Wenkerova syntéza
Wenkerova syntéza je organická reakce, při které se beta aminoalkohol přeměňuje na aziridin za přítomnosti kyseliny sírové.[1]

Původní popsaná syntéza samotného aziridinu se skládá ze dvou kroků; v prvním reaguje ethanolamin s kyselinou sírovou při teplotě 250 °C za vzniku monoesteru, ten ve druhém kroku reaguje s hydroxidem sodným za vzniku aziridinu. Zásada slouží k odštěpení protonu z aminové skupiny, což umožní odštěpení síranové skupiny. Existuje pozměněná varianta této reakce prováděná při nižších teplotách (140–180 °C), při níž se omezují vedlejší reakce, čímž se dosahuje vyššího výtěžku meziproduktu.[2]
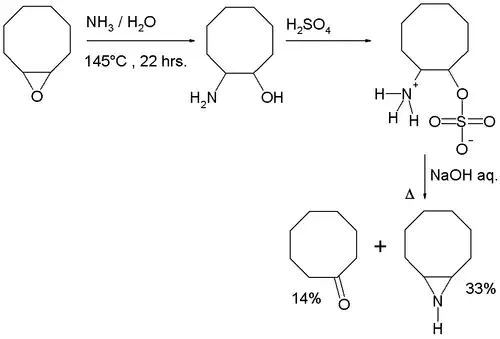
Při Wenkerově syntéze za použití trans-2-aminocyklooktanolu (získatelného reakcí amoniaku s epoxidem cyklooktenu) vzniká směs cyklookteniminu (aziridinového Wenkerova produktu) a cyklooktanonu (produktu současně probíhající Hofmannovy eliminace.[3]
![Příprava 9-azabicyklo[6.1.0]nonanu](./WenkerSynthApplic.png)
Reference
V tomto článku byl použit překlad textu z článku Wenker synthesis na anglické Wikipedii.
- ↑ Henry Wenker. The Preparation of Ethylene Imine from Monoethanolamine. Journal of the American Chemical Society. 1935, s. 2328.
- ↑ Philip A. Leighton; William A. Perkins; Melvin L. Renquist. A Modification of Wenker's Method of Preparing Ethyleneimine. Journal of the American Chemical Society. 1947, s. 1540.
- ↑ D. V. Kashelikar; Paul E. Fanta. Chemistry of Ethylenimine. VII. Cyclooctenimine or 9-Azabicyclo[6.1.0]nonane. Journal of the American Chemical Society. 1960, s. 4927–4930.
Externí odkazy
Obrázky, zvuky či videa k tématu Wenkerova syntéza na Wikimedia Commons