Allylový přesmyk
Allylový přesmyk je organická reakce, při které se dvojná vazba sloučeniny obsahující allylovou skupinu přesune na sousední atom uhlíku. Bývá součástí nukleofilních substitucí.
Za podmínek, které upřednostňují SN1 mechanismus, je meziproduktem karbokation vytvářející několik rezonančních struktur, což vysvětluje zastoupení jednotlivých produktů po rekombinaci s nukleofilem Y. Takto probíhající proces se nazývá SN1' substituce.
Také je možné, aby atak nukleofilu probíhal přímo na allylové skupině, potom se odstupující skupina odštěpí v jednokrokové reakci obecně nazývané SN2 substituce. Tato možnost nastává, když allylová sloučenina není stericky stíněná a zároveň se použije silný nukleofil; produkty jsou podobné jako u SN1 substituce. Následující reakcí 1-chlor-but-2-enu s hydroxidem sodným vzniká směs but-2-en-1-olu a but-3-en-1-olu:
Produkt s OH skupinou na primárním atomu se tvoří v menším množství. U substituce 1-chlor-but-2-enu má sekundární 3-methyl-but-2-en-3-ol výtěžnost 85 % a primární 3-methyl-but-2-en-1-ol tvoří jen 15 % směsi produktů.
Existuje mechanismus, při němž nukleofil neatakuje přímo elektrofilní místo, ale dochází ke konjugované adici na dvojnou vazbu:
Tento mechanismus je častý u allylových sloučenin obsahujících rozměrné substituenty za podmínek vyhovujících SN2 reakcím, případně neodstupující substituenty vytvářející významné sterické efekty, kterými podporují konjugovanou substituci. Tento druh reakce se podle druhu mechanismu, kterému se podobá, nazývá SN1' nebo SN2'. Tak jako existují SN1' a SN2' analogy SN1 a SN2 reakcí, tak existuje i analog SNi, nazývaný SNi', využitelný v reakcích allylových sloučenin a reaktantů jako je chlorid thionylu (SOCl2).
Možnosti
Syntetické možnosti reakce lze rozšířit na substituce vazeb butadienu:[1]
- Reakce v methanolu za katalýzy diisopropylethylaminem
Prvním krokem této makrocyklizační reakce je reakce thiolové skupiny na jednom konci molekuly pentan-1,5-dithiolu s butadienem 1 za vzniku enonu 2 v allylovém přesmyku se sulfonovou odstupující skupinou, jež v konjugované adici reaguje s alkoholovým koncem.
V jedné studii[2] byl při syntéze cyklické sloučeniny allylový přesmyk použit dvakrát:
Jacobsenovou epoxidací se naváže epoxy skupina na dien, který slouží jako odstupující skupina v reakci s pyrazolovým nukleofilem. Druhým nukleofilem je methylmagnesiumbromid sloužící k odstranění pyrazolové skupiny.
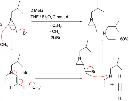
Výsledek reakce aziridinu obsahujícího methylenbromidovou skupinu a methyllithia lze vysvětlit SN2' mechanismem:[3]
Při této reakci se ztrácí jeden ekvivalent acetylenu.
Příklady allylových přesmyků jsou Ferrierův a Meyerův–Schusterův přesmyk.
SN2' redukce
Při SN2' redukci dochází k redukci allylové skupiny, na níž je navázána dobrá odstupující skupina, prostřednictvím přesmyku. Jedna taková reakce je součástí totální syntézy taxolu:[4]
Jako redukční činidlo se používá hydrid lithno-hlinitý a odstupující skupinou bývá fosfoniová sůl. Produkt obsahuje nově vytvořenou exocyklickou dvojnou vazbu. Pouze u vhodně substituovaných cyklohexanů se proton aduje do pozice trans izomerie vzhledem k sousednímu methylu.
Podobnou reakcí je Whitingova reakce, která vytváří dieny.
Elektrofilní allylové přesmyky
Allylové přesmyky mohou také probíhat elektrofilním mechanismem. Níže je uveden příklad aktivace karbonylové skupiny benzaldehydu pomocí diboronové kyseliny a následná reakce s allylalkoholem:[5] Aktivním katalyzátorem je zde směs sloučenina palladia fungující jako molekulární pinzeta a kyselina p-toluensulfonová, produkt vzniká jako jediný regioizomer a stereoizomer.
Reference
V tomto článku byl použit překlad textu z článku Allylic rearrangement na anglické Wikipedii.
- ↑ Molecular yardsticks. Synthesis of extended equilibrium transfer alkylating cross-link reagents and their use in the formation of macrocycles Stephen J. Brocchini, Martin Eberle, and Richard G. Lawton Journal of the American Chemical Society; 1988; 110(15) pp 5211 - 5212; doi:10.1021/ja00223a061
- ↑ Double Lawton SN2'Addition to Epoxyvinyl Sulfones: Selective Construction of the Stereotetrads of Aplyronine A Ahmad El-Awa and Philip Fuchs Organic Letters; 2006; 8(14) pp 2905 - 2908; (Letter) doi:10.1021/ol060530l
- ↑ Highly unusual conversion of 1-alkyl-2-(bromomethyl)aziridines into 1-alkyl-2-(N-alkyl-N-ethylaminomethyl)aziridines using methyllithium Matthias D'hooghe and Norbert De Kimpe Chemical Communications, 2007, 1275 - 1277, doi:10.1039/b616606g
- ↑ Synthetic Studies on Taxol: Highly Stereoselective Construction of the Taxol C-Ring via SN2' Reduction of an Allylic Phosphonium Salt Masayuki Utsugi, Masayuki Miyano, and Masahisa Nakada Organic Letters; 2006; 8(14) pp 2973 - 2976; (Letter) doi:10.1021/ol0608606
- ↑ Highly Selective and Robust Palladium-Catalyzed Carbon-Carbon Coupling between Allyl Alcohols and Aldehydes via Transient Allylboronic Acids Nicklas Selander, Sara Sebelius, Cesar Estay, Kálmán J. Szabó European Journal of Organic Chemistry Volume 2006, issue 18 , pages 4085 - 4087 doi:10.1002/ejoc.200600530




