Zpětná vazba

Zpětná vazba (také zpětnovazební smyčka) je specifický pohled na dění v reálném světě, odlišný od pohledu po-newtonovské vědy. Ta vidí reálný svět jako spleť interakcí, zatím co pohled specifikující zpětnou vazbu ho vidí jako rozruch (proces) pohybující se v reálném světě odněkud někam (třeba jako nějaká vlna na vodní hladině, v níž se skrývá mnoho interakcí, které se však nevnímají). Ve zpětné vazbě se uplatňují dva činitelé. Jedním je jistý prvotní proces, druhým je proces z prvého odvozený, nějakou jeho modifikací. Druhotný proces uskutečňující zpětnou vazbu se s jistým zpožděním a v jisté proporci účinku, vrací v reálném světě k původnímu, vzniká jejich kompozice, a tak je původní proces ovlivňován. Zhruba řečeno, posiluje či oslabuje ho, ve skutečnosti je to však složitější. Druhotný proces vracející se k prvotnímu spolu tvoří uzavřenou cestou (prvotní proces její dopřednou část, druhotný proces její zpětnou část), proto se někdy mluví o zpětnovazební smyčce.

Zpětná vazba se může uskutečňovat v kterémkoli prostředí reálného světa viz příklady v dalším textu.

Schéma zpětné vazby

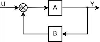
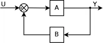
Schematicky je princip zpětné vazby znázorněn na obr. 2 a obr. 3 (které jsou poněkud poplatné svému vzniku ve sdělovací technice, modul A tam znázorňuje např. zesilovač bez zpětné vazby, modul B část uskutečňující zpětnou vazbu). Rozruch vzniklý v modulu A (ať už vnějším popudem U, nebo z energetické zásoby v modulu v okamžiku počátku pozorování) se šíří do modulu B, ten ho nějak modifikuje, a takto upravený rozruch z modulu B se sdružuje s původním, a opět vstupuje do modulu A. Způsob jiného vidění spočívá v tom, že zde se pozoruje něco, co plyne odněkud někam, tedy jednosměrně, což u interakcí neplatí. Tímto pohledem se vytváří model, v němž se nevyskytují interakce. Vzniká tak úloha nalézt metodu, jak ze světa interakcí reálného světa vytvořit model (stavebnici) jednostranně působících modulů tvořících zpětnou vazbu. Svět interakcí nelze obejít, lze ho jen poznat, a tak přestupní stanicí mezi ním a modelem zpětné vazby, je akt poznání, který umožňuje takový model vytvořit. Pro onen akt poznání je nutno použít rozpoznané přírodní zákony, které v dané části reálného světa platí (např. pro elektrické obvody jsou to Kirchhoffovy zákony a Ohmův zákon), vytvořit matematický model té části reálného světa a pak nalézt metodu, jak z něj vytvořit model zpětné vazby sestavený z jednostranně působících modulů. Tomuto se v elektronických obvodech jako první věnoval americký vědec Hendrik Wade Bode (1905 –1982) v knize.[1] Bode vypracoval metody určení vlastností modulů označených A a B v níže uvedených obrázcích obr. 2 a obr. 3, tedy jejich matematické popisy – modely, vytvořené ze zapojení a hodnot elektronického obvodu, u něhož se zpětná vazba zkoumá.

Zpětnou vazbou se v uvedeném schematickém pojetí rozumí uzavřená cesta (smyčka) z výstupu některého z modulů, na vstup téhož nebo jiného z modulů soustavy. V níže uvedených obrázcích obr. 2 a obr. 3 je to uzavřená cesta, vedoucí přes moduly označené A a B. Části cesty modulem A se obvykle říká přímá (někdy hlavní) větev, části modulem B se říká zpětnovazební větev.

