388–93. doi:10.2215/CJN.01580210. PMID 20538833. .
  18. GEORGE, J; CARR, E; DAVIES, J; BELCH, JJ; STRUTHERS, A. High-dose allopurinol improves endothelial function by profoundly reducing vascular oxidative stress and not by lowering uric acid. Circulation. 2006, s. 2508–16. doi:10.1161/CIRCULATIONAHA.106.651117. PMID 17130343. 
  19. Gout drug 'can prevent angina pain of heart disease'. BBC News. 8 June 2010. Dostupné online. 
  20. ZAGNONI, P. G.; BIANCHI, A.; ZOLO, P., et al. Allopurinol as add-on therapy in refractory epilepsy: a double-blind placebo-controlled randomized study. Epilepsia.. 1994 Jan-Feb, roč. 35, čís. 1, s. 107–12. Dostupné online. ISSN 0013-9580. 
  21. FEIG, D. I.; SOLETSKY, B.; JOHNSON, R. J. Effect of Allopurinol on Blood Pressure of Adolescents with Newly Diagnosed Essential Hypertension: A Randomized Trial. JAMA: the Journal of the American Medical Association. 2008, s. 924–32. doi:10.1001/jama.300.8.924. 
  22. DALBETH, Nicola; STAMP, Lisa. Allopurinol Dosing in Renal Impairment: Walking the Tightrope Between Adequate Urate Lowering and Adverse Events. Seminars in Dialysis. 2007, s. 391–5. doi:10.1111/j.1525-139X.2007.00270.x. PMID 17897242. 
  23. Tsai TF, Yeh TY.; YEH. Allopurinol in dermatology. Am J Clin Dermatol.. 2010, s. 225–232. doi:10.2165/11533190-000000000-00000. PMID 20509717. 
  24. MARC E. DE BROE, WILLIAM M. BENNETT, GEORGE A. PORTER. Clinical Nephrotoxins: Renal Injury from Drugs and Chemicals. [s.l.]: Springer Science+Business Media, 2003. Dostupné online. ISBN 9781402012778. 
  25. KOZENKO, Mariya; GRYNSPAN, David; OLUYOMI-OBI, Titi; SITAR, Daniel; ELLIOTT, Alison M.; CHODIRKER, Bernard N. Potential teratogenic effects of allopurinol: A case report. American Journal of Medical Genetics Part A. 2011, s. 2247–52. doi:10.1002/ajmg.a.34139. PMID 21815259. 
  26. a b http://www.pharmgkb.org/haplotype/PA165956630#tabview=tab3&subtab=
  27. a b http://www.pharmgkb.org/pathway/PA165980774
  28. http://www.allelefrequencies.net
  29. http://drugsynthesis.blogspot.co.uk/2011/11/laboratory-synthesis-of-allopurinol.html

Externí odkazy

  • Obrázky, zvuky či videa k tématu Alopurinol na Wikimedia Commons
Wikipedie neručí za správnost lékařských informací v tomto článku. V případě potřeby vyhledejte lékaře!
Přečtěte si prosím pokyny pro využití článků o zdravotnictví.