Uracil

Uracil
Strukturní vzorec
Strukturní vzorec
Obecné
Systematický názevPyrimidin-2,4(1H,3H)-dion
Triviální názevuracil
Sumární vzorecC4H4N2O2
Identifikace
Registrační číslo CAS66-22-8
Vlastnosti
Molární hmotnost112,09 g/mol
Teplota tání335 °C
Bezpečnost
GHS07 – dráždivé látky
GHS07
GHS08 – látky nebezpečné pro zdraví
GHS08
[1]
Varování[1]
Není-li uvedeno jinak, jsou použity
jednotky SI a STP (25 °C, 100 kPa).

Některá data mohou pocházet z datové položky.

Uracil (symbol U nebo Ura) je heterocyklická sloučenina, jejímž základem je pyrimidinová nukleová báze. Jedná se tedy o derivát pyrimidinu s heterocyklickým aromatickým kruhem a dvěma připojenými substituenty (2 atomy kyslíku na pozicích 2 a 4). Uracil je demethylovaná forma thyminu a přirozeně se vyskytující derivát pyrimidinu.

Uracil je jednou z nukleových bází v nukleové kyselině RNA společně s adeninem, guaninem a cytosinem. Nukleosidy uracilu jsou uridin v RNA a velmi vzácný deoxyuridin v DNA. V párování bází Watson-Crick tvoří dvě vodíkové vazby s adeninem. V DNA se uracil nevyskytuje a místo něj se s adeninem v DNA páruje thymin.

V organismu se uracil nachází vázaný na ribózový fosfát, buď jako jeden z nukleotidů uridinmonofosfát (UMP), uridindifosfát (UDP), uridintrifosfát (UTP) nebo jako složka ribonukleové kyseliny (RNA).

Historie

  • Název uracil byl vytvořen v roce 1885 německým chemikem Robertem Behrendem, který se pokoušel syntetizovat deriváty kyseliny močové a odvodil strukturu této sloučeniny z methylderivátu.
  • V roce 1900 jej Albert Ascol izoloval při hydrolýze kvasinek. Dále byl nalezen v brzlíku a slezině skotu, spermiích sleďů a pšeničných klíčcích.  
  • Na základě izotopových poměrů 12C : 13C v organických sloučeninách nalezených v meteoritu Murchison se předpokládá, že uracil, xantin a příbuzné molekuly mohly být také vytvořeny mimo zemi.  Data ze sondy Cassini, která obíhá v soustavě Saturnu, naznačují, že uracil je přítomen na povrchu jeho měsíce Titan.

Vlastnosti

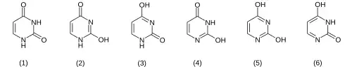
  • Tautomery uracilu
    Jedná se o rovinnou, nenasycenou sloučeninu, která má schopnost absorbovat světlo.
  • Je to bílá prášková pevná látka, která se taví při teplotě 341 °C.
  • Disociace uracilu
    Rentgenová analýza krystalové struktury prokázala, že z možných šesti tautomerních forem v pevném stavu je přítomna především dioxoforma (1).
  • Uracil je slabá kyselina (pKa = 9,45). V uracilovém aniontu je záporný náboj delokalizován, a proto se uracil rozpouští ve vodných alkáliích a vodném amoniaku.


Sloučeniny obsahující uracil

Vlevo uridin a vpravo pseudouridin.

Nukleosidy

Nukleosidy se skládají z pětiuhlíkového sacharidu (ribózy nebo deoxyribózy) a z nukleové báze (ze skupiny purinů nebo pyrimidinů). Nukleosidy jsou základní molekulární stavební kameny nukleotidů, od kterých se liší tím, že neobsahují kyselinu fosforečnou. V živých organismech jsou nukleosidy jako součást nukleotidů nositeli genetické informace.

Uridintrifosfát

Uracil tvoří s ribózou dva různé nukleosidy:

  • uridin (značka U, spojení přes atom N1)
  • pseudouridin (značka Ψ, spojení přes atom C5)

Nukleotidy

Nukleotidy jsou fosforylované nukleosidy, tedy látky složené z nukleové báze (nejčastěji purinové nebo pyrimidinové), pětiuhlíkového monosacharidu (ribóza nebo deoxyribóza) a jednoho nebo více zbytků kyseliny fosforečné. Pokud je kyselina fosforečná navázána na uracil vznikají životně důležité sloučeniny.

