Kyselina vinná

Kyselina vinná
Vzhled
Vzhled
Obecné
Systematický název2,3-dihydroxybutandiová kyselina
Triviální názevkyselina vinná
Ostatní názvy2,3-dihydroxyjantarová kyselina
Latinský názevacidum tartaricum
Anglický názevtartaric acid
Německý názevWeinsäure
Funkční vzorecHOOCCH(OH)CH(OH)COOH
Sumární vzorecC4H6O6
Vzhledbílý prášek
Identifikace
Registrační číslo CAS526-83-0
Vlastnosti
Molární hmotnost150,087 g/mol
Teplota tání169–170 °C (opticky aktivní)
142 °C (meso-forma)
206 °C (racemát)
Hustota1,759 8 g/cm³ (opticky aktivní)
1,666 g/cm³ (meso-forma)
1,788 g/cm³ (racemát)
Rozpustnost ve vodě133 g/100 ml (20 °C)
Bezpečnost
GHS05 – korozivní a žíravé látky
GHS05
GHS07 – dráždivé látky
GHS07
[1]
Nebezpečí[1]
Není-li uvedeno jinak, jsou použity
jednotky SI a STP (25 °C, 100 kPa).

Některá data mohou pocházet z datové položky.

Kyselina vinná (2,3-dihydroxybutandiová kyselina, kyselina dihydroxyjantarová, latinsky acidum tartaricum z řeckého tartaros – peklo, název kvůli hořlavosti a korozivním účinkům). Funkční vzorec je HOOC–CH(OH)–CH(OH)–COOH. Kyselina vinná je bezbarvá krystalická látka, dobře rozpustná ve vodě, kyselé chuti. Její soli se nazývají vinany.

Tvorba vinného kamene v láhvi vína

Kyselina vinná byla vinařům známa po staletí. Již kolem roku 800 byla alchymistou Jabir ibn Hayyanem izolována ze své soli hydrogenvinanu draselného (vinný kámen). Ale až v roce 1769 vyvinul švédský chemik Carl Wilhelm Scheele proces pro její extrakci.

Tato přirozeně se vyskytující krystalická organická kyselina se nachází v mnoha druzích ovoce, zejména ve vinné révě, ale také v banánech, tamarindech a citrusech.

Její sůl hydrogenvinan draselný vzniká při výrobě vína. Kyselina vinná je proto jednou z hlavních kyselin ve víně, které určují její senzorické i další vlastnosti. V EU je schválena jako potravinářská přídatná látka E 334.

Chiralita

L-vinná kyselina

Historie

Důležitou roli při objevu chemické chirality hrála právě kyselina vinná. Tato její vlastnost byla poprvé pozorována v roce 1832 Jean-Baptiste Biotem, který objevil její schopnost otáčet polarizovaným světlem. V tomto výzkumu pokračoval Louis Pasteur a v roce 1847 zjistil, že krystaly vinanu sodno-amonného jsou také chirální. Při ručním tříděním různě tvarovaných krystalů Pasteur jako první vyrobil čistý vzorek kyseliny levovinné.

D-vinná kyselina

Optická aktivita

  • Optická aktivita souvisí s vnitřním prostorovým uspořádáním atomů v molekule.
  • Opticky aktivní látky stáčejí rovinu polarizovaného monochromatického záření doleva nebo doprava.
  • Nejčastějšími opticky aktivními látkami jsou organické sloučeniny uhlíku.

Chirální molekuly

  • Chirální molekuly obsahují asymetrický atom, který se nazývá chirální centrum molekuly. Dvojice takových molekul se k sobě chovají jako předmět a jeho obraz v zrcadle (nebo jako levá a pravá ruka). Tato jejich vlastnost se nazývá chiralita (z řeckého chiros, česky ruka nebo dlaň).
  • Centrum chirality je atom, na který jsou ostatní atomy navázány zrcadlově asymetricky. Většinou se jedná o atom uhlíku se čtyřmi různými substituenty. Takový atom uhlíku se nazývá asymetrický uhlík.
Meso-vinná kyselina

Optické izomery

Dvojice látek, které obsahují asymetrický uhlík a vyskytují se ve dvou formách (předmět - obraz), se nazývají optické izomery (enantiomery nebo optické antipody).

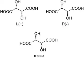
Příkladem takové opticky aktivní látky je kyselina vinná, která se vyskytuje ve třech optických izomerech:

  • L-vinná kyselina (konfiguračně L-, opticky pravotočivá, odtud starší název kyselina pravovinná)
  • D-vinná kyselina (Konfiguračně D-, opticky levotočivá, odtud starší název kyselina levovinná)
  • meso-vinná kyselina (achirální sloučenina, která není opticky aktivní)

Směs stejných množství pravotočivé a levotočivé látky vytváří opticky neaktivní látku (racemát), která polarizační rovinu nestáčí. Právě takovou látkou je opticky neaktivní , což je směs stejných množství pravotočivé a levotočivé (molekuly kyseliny levovinné a pravovinné jsou svými zrcadlovými obrazy).

Výskyt

V přírodě je nejvíce rozšířena L-vinná kyselina a racemická kyselina vinná neboli kyselina hroznová. Je obsažena například ve vinných hroznech, ananasu, banánech, tamarindech a citrusech.

Kyselina vinná se obvykle získává jako vedlejší produkt z hroznů při výrobě vína. Při tomto procesu se k vinanu draselnému postupně přidává hydroxid sodný, poté kyselina sírová za vzniku kyseliny vinné.

Použití

  • Kyselina vinná se používá především k úpravě kyselosti ovocných nápojů, vín, cukrovinek, želé, pekařských výrobků, ovocných šťáv, mražených mléčných výrobků.
  • Je složkou některých potravinářských barviv.
  • Jako kyselá složka je součástí prášku do pečiva,
  • Používá se jako emulgátor regulující proces rosolovatění nebo jako zvlhčující látka.
  • Má vlastnost vázat železnaté a měďnaté ionty, které katalyzují samovolnou oxidaci tuků, a tím může zabraňovat procesu žluknutí.
  • Z kyseliny vinné je odvozen vinan sodno-draselný neboli Seignettova sůl KOOCCH(OH)CH(OH)COONa, která je součástí Fehlingova činidla sloužícího k důkazu redukujících sacharidů.
  • Mezi důležité deriváty kyseliny vinné patří emetikum (vinan draselno-antimonitý, při vyšších dávkách dávidlo).

Nežádoucí účinky

Nejsou známy nežádoucí účinky kyseliny vinné, je považována za bezpečnou látku. V potravinách se vyskytuje jako přirozená složka. Ve velkém množství však může mít projímavé účinky nebo může způsobit zánět žaludku a střev. D-forma kyseliny vinné může při vylučování způsobit vznik a růst krystalů. Přijatelná denní dávka je 0-30 mg/kg tělesné hmotnosti.

Reference

V tomto článku byly použity překlady textů z článků Tartaric acid na anglické Wikipedii a Weinsäure na německé Wikipedii.

  1. a b Tartaric acid. pubchem.ncbi.nlm.nih.gov [online]. PubChem [cit. 2021-05-23]. Dostupné online. (anglicky) 

Externí odkazy