Historie

Pohled zavádějící pojem zpětné vazby vznikl ve dvacátých letech 20. století v počátcích elektroniky (r. 1906 vynález elektronky, Lee de Forest) a na ni navazující sdělovací techniky. Pak se rozšířil do povědomí široké veřejnosti a začal díky lidové tvořivosti získávat různé významy, mnohdy opouštějící ten původní. Je však nutno si uvědomovat mez mezi původním významem a tím nezávazným, lidovým. Tak je třeba nepoužívat ten lidový, pokud se má vysvětlit nějaký děj, odehrávající se třeba v elektronickém zařízení, jinak vznikají nesmysly.

Příklad použití zpětné vazby v audionovém stupni rozhlasového přijímače

Ve sdělovací technice se pojem zpětné vazby vyvinul proto, že se objevily nežádoucí (nestabilita zesilovače) i revolučně žádoucí vlivy (např. razantně snížit výstupní impedanci zesilovače, snížit jeho zkreslení) zpětného působení, které zpětná vazba znázorňuje – modeluje. První patent týkající se zpětné vazby ale byl zaregistrován až v roce 1932, kdy Harold Stephen Black patentoval zesilovač s pevným zesílením. To znamená, zpětná vazba působí, že zesílení zesilovače se mění se změnou parametrů použitých elektronických součástek (stárnutím a opotřebením zejména elektronek) a v požadovaném frekvenčním rozsahu jen zanedbatelně. Zpětná vazba čerpá z velké rezervy (hodnoty) zesílení zesilovače a reguluje ho tak, že je téměř stálé v čase i v požadovaném rozsahu zpracovávaných frekvencí. V dvacátých letech 20. století byl totiž problém s tím, že zesílení zesilovačů bez zpětné vazby bylo silně závislé na frekvenci zesilovaného signálu. Tuto vadu odstranil Blackův zesilovač použitím zpětné vazby.

Obrázek 1 : Patent na zesilovač

Zpočátku samozřejmě nebyla zpětná vazba vnímána vědci a techniky takto precizně – abstraktně, ale jako technický poznatek, výsledek pozorování, měření a úsudku. Na abstraktní úroveň se začínal přesouvat, až když bylo třeba pouhá pozorování a experimenty, vyztužit krokem poznání, a to nebylo možné jinak, než použitím matematického popisu. Vnikla tak teorie zpětné vazby, bez které by aplikace nebyly možné, experimenty při znalosti teorie mohou být mnohem zasvěcenější a rychleji postupující k cíli. Vyvinula se i grafická symbolika modulů znázorňující ideu zpětné vazby, používající trojúhelníky znázorňující směr pohybu sledovaného rozruchu, někdy místo nich používají obdélníky se šipkami na spojnicích mezi uvedenými zobrazeními modulů. Moduly mají vstup (někdy i několik) a jeden výstup, tak jsou jednosměrné, říká se jim unilaterální. Schémata používající unilaterální moduly se nazývají blokové schéma (někdy nazývané Blackův diagram), zde níže obr. 2 a obr. 3., nebo jako grafy signálových toků.[2][3][4]

Realizace unilaterálních modulů

Krok ze světa interakcí (elektronických obvodů) k unilaterálnímu modelu zpětné vazby, v němž jsou na obr. 2 a obr. 3 uvedené moduly A a B, znamená odvození jejich matematického popisu. Každá změna v realizaci modulů (změna vnitřního zapojení a hodnot komponentů elektronického obvodu) si vyžaduje znovu určit matematický popis modulů, a moduly se navíc vzájemně ovlivňují interakcemi. Byla proto zvolena schůdnější cesta, a to vytvoření unilatelárních modulů. Je to realizace toho, co se vyskytuje ve schématu zpětné vazby. Schéma může být mnohem složitěji, než v obr. 2 a obr. 3, ty ukazují jen princip. Vytvoření unilatelárních modulů je zajištěno jejich speciální konstrukcí a přísunem vnější energie, říká se jim aktivní členy. Příkladem jsou moduly informačních, sdělovacích a regulačních soustav (např. lineární operační zesilovače, logické obvody počítačů, hydraulické a pneumatické zesilovače v automatickém řízení a neurony biologického mozku: axony jsou výstupy, dendrity jsou vstupy). Princip je ten, že výstupy (díky přísunu vnější energie do modulu) disponují takovou energetickou rezervou, že vstupy následujících modulů na onen výstup napojené, nijak hodnoty toho výstupu neovlivňují. Vniká tak stavebnice se snadnou výměnou modulů, a pro každý modul je znám jeho matematický popis, tedy jeho vlastnosti. Určení matematického popisu soustavy unilatelárních modulů je pak mnohem snadnější (slouží k tomu algebra bokových schémat, uvedená např. v: [5][6]), než kdyby se pracovalo s elektrickým obvodem, v němž se odehrávají interakce. Tak hlavní úsilí může být soustředěno na návrh a odladění celku, jímž může být sdělovací zařízení nebo třeba soustava automatického řízení, apod.

