Acetylidy

Acetylidy jsou organické sloučeniny s obecnými vzorci MC≡CH a MC≡CM, kde M je atom kovu.[1] Toto označení se také používá pro substituované acetylidy, RC≡CM, kde R je organická funkční skupina.

Acetylidy se používají jako reaktanty v organické syntéze.

Nejvýznamnější sloučeninou z této skupiny je acetylid vápenatý, obvykle nazývaný karbid vápenatý.

Struktura

Struktura shluku vytvořeného komplexací PhC2Li s N,N,N′,N′-tetramethyl-1,6-diaminohexanu (methylenové skupiny nejsou pro názornost zobrazeny). Modrozelená = Li, modrá = N.[2]

Acetylidy alkalických kovů a kovů alkalických zemin s obecným vzorcem MC≡CM jsou sloučeniny podobné solím, jež obsahují ionty C 2−
2
 . Jejich iontová povaha se projevuje snadnou hydrolýzou na acetylen a oxidy kovů; ionty C 2−
2
  jsou také rozpustné v kapalném amoniaku.[3]

Základní stav C 2−
2
  má uzavřenou elektronovou slupku 1Σ +
g
 , v důsledku čehož je izoelektronický s neutrální molekulou N2,[4] který jej částečně stabilizuje.

Podobné acetylidy jiných, hlavně přechodných, kovů (například acetylid stříbrný a měďný) jsou kovalentní a acetylidové ionty jsou na kovy navázané pevně, což se projevuje na jejich stabilitě vůči vodě a odlišnými chemickými vlastnostmi.

Acetylidy druhu RC≡CM (R = H nebo alkyl) mívají podobné vlastnosti jako příslušné dvojnásobně substituované sloučeniny. Za nepřítomnosti dalších ligandů vykazují tyto acetylidy polymerní struktury, ve kterých jsou acetylidové skupiny můstkovými ligandy.

Část struktury polymeru fenylacetylidu měďného, CuC2C6H5.[5]

Příprava

Koncové alkyny jsou slabými kyselinami:[6]

RC≡CH + R″M R″H + RC≡CM

K přípravě acetylidů z acetylenu a dalších alkynů se používají organokovové[7] nebo anorganické superzásady[8]rozpouštědlech méně kyselých než příslušný alkyn. Původně byl používán kapalný amoniak, ovšem běžnější jsou ethery.

Amid lithný,[6] bis(trimethylsilyl)amid lithný[9] a organolithné sloučeniny, jako například butyllithium,[7] lze použít na tvorbu lithných acetylidů:

Nelze pochopit (syntaktická chyba): {\displaystyle \ce{{H-C{\equiv}C-H} + \overset{butyllithium}{BuLi} ->[\ce{THF}][-78^\circ\ce C] {Li-\!{\equiv}\!-H} + BuH}}

Sodné a draselné acetylidy se dají získat z mnoha různých anorganických sloučenin, například amidu sodného[8] nebo z kovů, často i za pokojové teploty a atmosférického tlaku.[6]

Acetylid měďný je možné připravit průchodem acetylenu vodným roztokem chloridu měďného, protože má tato sloučenina nízký součin rozpustnosti.[6] Podobným způsobem lze z dusičnanu stříbrného vytvořit acetylid stříbrný.

Acetylid vápenatý se vyrábí reakcí uhlíkuoxidem vápenatým při teplotě okolo 2 000 °C., podobně probíhá i výroba acetylidu lithného.

Reakce a použití

Acetylidy typu RC2M se používají v alkynylačních reakcích jako nukleofily, které se navazují na elektrofilní a nenasycené substráty; příkladem využití je Favorského reakce.

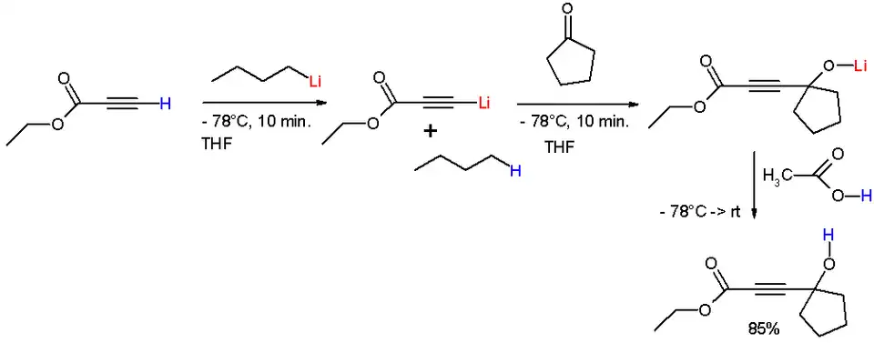
Ethylpropiolát je deprotonován n-butyllithem na acetylid. Tento acetylid se aduje na karbonylovou skupinu cyklopentanonu. Hydrolýzou poté vznikne alkynylalkohol.[10]

