Senior
Senior je starší člověk, ale také nejstarší a zpravidla vážený člen nějakého společenství.[1]
Jako jediným objektivním faktorem, při posuzování toho, kdo je senior, se stal kalendářní věk jedince. Kalendářní věk je relativně jednoduše statisticky zachytitelný.[2] Nejobvyklejší věkovou hranicí je věk 60 - 65 let.[3] Stanovení této věkové hranice s sebou přináší jisté budoucí komplikace, protože s prodlužující se délkou života bude nezbytné věkovou hranici revidovat, i když ne neustále.[2]

Odchod do starobního důchodu nemůže být objektivním kritériem, kdy jedince přiřadíme mezi seniory, je však výrazným mezníkem v životě člověka samého.[2]
Gerón – (řecky stařec) – starší označení pro seniora, které se dnes prakticky nepoužívá, od tohoto pojmu se však odvozuje věda zvaná – gerontologie (věda o stárnutí)[1]
Stárnutí a stáří
Stárnutí je celoživotní biologický proces, který je neodvratný a na jehož konci je stáří.[3] Také Zavázalová uvádí, že stárnutí je proces všeobecný (stárne celá populace) a zároveň individuální (stárne konkrétní jedinec)[4]
Stáří – (senium) toto období označuje pozdní fáze ontogeneze, přirozeného průběhu života. Je důsledkem a projevem geneticky podmíněných involučních procesů modifikovaných dalšími faktory (choroby, životní prostředí, způsob života).[5]
Stáří jako etapa lidského života je nejčastěji determinováno na základě vývojové psychologie. Obvykle se v odborné literatuře setkáváme s následujícím dělením stáří
Je však nutné poznamenat, že mnozí autoři zároveň dodávají, že o stáří zpravidla hovoříme až od věku 65 let. Dle českého statistického úřadu k 31.12.2013 dosáhlo zastoupení osob ve věku 65 a více let 17,4 %.[8]
Změny ve stáří – jednotlivé změny můžeme rozdělit do tří základních oblastí:
- Fyzické změny – Seniorský věk s sebou zpravidla přináší polymorbiditu (nemocnost či chudobnost). Objevují se choroby kardiovaskulárního systému, páteře, problémy se smyslovými receptory.[2] Lze sem zařadit poruchy s příjmem potravy, poruchy termoregulace, inkontinenci, hypomobilitu (omezená pohyblivost kloubů) a svalovou slabost.[3] Zhoršující se zdravotní stav se zcela přirozeně odráží i v nárůstu neaktivních seniorů. Do této kategorie patří i proměna vizuální – vrásky, šedivé vlasy, atd.[2]
- Psychické změny – V této oblasti je typický úbytek mozkové tkáně (cca o 10 – 15 %), což má za následek celkové zpomalení seniora. Ten potřebuje více času k vykonání nějakého úkolu. Senioři déle zpracovávají informace a prodlužuje se reakční doba. Mnohdy nastává u seniorů dobrovolná sociální izolace.[2] Do této kategorie patří také demence, deprese, delirium, poruchy chování, poruchy adaptace.[3]
- Socioekonomické a sociální změny – Mezi hlavní změnu patří odchod do důchodu a s tím spojený úbytek finančních zdrojů. V souvislosti s odchodem do důchodu se také omezuje kontakt s bývalými spolupracovníky. Senioři najednou mají spoustu volného času, který se musí naučit využívat.[2] Sociálními změnami v životě seniora mohou být i ztráta soběstačnosti, závislost na pomoci druhých, sociální izolace, týrání a zneužívání seniorů, atd.[9]

Senioři v České republice
Index stáří vyjadřuje, kolik v populaci připadá osob ve věku 65 a více let na 100 dětí ve věku 0-14 let. Vývoj indexu stáří od roku 2006 do roku 2013 má v České republice stoupající tendenci. To znamená, že se zvyšuje počet seniorů nad 65+ let oproti dětem do 14 let. Bývaly doby, kdy dětí bylo vždy více než seniorů, nyní od roku 2006 se poměr obrátil a přibývá seniorů. V roce 2006 byl index stáří 100,2, to znamená, že poměr seniorů a dětí byl téměř v rovnováze. Od té doby je v České republice více seniorů než dětí.[10]
Dle Českého statistického úřadu a jeho prognóz bude v roce 2050 s největší pravděpodobností nejvíce občanů ve věkové skupině 70 - 80 let. V současné době je nejpočetnější skupina obyvatel ve věku 30 - 40 let (viz obrázek 1).[3]
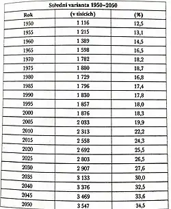
Z druhé tabulky lze vyčíst jaké bylo a jaké pravděpodobně bude procentuální zastoupení seniorů v České republice v následujících letech. V průběhu 100 let se počet seniorů zvýší o cca 2 400 tisíc. [3][8]
Senioři v Evropě
V anglicky psané literatuře se termín senior objevuje zřídka. Užívá se pojem „older people“, popř. „elderly“,…, pro danou věkovou skupinu byl Evropskou komisí navržen termín „zkušenější“.[1]

Z uvedeného grafu je patrné, že největší poměr seniorů má Itálie, tj. 21,4 % obyvatelstva. Naopak nejméně má Turecko, tj. 7,7 %.[8]
Reference
- ↑ a b c HAŠKOVCOVÁ, Helena. Sociální gerontologie, aneb senioři mezi námi. 1.. vyd. Praha: Galén, 2012. ISBN 978-80-7262-900-8.
- ↑ a b c d e f g ONDRÁKOVÁ, Jiřina. Vzdělávání seniorů a jeho specifika. 1.. vyd. Červený Kostelec: Pavel Mervart, 2012. ISBN 978-80-7465-038-3.
- ↑ a b c d e f g ONDRUŠOVÁ, Jana. Stáří a smysl života. 1.. vyd. Praha: Karolinum, 2011. ISBN 978-80-246-1997-2.
- ↑ ZAVAZALOVÁ, Helena. Vybrané kapitoly ze sociální gerontologie. 1.. vyd. Praha: Karolinum, 2001. ISBN 80-246-0326-8.
- ↑ MÜHLPACHR, Pavel. Gerontopedagogika. 1.. vyd. Brno: Masarykova univerzita, 2004. ISBN 80-210-3345-2.
- ↑ HAŠKOVCOVÁ, Helena. Fenomén stáří. 2. vyd. Praha: Havlíček Brain Team, 2010. ISBN 978-80-87109-19-9.
- ↑ SÝKOROVÁ, Dana. Autonomie ve stáří: kapitoly z gerontosociologie. 1.. vyd. Praha: Sociologické nakladatelství, 2007. ISBN 978-80-86429-62-5.
- ↑ a b c ČESKÝ STATISTIKÝ ÚŘAD. Senioři [online]. [cit. 2016-11-04]. Dostupné online.
- ↑ TOPINKOVÁ, Eva. Geriatrie pro praxi. 1.. vyd. Praha: Galén, 2005. ISBN 80-7262-365-6.
- ↑ ČESKÝ STATISTICKÝ ÚŘAD. Senioři [online]. [cit. 2016-11-04]. Dostupné online.[nedostupný zdroj]
Externí odkazy
Obrázky, zvuky či videa k tématu senior na Wikimedia Commons
Slovníkové heslo senior ve Wikislovníku