1,2-Wittigův přesmyk
[1,2]-Wittigův přesmyk je organická reakce, [1,2]-přesmyk etheru za přítomnosti alkyllithné sloučeniny. [1][2] Objevil jej Georg Wittig.
Meziproduktem je alkoxylithná sůl a konečným produktem alkohol. Pokud je R" dobrou odstupující skupinou a skupinou odtahující elektrony, jako je například nitril (CN),[3] tak se tato skupina odštěpí a vznikne příslušný keton.
Mechanismus
Mechanismus začíná vznikem dvojice radikálu a přesunem lithia z uhlíkového atomu na kyslík. R radikál se zrekombinuje na ketyl.[4]

Náchylnost k přesunu u alkylových skupin v souladu s termodynamickou stabilitou roste v řadě methyl < primární alkyl < sekundární alkyl < terciární alkyl. Pár radikál-ketyl existuje jen krátkou dobu a může u něj docházet k izomerizacím, přičemž se zachovává stereochemie.
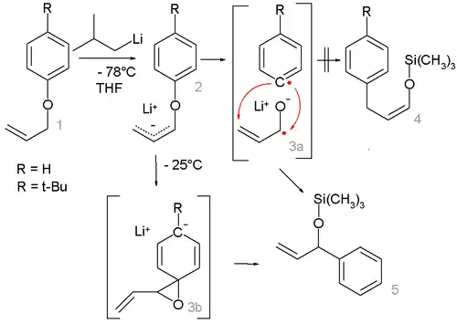
Při použití některých allylaryletherů probíhá vedlejší reakce.[4] The reaction ofReakcí allylfenyletheru 1 s s-butyllithiem při −78 °C se tvoří lithiovaný meziprodukt 2, u něhož po zahřátí na −25 °C proběhne přesmyk, přičemž po zachycení lithného alkoxidu vznikne pouze produkt 5, ne 4 . Tímto procesem se odstraní radikálový-ketylový meziprodukt 3a ve prospěch Meisenheimerova komplexu 3b. Tento mechanismus byl podpořen zjištěním, že při přítomnosti para-terc-butylových substituentů probíhá reakce pomaleji.

Tato reakce patří mezi dyotropní reakce.
Odkazy
Související články
Reference
V tomto článku byl použit překlad textu z článku 1,2-Wittig rearrangement na anglické Wikipedii.
- ↑ Georg Wittig, L. Löhmann, Ann. 550, 260 (1942)
- ↑ G. Wittig, Experientia 14, 389 (1958)
- ↑ Preparation of aryl benzyl ketones by [1,2]-Wittig rearrangement Alan R. Katritzky, Yuming Zhang, Sandeep K. Singh Arkivoc pp. 146–50 2002 (vii) link Archivováno 28. 9. 2006 na Wayback Machine.
- ↑ a b Wittig Rearrangement of Lithiated Allyl Aryl Ethers: A Mechanistic Study Sven Strunk, Manfred Schlosser European Journal of Organic Chemistry Volume 2006, Issue 19 , pp. 4393–97 doi:10.1002/ejoc.200600304