Reakce ethylpropiolátu s n-butyllithiem za vzniku acetylidu lithného
Reakce ethylpropiolátu s n-butyllithiem za vzniku acetylidu lithného

Párovací reakce

Acetylidy jsou reaktivními meziprodukty některých párovacích reakcí, například Sonogaširovy, Cadiotovy–Chodkiewiczovy, Glaserovy a Eglintonovy.

Bezpečnost

Některé acetylidy jsou výbušné.[11]

Příprava acetylidů může být nebezpečná kvůli nakládání s plynným acetylenem za přítomnosti kovů, jako jsou rtuť, stříbro či měď, nebo slitin, které je obsahují (mosazi, bronzu, stříbrné pájky).

Odkazy

Související články

Externí odkazy

  • Obrázky, zvuky či videa k tématu Acetylidy na Wikimedia Commons

Reference

V tomto článku byl použit překlad textu z článku Acetylide na anglické Wikipedii.

  1. The IUPAC Compendium of Chemical Terminology: The Gold Book. Příprava vydání Victor Gold. 4. vyd. Research Triangle Park, NC: International Union of Pure and Applied Chemistry (IUPAC) Dostupné online. doi:10.1351/goldbook.a00067. (anglicky) DOI: 10.1351/goldbook. 
  2. Bernd Schubert; Erwin Weiss. (PHCCLi)4(tmhda)2, A Polymeric Organolithium Compound with Cubic Li4C4 Structural Units. Angewandte Chemie International Edition in English. 1983, s. 496–497. doi:10.1002/anie.198304961. 
  3. Markus Hamberger; Stefan Liebig; Ute Friedrich; Nikolaus Korber; Uwe Ruschewitz. Evidence of Solubility of the Acetylide Ion C 2−
    2
     : Syntheses and Crystal Structures of K2C2·2 NH3, Rb2C2·2 NH3, and Cs2C2·7 NH3. Angewandte Chemie International Edition. 2012-12-21, s. 13006–13010. doi:10.1002/anie.201206349. PMID 23161511.
     
  4. T. Sommerfeld; U. Riss; H.-D. Meyer; L. Cederbaum. Metastable C 2−
    2
      dianion. Physical Review Letters. 1997, s. 1237–1240. doi:10.1103/PhysRevLett.79.1237. Bibcode 1997PhRvL..79.1237S.
     
  5. Stephen S. Y. Chui; Miro F. Y. Ng; Chi-Ming Che. Structure Determination of Homoleptic AuI, AgI, and CuI Aryl/Alkylethynyl Coordination Polymers by X-ray Powder Diffraction. Chemistry: A European Journal. 2005, s. 1739–1749. doi:10.1002/chem.200400881. PMID 15669067. 
  6. a b c d Heinz Günter Viehe. Chemistry of Acetylenes. Angewandte Chemie. 1969, s. 170–179 & 225–241. Dostupné online. doi:10.1002/ange.19720840843. 
  7. a b M. M. Midland; J. I. McLoughlin; T. Ralph. Preparation and Use of Lithium Acetylide: 1-Methyl-2-ethynyl-endo-3,3-dimethyl-2-norbornanol. Organic Syntheses. 1990, s. 14. doi:10.15227/orgsyn.068.0014. 
  8. a b Donald D. Coffman. Dimethylethhynylcarbinol. Organic Syntheses. 1940, s. 20. doi:10.15227/orgsyn.020.0040. 
  9. Melanie Reich. Addition of a lithium acetylide to an aldehyde; 1-(2-pentyn-4-ol)-cyclopent-2-en-1-ol. ChemSpider Synthetic Pages. 2001-08-24, s. 137. doi:10.1039/SP137. 
  10. M. Mark Midland; Alfonso Tramontano; John R. Cable. Synthesis of alkyl 4-hydroxy-2-alkynoates. The Journal of Organic Chemistry. 1980, s. 28–29. doi:10.1021/jo01289a006. 
  11. Franco Cataldo; Carlo S. Casari. Synthesis, Structure and Thermal Properties of Copper and Silver Polyynides and Acetylides. Journal of Inorganic and Organometallic Polymers and Materials. 2007, s. 641–651. ISSN 1574-1443. doi:10.1007/s10904-007-9150-3.