Jinou obdobou unilatelárních modulů jsou jejich počítačové modely. Např. v oboru automatického řízení se používají programy modelující soustavu automatického řízení, tak, jako by byla k dispozici stavebnice unilatelárních modulů. Takovým programům se říká blokově orientované.

Hledání zpětné vazby

Postupně, někdy jako pohled proti proudu času, lidé začali odhalovat, že zpětná vazba je k rozeznání i jinde. Příkladem může být Wattův odstředivý regulátor, který byl původně vymyšlen ad hoc, ze znalosti toho, jak jedna součástka mechanicky postrkuje jinou (z hlediska fyziky mezi nimi probíhají interakce a pohyb součástek je jejich výsledkem), takže pokud se otáčky nežádaně zvyšují, odstředivá síla tlačí závaží na rotujícím věnci od středu a tak i nahoru, a ventil přívodu páry se přivírá a obráceně. Zpětná vazba se uzavírá přes parní stroj, který změnou otáček reaguje na změnu přívodu páry, a tak mění otáčky. Parní stroj je ve schématu (obr. 2 a obr. 3) symbolizován modulem A, regulátor symbolem B. Zpětná vazba se ukázala být významným principem automatického řízení. Byly odhalovány zpětné vazby v mnoha přírodních jevech, včetně procesů v lidském těle. Americký vědec Mason[3], přišel s nápadem, že bude pomocí grafů zobrazovat jednosměrné akce a reakce, získané aktem poznání s použitím Ohmova zákona a Kirchhoffových zákonů v elektrických RLC obvodech. Ukazuje, že jednosměrné akce a reakce tvoří zpětnovazební smyčky modelující původní interakce. Grafy nazval grafy signálových toků, a ty se v propracovanější formě s úspěchem stále používají.[4]

Zmapování zpětných vazeb ve světě interakcí se obecně děje tak, že během aktu poznání (viz Věda) jsou interakce rozloženy (použitím zákona akce a reakce) na jednosměrně působící akce a reakce, které můžeme chápat jako zpětné vazby. Tak je aktem poznání svět interakcí převeden na svět (jednosměrně – od někud někam tekoucí) informace, někdy se používá pojem signálové toky. Takto získaný informační (matematicky reprezentovaný kognitivní) model lze graficky znázornit unilaterálními bloky, a zpětné vazby popisující akce a reakce původních interakcí, jsou mezi moduly patrné. Řadu příkladů lze nalézt v literatuře.[7][8] Použití unilaterálních schémat, umožňující různé interpretace, od sledování toků hmotných a energetických rozruchů po sledování toku informace orientuje zpětnou vazbu do kybernetiky.

Při použití metod zjišťování, jak zpětná vazba ovlivňuje vlastnosti dané soustavy modulů, se uzavřená smyčka pomyslně (nebo v realitě skutečně) rozpojí. Zjišťují se vlastnosti takto rozpojené smyčky (moduly A a B jsou v sérii), a z nich se dají zjistit vlastnosti smyčky uzavřené, např. stabilita. Používají se i metody, kdy se uvažují vlastnosti soustavy bez větve zaváděné zpětné vazby, a odděleně vlastnosti samotné větve zpětné vazby, a z nich se stanoví vlastnosti soustavy s uzavřenou zpětnou vazbou. Jednoduché příklady jsou uvedeny níže na obrázcích 2. a 3.

