1.1.1-propelan
| [1.1.1]propelan | |
|---|---|
![]() Strukturní vzorec | |
![]() Model molekuly | |
| Obecné | |
| Systematický název | tricyklo[1.1.1.01,3]pentan |
| Sumární vzorec | C5H6 |
| Identifikace | |
| Registrační číslo CAS | 35634-10-7 |
| PubChem | 142022 |
| SMILES | C1(C2)(C3)C23C1 |
| InChI | InChI=1S/C5H6/c1-4-2-5(1,4)3-4/h1-3H2 |
| Vlastnosti | |
| Molární hmotnost | 66,101 g/mol |
Některá data mohou pocházet z datové položky. | |
[1.1.1]Propelan je organická sloučenina, nejjednodušší zástupce skupiny propelanů. Jeho molekula se skládá ze tří tříčlenných uhlíkatých kruhů, které mají společnou jednu vazbu C–C.
[1.1.1]Propelan vykazuje silné kruhové napětí. Vazby na dvou centrálních uhlících mají obrácenou tetraedrickou geometrii, délka vazby mezi nimi činí 160 pm. Energie této vazby se odhaduje na 250–270 kJ/mol. Energie biradikálového stavu (bez centrální vazby) je podle výpočtů přibližně o 330 kJ/mol vyšší. Při 114 °C se tato látka samovolně izomerizuje na 3-methylidencyklobuten (5 na obrázku níže), přičemž poločas této reakce je 5 minut. Energie kruhového napětí u [1.1.1]propelanu se odhaduje na 427 kJ/mol, i přes vysokou energii kruhového napětí je ale [1.1.1]propelan za pokojové teploty stálý a je méně náchylný k tepelnému rozkladu než [2.2.2]propelan, u kterého má kruhové napětí energii okolo 380 kJ/mol a molekula se při 25 °C rozkládá s poločasem 1 h.[1] Stabilitu lze přičíst delokalizaci elektronové hustoty z vazby mezi centrálními uhlíky a můstkové atomy uhlíku.[2]
Příprava
[1.1.1]Propelan poprvé připravili Kenneth B. Wiberg a F. Walker v roce 1982 cyklopropanací 1,1-bis(chlormethyl)ethylenu:[3]

Příprava [1.1.1]propelanu
Nejprve se 1,3-dikarboxylová kyselina odvozená od bicyklo[1.1.1]pentanu 1 přeměnila Hunsdieckerových reakcí na příslušný dibromid 2, který poté reagoval s n-butyllithiem. Výsledný produkt 3 byl izolován sloupcovou chromatografií při −30 °C.
V roce 1989 byla popsána jednodušší příprava,[4] na jejímž začátku je reakce dibromkarbenu s alkenovou vazbou 3-chlor-2-(chlormethyl)propenu 6, po níž následuje deprotonace methyllithiem a nukleofilní substituce za vzniku 7;[5] produkt nebyl izolován, ale zůstal v roztoku.
Reakce
S kyselinou octovou
[1.1.1]Propelan samovolně reaguje s kyselinou octovou za vzniku methylidencyklobutanového esteru (4 nahoře).
Polymerizace
[1.1.1]Propelan se může polymerizovat rozštěpením centrální vazby C–C a jejím spojením se sousedním monomerem, takto vzniklé sloučeniny se nazývají staffany.[6]

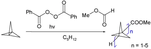
Příprava [n]staffanu
Radikálová polymerizace spouštěná methylformiátem a benzoylperoxidem vytváří oligomery. Aniontovou adiční polymerizační reakcí s n-butyllithiem se tvoří polymer. Rentgenovou krystalografií bylo zjištěno, že délky vazeb C-C spojujících jednotlivé monomerové jednotky jsou 148 pm.
1,3-Dehydroadamantan, který lze považovat za můstkovou obdobu [1.3.3]propelanu, se polymerizuje podobně.
Odkazy
Reference
V tomto článku byl použit překlad textu z článku 1.1.1-Propellane na anglické Wikipedii.
- ↑ Houben-Weyl Methods of Organic Chemistry Vol. E 17e, 4th Edition Supplement (E-Book PDF) - Thieme.de - Thieme Webshop - Armin de Meijere, Holger Butenschön, Hak-Fun Chow, Lutz Fitjer, Günter Haufe [online]. [cit. 2017-10-21]. Dostupné v archivu pořízeném z originálu dne 2017-10-22.
- ↑ Alistair J. Sterling; Alexander Dürr; Russell Smith; Edward Alexander Anderson; Fernanda Duarte. Rationalizing the diverse reactivity of [1.1.1]propellane through sigma-pi-delocalization. Chemical Science. 2020-04-13, s. 4895–4903. ISSN 2041-6539. doi:10.1039/D0SC01386B. PMID 34122945.
- ↑ K. B. Wiberg; F. H. Walker. [1.1.1]Propellane. Journal of the American Chemical Society. 1982, s. 5239–5240. doi:10.1021/ja00383a046.
- ↑ Johannes Belzner; Uwe Bunz; Klaus Semmler; Günter Szeimies; Klaus Opitz; Arnulf-Dieter Schlüter. Concerning the synthesis of [1.1.1]propellane. Chemische Berichte. 1989, s. 397–398. doi:10.1002/cber.19891220233.
- ↑ MONDANARO, Kathleen R.; DAILEY, William P. [1.1.1]Propellane. Org. Synth.. S. 98. Dostupné online.; Coll. Vol..
- ↑ Piotr Kaszynski; Josef Michl. [n]Staffanes: a molecular-size "Tinkertoy" construction set for nanotechnology. Preparation of end-functionalized telomers and a polymer of [1.1.1]propellane. Journal of the American Chemical Society. 1988, s. 5225–5226. doi:10.1021/ja00223a070.
Související články
Externí odkazy
Obrázky, zvuky či videa k tématu [1.1.1]propelan na Wikimedia Commons

