Tetrazen (výbušnina)

Tetrazen
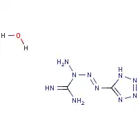
Strukturní vzorec
Strukturní vzorec
Obecné
Systematický název1-amino-1-(2H-tetrazol-5-yl-diazenyl)guanidin monohydrát
Triviální názevtetrazen
Ostatní názvyRacionální název
  • 4-(1H-tetrazol-5-yl)-3-tetrazen-2-karboximidamid monohydrát
  • 1-(5-tetrazolyl)-4-guanyl-1-tetrazen monohydrát
Sumární vzorecC2H6N10.H2O
C2H8N10O
Identifikace
Registrační číslo CAS31330-63-9
Vlastnosti
Molární hmotnost188,152 g/mol
Teplota tání136 °C (rozklad)
Teplota varu
Hustota1,65 g/cm³
0,45 g/cm³ (sypaný)
Rozpustnost ve vodězanedbatelná
Není-li uvedeno jinak, jsou použity
jednotky SI a STP (25 °C, 100 kPa).

Některá data mohou pocházet z datové položky.

Tetrazen je kvalitní třaskavinou, označovanou někdy též zkratkou GNGT (vycházející z názvu historicky nesprávně určené struktury jako 1-guanyl-4-nitrosaminoguanyltetrazen). Je to bezbarvá až slabě nažloutlá krystalická látka.

Příprava a výroba

Surovinou pro výrobu tetrazenu je aminoguanidin nebo jeho soli (síran, hydrogenuhličitan, dusičnan). K jejich vodnému roztoku se za míchání přidává pevný dusitan sodný za současné úpravy kyselosti přidáním kyseliny octové. Po rozpuštění dusitanu mírně exotermní reakce

probíhá značně pomalu (několik hodin); protože růst teploty snižuje výtěžek reakce, je nutné chlazení reakční směsi. Vykrystalizovaný tetrazen se oddělí filtrací, promývá se vodou, ethanolem a opět vodou. Velmi čistý tetrazen se připravuje rozpuštěním surového produktu v kyselině octové a opětovným vysrážením přidáním nadbytku vody. Získaná krystalická látka se suší při 20 °C.

Vlastnosti

Tetrazen je prakticky nerozpustný ve vodě, ethanolu, diethyletheru, benzenu a tetrachlormethanu. Ve vroucí vodě, zejména s přídavkem alkalických látek, se rozkládá. Rozpustný je v kyselině mravenčí, octové a acetanhydridu. Bez rozkladu se také rozpouští v 30% kyselině solné a ve studené (0 až 5 °C) koncentrované kyselině dusičné.

Tepelně je stabilní přibližně do 70 °C, pak nastává postupný rozklad, který je od 100 °C zřetelný. Při teplotách mezi 135 až 140 °C dochází k explozivnímu rozkladu.

Pyrotechnické vlastnosti

Prudkým zahřátím nebo mechanickou iniciací vybuchuje za tvorby černého dýmu, způsobeného uvolněním uhlíku ve formě sazí.

  • teplota vzbuchu - 135 až 160 °C
  • detonační rychlost je přibližně 4 000 m/s
  • výbuchové teplo - 663 kcal/kg
  • přelisovatelný už od 20 MPa, nejlepší vlastnosti má volně sypaný
  • citlivý na nápich jehlou
  • senzibilizuje se tvrdými látkami
  • nenavlhavý a téměř nerozpustný ve vodě
  • velmi stabilní za normálních podmínek
  • stálý vůči kovům

Použití

U tetrazenu se využívá citlivost k mechanickým podnětům. Nevýhodou je pak jeho přelisovatelnost a nízký bod vzbuchu. Používá se ho buď ve směsi s jinými třaskavinami v nápichových rozbuškách nebo jako komponenty třaskavé slože do zápalek a roznětek. Je běžnou součástí iniciačních složí používaných v airbagu v automobilech.

Fyziologické působení

U osob pracujících ve výrobě této látky byl pozorován vyšší výskyt astmatu, podráždění a záněty nosní sliznice (chronická rýma) a podráždění pokožky. Karcinogenicita ani teratogenicita nebyly zjištěny.

Původ jména

Název této látky vznikl zkrácením jména hypotetické sloučeniny dusíku H2N–NH–N=NH, tetrazenu, jehož dvě molekuly tvoří součást molekuly této třaskaviny.

Externí odkazy

  • Obrázky, zvuky či videa k tématu Tetrazen na Wikimedia Commons