Kladná zpětná vazba

Pokud zvýšení hodnoty, přiváděné z výstupu na vstup, způsobí další zvýšení hodnoty na výstupu, jedná se o kladnou zpětnou vazbu. Pokud je navíc výsledné zesílení celého cyklu větší než 1, může výstupní hodnota systému nekontrolovatelně růst. Obvykle tento růst samozřejmě narazí na omezení daná charakterem systému, v němž vazba probíhá.

Obrázek 2: Kladná zpětná vazba

Kladná zpětná vazba se obvykle využívá k zesílení nebo k akceleraci žádoucích jevů.

Matematicky je přenos kladné zpětné vazby popsán následujícími rovnicemi.

Příklady kladné zpětné vazby

Elektroakustika

Podrobnější informace naleznete v článku Akustická zpětná vazba.

V elektroakustice způsobuje zpětná vazba známé „pískání“, kdy se výstupní zvuk z reproduktorů dostane zpět na mikrofonní vstup, je zesílen do reproduktorů a zesílený signál opět přijat mikrofonem. Tento jev je též znám pod pojmem Larsenův efekt, podle dánského vědce (Søren Larsen), který první popsal tento princip. Limitem, který nastoupí, je výstupní výkon zesilovače. V menší míře se kladná zpětná vazba využívá k některým speciálním efektům, jako jsou dozvuky elektrických kytar vazbou struna-snímač-odposlech-struna. Tento jev lze pozorovat u moderních gramofonů vybavených magnetodynamickou přenoskou, zvuk z reproduktoru rozechvívá mechanicky přenosku, která tak zafunguje coby zvláštní mikrofonní vstup, gramofon je třeba pro tyto případy vhodně akusticky zatlumit.

Elektronika, komparátor

Operační zesilovač se většinou používá se zápornou zpětnou vazbou (např. stabilizátor napětí). Kladná zpětná vazba je užita ke stavbě některých binárních elektrických obvodů a oscilátorů.

Klimatologie

Podrobnější informace naleznete v článku Zpětné vazby klimatických změn.

V klimatologii můžeme najít příklady zpětné vazby v souvislosti s vlivy, které na klima působí. Úbytek zemské plochy pokryté sněhem a ledem znamená větší absorpci slunečního záření půdou, vodou, zastavěnými plochami (snížení albeda) a tím způsobí další tání oblastí sněhu a ledu. Je to i jeden z argumentů, že kladná (pozitivní) zpětná vazba způsobuje globální oteplování. Klimatické změny však mohou mít přírodní i lidské zdroje zpětné vazby. V ochlazování klimatu působí jako záporná (negativní) zpětná vazba pokles hladiny oceánů.[9]

Ekologie

Vymírání rostlinných a živočišných druhů (neboli snižování biodivergence) způsobuje nestabilitu počtu odolnějších druhů, výkyvy teplot a obecně hostilnější prostředí pro rozvoj biologických druhů v dané lokalitě, čímž zpětně snižuje biodivergenci.

Ekonomika

Rozmach prodeje mobilních telefonů v 90. letech 20. století byl stimulován lidmi, kteří jej již měli. Ti poté dokázali přesvědčit ostatní (známé, kolegy z práce), aby si jej také pořídili. Čím jich bylo více, tím rychleji prodej rostl. Klasickým příkladem je také inflační spirála, respektive obavy z deflační spirály. Monetární nebo nepeněžní vazba pak může vést k hospodářskému cyklu.

Hromadná doprava

Pokud autobus či jiný prostředek hromadné dopravy nabere malé zpoždění proti jízdnímu řádu, pak to (zvláště v dopravní špičce) znamená, že na zastávkách bude čekat větší počet cestujících. V důsledku toho bude déle trvat nástup a výstup cestujících a zpoždění autobusu se bude zvětšovat.

