Skattebølův přesmyk
Skattebølův přesmyk je organická reakce přeměňující geminální dihalogenované cyklopropany na alleny s využitím organolithných zásad.[1][2] Reakce probíhá přes karbenový meziprodukt:

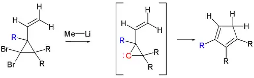
Pokud je na cyklopropanový kruh navázána 2-vinylová skupina, tak se vytváří cyklopentadien[3][4] v reakci označované jako vinylcyklopropanový přesmyk.

Podobnou reakcí je Doeringova–LaFlammeova syntéza allenů, při které vzniká stejný cyklopropylidenový meziprodukt z geminálního dibromcyklopropanu, za přítomnosti alkalického kovu.
Odkazy
Reference
V tomto článku byl použit překlad textu z článku Skattebøl rearrangement na anglické Wikipedii.
- ↑ The Formation of Allenes from gem-Dihalocyclopropanes by Reaction with Alkyllithium Reagents. William R. Moore, Harold R. Ward The Journal of Organic Chemistry; 1962; 27(12); 4179-4181 doi:10.1021/jo01059a013
- ↑ Chemistry of gem-Dihalocyclopropanes. V.1 Formation of Tricyclo[4.1.0.04,6]heptane and Derivatives Lars Skattebøl The Journal of Organic Chemistry; 1966; 31(9); 2789-2794 doi:10.1021/jo01347a014
- ↑ Chemistry of gem-dihalocyclopropanes—VI A novel synthesis of cyclopentadienes and fulvenes L. Skattebøl Tetrahedron Volume 23, Issue 3, 1967, Pages 1107-1117 doi:10.1016/0040-4020(67)85060-9
- ↑ Leo A. Paquette, Mark L. McLaughlin Organic Syntheses, CV 8, 223 [1]
Portály: Chemie