Vodíkové vazby v páru adenin-uridin

Fosforylace uridinu na atomu C5 ribózy vede k důležitým nukleotidům uridinmonofosfátu (UMP), uridindifosfátu (UDP) a uridintrifosfátu (UTP).

DNA a RNA

Uracil je jednou z nukleových bází v nukleové kyselině RNA společně s adeninem, guaninem a cytosinem. Nukleosidy uracilu jsou uridin v RNA a velmi vzácný deoxyuridin v DNA. V párování bází Watson-Crick tvoří dvě vodíkové vazby s adeninem. V DNA se uracil nevyskytuje a místo něj se s adeninem v DNA páruje thymin.

Uracil v RNA a DNA

Deaminace a hydrolýza cytosinu na uracil

Nukleová kyselina RNA vznikla evolučně dřív než DNA. V RNA se vyskytuje uracil, v DNA se místo uracilu vyskytuje thymin. Uracil je proto evolučně původnější složkou nukleových kyselin než složitější thymin, který navíc obsahuje methylovou skupinu na uhlíku C5. Pro buňky je tedy snazší vyrábět uracil než thymin, a jelikož je molekul RNA v buňce vysoké množství a neustále se obnovují, používá se v RNA uracil.[2] V dvouvláknových částech RNA tvoří uracil komplementární pár s adeninem, slaběji se však wobblerovým párováním váže i s guaninem nebo inosinem.[3]

V DNA se místo uracilu vyskytuje thymin, protože tak široké možnosti párování uracilu by v DNA mohly způsobit změnu základní sekvence (mutaci) a informace geneticky zakódovaná v nukleotidové sekvenci by byla změněna. Na základě chyby se však uracil i do řetězce DNA může vzácně dostat, a to zejména ze dvou příčin:

  • Deaminací cytosinu přítomného v řetězci na uracil, například adicí vodíkového kationtu z molekuly alkylovaného guaninu. Pokud by v DNA došlo k náhodné deaminaci cytosinu na uracil, nešlo by rozlišit, zda tento uracil do DNA patří nebo zda vznikl deaminací cytosinu.[2]
  • Substitucí thyminu za uracil, pokud se v okamžiku replikace DNA vyskytuje větší množství deoxyuridinu.[4] Uracil vyskytující se v DNA může být rozpoznán specifickými opravnými enzymy jako mutovaná báze. Je pak odstraněn a vyměněn za cytosin (oprava excize báze).

Příbuzné sloučeniny

Reference

V tomto článku byly použity překlady textů z článků Uracil na německé Wikipedii a Uracil na anglické Wikipedii.

  1. a b Uracil. pubchem.ncbi.nlm.nih.gov [online]. PubChem [cit. 2021-05-23]. Dostupné online. (anglicky) 
  2. a b FREYER, Greg A.; STURR, Michael. Why did mother nature use uracil to replace thymine in mRNA (messenger ribonucleic acid)? What is the advantage of using U instead of T in the RNA? [online]. NSTA News, 2006 [cit. 2015-12-23]. Dostupné v archivu pořízeném dne 2015-12-24. 
  3. KUCHIN, Sergei. Covering All the Bases in Genetics: Simple Shorthands and Diagrams for Teaching Base Pairing to Biology Undergraduates. Journal of Microbiology & Biology Education. 2011, roč. 12, čís. 1. Dostupné v archivu pořízeném dne 2013-10-17.  Archivováno 17. 10. 2013 na Wayback Machine.
  4. RICHARDS, R G, L C Sowers, J Laszlo, W D Sedwick. The occurrence and consequences of deoxyuridine in DNA. Advances in Enzyme Regulation. 1984, roč. 22, s. 157–85. Dostupné online [cit. 2009-02-18]. ISSN 0065-2571. 

Externí odkazy

  • Obrázky, zvuky či videa k tématu uracil na Wikimedia Commons