Bestseller

Knižní a elektronická nakladatelství ale i e-shopy často ve svých katalozích či webových stránkách avizují své nejprodávanější tituly (bestsellery). Tím, že z pohledu zákazníků je takto „dávají na odiv“, je upřednostňují pro výběr, resp. zvyšují šanci, že ti jim budou věnovat pozornost, koupí si je a daný titul si ještě více upevní svou pozici toho nejprodávanějšího.

Vybrané trendy

Podobný princip protežování pozornosti bestsellerů lze najít na internetu a to např. v on-line zpravodajství, diskuzích nebo na sociálních sítích. Výchozí stránky často nabízejí seznam nejčtenějších, nejnavštěvovanějších nebo nejdiskutovanějších článků (zpráv, diskuzí, témat, …), které jsou snadno přístupné na jedno kliknutí. Část uživatelů těchto stránek na ně kliká rovnou, bez procházení kategorií (na úkor článků, které nejsou v tomto seznamu) a tak obsah uvedený v žebříčku získává o lepší přístupnost uživatelů k tomu, aby si je našli.

Záporná zpětná vazba

Pokud zvýšení hodnoty, přiváděné z výstupu na vstup, způsobí snížení hodnoty na výstupu, jedná se o zápornou zpětnou vazbu. Tento druh vazby se využívá v regulační technice pro udržení stálých parametrů systémů, neboť v případě výskytu výchylky (regulační odchylky) od ustáleného stavu dokáže zpětná vazba působit proti této výchylce a potlačit ji.

Obrázek 3: Záporná zpětná vazba

V přenosu se oproti kladné zpětné vazbě pouze změní znaménko ve jmenovateli.

Je-li zesílení zesilovače označené A v celém požadovaném frekvenčním rozsahu natolik velké, že součin A * B je mnohem větší než jedna, pak

Přenos zesilovače se zpětnou vazbou tedy pak závisí (téměř) jen na hodnotě B, tedy na zpětné vazbě, což je princip, který Blackovi umožnil zavedením zpětné vazby u zesilovače zlepšovat jeho vlastnosti.

Příklady záporné zpětné vazby

Regulace teploty vody

Jednou ze zpětných vazeb, se kterou se setkává téměř každý člověk, je nastavení teploty vody. Pokud je voda příliš studená, otevře se více kohoutek s teplou vodou a naopak, když je voda příliš horká, kohoutek teplé vody se přivře. Rychlost nastavení optimální teploty vody, závisí na šikovnosti, neboli na kvalitě zpětné vazby, což je problematika oboru zvaného regulační technika (také kybernetika nebo řídicí technika).

Wattův odstředivý regulátor otáček

Wattův odstředivý regulátor je mechanismus, který se zvyšujícími se otáčkami parního stroje přivírá přívod páry ke stroji a tím jej udržuje v přibližně stejných otáčkách.

Dravec–kořist

Dalším příkladem zpětné vazby může být vývoj dravců (lovců) a kořistí (obětí) ve volné přírodě. Pokud je málo kořisti, začnou dravci vymírat hlady. Tím má kořist méně nepřátel a začne se množit. To pro dravce znamená více potravy, a tak jejich počet začne opět růst. V určitou dobu jich však bude tolik, že počet kořistí začne opět klesat a dravci díky tomu začnou vymírat.

Množství kořisti má kladný vliv na množství dravců, zatímco množství dravců má záporný vliv na množství kořisti. Nedochází zde k ustálení populace na konstantní hodnotě, ale ani nedochází k jejímu prudkému nárůstu směrem k nekonečnu. Tento děj je takzvaně na mezi stability a je periodický.

Mohou nastat i případy překmitu, který způsobí erozi surovinové základny a nestabilitu systému (viz Tragédie obecní pastviny).

