2.2.2-propelan
| [2.2.2]propelan | |
|---|---|
![]() Strukturní vzorec | |
![]() Model molekuly | |
| Obecné | |
| Systematický název | tricyklo[2.2.2.01,4]oktan |
| Sumární vzorec | C8H12 |
| Identifikace | |
| Registrační číslo CAS | 36120-88-4 |
| PubChem | 564666 |
| SMILES | C1CC23C1(CC2)CC3 |
| InChI | InChI=1S/C8H12/c1-2-8-5-3-7(1,8)4-6-8/h1-6H2 |
| Vlastnosti | |
| Molární hmotnost | 108,18 g/mol |
Některá data mohou pocházet z datové položky. | |
[2.2.2]Propelan (systematicky tricyklo[2.2.2.01,4]oktan) je organická sloučenina patřící mezi propelany, se vzorcem C2(C2H4)3. Molekula obsahuje tři kruhy, tvořené čtveřicemi atomů uhlíku, s jednou společnou vazbou C–C.
Tato sloučenina je, i když o něco méně než [1.1.1]propelan, nestabilní.[1]
Tato látka má výrazné úhlové napětí: tři vazebné úhly mají velikost přibližně 90° a další tři 120°. Energie napětí se odhaduje na 390 kJ/mol.
Příprava
[2.2.2]Propelan byl poprvé připraven v roce 1973.[2]

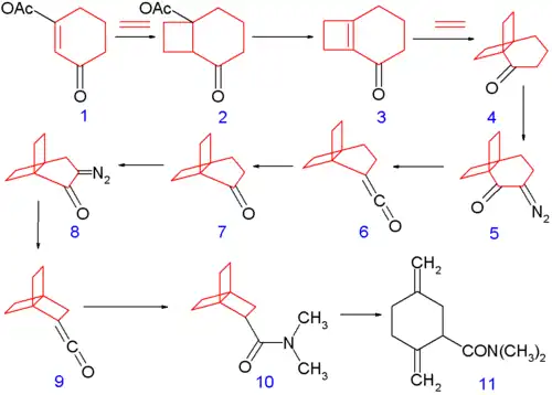
Příprava [2.2.2]propelanu
Prvním krokem je fotochemická [2+2]cykloadice ethenu na derivát cyklohexenu 1 za vzniku bicyklické sloučeniny 2, poté následuje eliminační reakce s terc-butoxidem draselným a kyselinou octovou na cyklobutenovou sloučeninu 3. Po další cykloadici ethenu se vytvoří meziprodukt 4, jenž je deprotonací kyselinou octovou a methoxidem sodným a reakcí s tosylazidem převeden na diazoketon 5. Tento keton se Wolffovým přesmykem mění na keten 6. Ozonolýza způsobí vytvoření ketonu 7 a další diazotací vznikne diazoketon 8, z něhož se Wolffovým přesmykem stává keten 9. Reakcí s dimethylaminem se nakonec utvoří [2.2.2]propelan s navázanou dimethylamidovou skupinou 10.
Produkt 10 se v roztoku samovolně izomerizuje na monocyklický amid 11, s poločasem (za pokojové teploty) 28 minut.
Deriváty
Je popsán i vysoce fluorovaný derivát [2.2.0]propelanu.[3]
Odkazy
Externí odkazy
Obrázky, zvuky či videa k tématu [2.2.2]propelan na Wikimedia Commons
Reference
V tomto článku byl použit překlad textu z článku 2.2.2-Propellane na anglické Wikipedii.
- ↑ Houben-Weyl Methods of Organic Chemistry Vol. E 17e, 4th Edition Supplement (E-Book PDF) - Thieme.de - Thieme Webshop - Armin de Meijere, Holger Butenschön, Hak-Fun Chow, Lutz Fitjer, Günter Haufe [online]. [cit. 2017-10-21]. Dostupné v archivu pořízeném z originálu dne 2017-10-22.
- ↑ Philip E. Eaton; George H. Temme. [2.2.2]Propellane system. Journal of the American Chemical Society. 1973, s. 7508–7510. doi:10.1021/ja00803a052.
- ↑ Y. Zhang; J. R. Smith; D. M. Lemal. Octafluorobicyclo[2.2.0]hex-1(4)-ene: A Greatly Strained Alkene with Novel Reactivity. Journal of the American Chemical Society. 1996, s. 9454. doi:10.1021/ja961656o.

