Stupeň vrcholu

V teorii grafů se pojmem stupeň vrcholu (někdy též valence vrcholu) označuje počet hran, které do daného vrcholu zasahují. Stupeň vrcholu u se značí deg(u). Přesnější definice závisí na tom, zda je graf orientovaný nebo neorientovaný.

Neorientovaný graf

Neorientovaný graf s 6 vrcholy označenými jejich stupněm

U neorientovaného grafu je stupeň vrcholu počet hran, které do daného vrcholu zasahují. Koncové body smyčky tvoří tentýž vrchol, proto se tato hrana počítá dvakrát.

Orientovaný graf

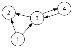
Orientovaný graf s 4 vrcholy a 5 hranami

U orientovaného grafu se rozlišuje tzv. vstupní a výstupní stupeň vrcholu:

  • vstupní stupeň
  • výstupní stupeň

U orientovaného grafu jsou hrany orientované, proto se vstupující hrana a vystupující hrany počítají zvlášť. Celkový stupeň uzlu je pak roven součtu vstupujících a vystupujících hran.

Stupně vrcholů z obrázku vpravo:

Vrchol vstupní stupeň výstupní stupeň
1 0 2
2 2 0
3 2 2
4 1 1

Princip sudosti

Tvrzení: V neorientovaném grafu G = (V, E) platí

Důkaz: Je to pouze vyjádření faktu, že každou hranu započítáváme dvakrát - jednou ve vrcholu, kde začíná, podruhé ve vrcholu, kde končí.

Poznámka: Pro orientované grafy změníme levou stranu rovnosti v tvrzení na

Důsledek: Počet vrcholů s lichým stupněm je sudé číslo. Neboli „počet lidí, kteří si na večírku potřásli ruce s lichým počtem účastníků, je sudé číslo“.

Související články