Zpětná vazba a lidský organismus

I když si to možná ani neuvědomujete, zpětná vazba je všude kolem nás. Například to, že dokážeme stát na nohou, aniž bychom spadli, je díky zpětné vazbě. Pomocí našich senzorů polohy jako jsou například oči, vyhodnocuje lidský mozek naši polohu a stimuluje jednotlivé svaly tak, abychom rovnováhu udrželi. Sami si můžete vyzkoušet, že je mnohem obtížnější udržet rovnováhu v momentě, kdy zavřete oči, a navíc do Vás někdo strčí. Došlo totiž k rozpojení zpětné vazby od senzorů zraku. Ptáte-li se, proč však někteří z Vás rovnováhu udrží, je to proto, že oko není ve skutečnosti jediný senzor polohy. Mozek například vyhodnocuje polohu také pomocí tekutiny ve vnitřním uchu. Zásadně je rozpojení zpětné vazby patrné v bezvědomí, kdy se lidské tělo skácí k zemi.

Poruchy homeostáze vedou k nemocem.

Charakter zpětné vazby

Podrobnější informace naleznete v článcích udržitelnost a překmit (systémová dynamika).

Z podstaty toho, že výstup procesu, který je ovlivněn zpětnou vazbou, působí v každé iteraci na jeho vstup, naznačuje, že celkový stav zpětnovazební veličiny se bude zvyšovat nebo snižovat geometrickou řadou, čili bude mít exponenciální průběh.

Omezení zpětné vazby

V reálném světě bude průběh veličin, které jsou nějak zapojeny do zpětné vazby, omezen zejména ve své:

  • plynulosti – exponenciální průběh je ideálním případem, kdy se zpoždění jednotlivých iterací limitně blíží k nule. Místo hladké exponenciely bude reálný průběh více „schodovitý“ (každý schod na grafu bude představovat jednu iteraci), avšak přesto bude mít exponenciální charakter.
  • konečnosti – u záporné zpětné vazby dříve či později dojde k setření rozdílu mezi ještě klesající veličinou a její nulovou hodnotou. U kladné zpětné vazby se exponenciálně rostoucí veličina musí dříve či později střetnout s některou z mezí systému.

Systémová dynamika

Zpětná vazba (feedback) má velkou roli v systémové dynamice, je to jedna ze základních relací mezi entitami a veličinami systémů, které moduluje. Zpoždění mezi obdržením zpětnovazebních informací může být stěžejní v strategii řízení těch nejdůležitějších procesů a demografických či ekonomických ukazatelů (počet obyvatel, hmotná úroveň jednotlivce, objem obchodu, …) v rámci regionu, státu nebo i v globálním měřítku (logistických řetězcích, systémech a cyklech).[10]

Odkazy

Reference

  1. Bode H. W.: Network Analysis And Feedback Amplifier Design, D. Van Nostrand, Inc., 1945
  2. Kotek Z., Kubík S., Razím M.: Nelineární dynamické systémy. SNTL Praha 1973
  3. a b Mason, S.J.: Feedback Theory: Further Properties of Signal Flow Graphs. Proc. IRE, Vol. 44, No. 7, pp. 920-926, 1956.
  4. a b Biolek D.: Grafy signálových toků pro analýzu obvodů (nejen) v proudovém módu. http://www.elektrorevue.cz/clanky/02031/index.html#1 Archivováno 24. 1. 2020 na Wayback Machine.
  5. Algebra blokových schemat https://vyuka.hradebni.cz/file.php/133/Algebra_blokovych_schemat.pdf
  6. Bloková algebra https://eluc.kr-olomoucky.cz/verejne/lekce/947 Archivováno 28. 10. 2021 na Wayback Machine. )
  7. Zítek P.: Simulace dynamických systémů. SNTL Praha 1990
  8. Kalman R. E., Falb P. L., Arbib M. A.: Topics in mathematical system theory. New York, McGraw-Hill,1969
  9. Multi-proxy evidence for sea level fall at the onset of the Eocene-Oligocene transition. www.nature.com [online]. [cit. 2023-08-21]. Dostupné online. 
  10. Preclík Vratislav: Průmyslová logistika, 359 s., ISBN 80-01-03449-6, Nakladatelství ČVUT v Praze, 2006, str. 20 - 48, 63 - 73, 75 - 85, 250 - 300, 306 - 350

Související články

Externí odkazy