Pyramidální inverze
Pyramidální inverze je děj probíhající v pyramidálních molekulách, například amoniaku (NH3), kdy se prohodí atomy v těchto molekulách.[1][2]
Tento proces vyvolávají vibrace molekul a s nimi související oscilace atomů a substituentů, molekuly přitom procházejí přes planární trojúhelníkové meziprodukty.[3]
U chirálních sloučenin pyramidální inverze umožňuje racemizaci. K molekulám, u kterých probíhá pyramidální inverze, patří mimo jiné karboanionty, aminy, fosfiny, arsiny, stibiny, a sulfoxidy.[1]
Energetická bariéra

Na velikost energetické bariéry má největší vliv druh atomů účastnících se inverze. U amoniaku je tento děj za pokojové teploty rychlý, probíhá 3×1010krát za sekundu; vysokou rychlost způsobují nízká energetická bariéra (24,2 kJ/mol), malá šířka bariéry (odlišnost jednotlivých geometrií), a nízká hmotnost atomů vodíku, a navíc ještě 80násobné urychlování v důsledku kvantového tunelování.[4] Inverze fosfanu (PH3) je mnohem pomalejší, protože má výrazně vyšší aktivační energii (132 kJ/mol).[5] Terciární aminy (RR′R"N) jsou obvykle opticky nestálé (enantiomery se za pokojové teploty rychle racemizují), ale P-chirální fosfiny vykazují vyšší stabilitu.[6] Obdobně jsou stálé i vhodně substituované sulfoniové soli, sulfoxidy, a arsiny. Na energetickou bariéru mají vliv též sterické efekty.
Dusíková inverze
![]() | ||
|
⇌ |
|
| Inverze aminu Osa C3 u aminu je znázorněna svisle, tečky představují volný elektronový pár na dusíku, rovnoběžný s touto osou. Pokud se jednotlivé skupiny R navázané na dusík liší, tak je amin chirální; možnost izolace jednotlivých enantiomerů závisí na Gibbsově energii inverze dané molekuly. | ||
Pyramidální inverze u sloučenin dusíku, jako jsou aminy, se označuje jako dusíková inverze.[7] U těchto sloučenin vibrace dusíkových atomů a substituentů vyvolávají jejich „přesuny“ přes rovinu tvořenou substituenty (i substituenty se pohybují - v opačném směru);[8] přičemž molekuly přechodně získávají trigonální geometrii.[3]
Kvantové jevy
U amoniaku se kvantové tunelování projevuje v důsledku užší tunelovací bariéry, ne jako následek tepelné excitace.[9]
Příklady
Inverze u amoniaku byla objevena v roce 1934, a to s využitím mikrovlnné spektroskopie.[10]
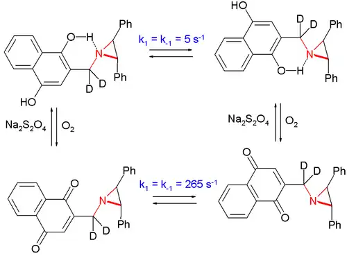
Inverzi aziridinu lze 50násobně zpomalit umístěním atomu dusíku vedle fenolové namísto hydrochinonové skupiny;[11] přeměnu lze provést oxidací kyslíkem a redukcí dithioničitanem sodným.

Výjimky
Konformační napětí a pevnost struktury mohou inverzi zabránit. U analogů Trögerových zásad,[12] jako je Hünlichova zásada,[13] vytváří atomy dusíku chirálně stálá stereocentra a vykazují tak významnou optickou otáčivost.[14]

Reference
V tomto článku byl použit překlad textu z článku Pyramidal inversion na anglické Wikipedii.
- ↑ a b Arvi Rauk; Leland C. Allen; Kurt Mislow. Pyramidal Inversion. Angewandte Chemie International Edition. 1970, s. 400–414. doi:10.1002/anie.197004001.
- ↑ The IUPAC Compendium of Chemical Terminology: The Gold Book. Příprava vydání Victor Gold. 4. vyd. Research Triangle Park, NC: International Union of Pure and Applied Chemistry (IUPAC) Dostupné online. doi:10.1351/goldbook.p04956. (anglicky) DOI: 10.1351/goldbook.
- ↑ a b J. M. Lehn. Nitrogen Inversion: Experiment and Theory. Fortschritte der chemischen Forschung. 1970, s. 311–377. doi:10.1007/BFb0050820.
- ↑ Arthur M. Halpern; B. R. Ramachandran; Eric D. Glendening. The Inversion Potential of Ammonia: An Intrinsic Reaction Coordinate Calculation for Student Investigation. Journal of Chemical Education. 2007, s. 1067. ISSN 0021-9584. doi:10.1021/ed084p1067.
- ↑ C. Kölmel; C. Ochsenfeld; R. Ahlrichs. An ab initio investigation of structure and inversion barrier of triisopropylamine and related amines and phosphines. Theoretical Chemistry Accounts. 1991, s. 271–284. doi:10.1007/BF01113258.
- ↑ Y. Xiao; Z. Sun; H. Guo; O. Kwon. Chiral Phosphines in Nucleophilic Organocatalysis. Beilstein Journal of Organic Chemistry. 2014, s. 2089-2121. Dostupné online. doi:10.3762/bjoc.10.218. PMID 25246969.
- ↑ Dulal C. Ghosh; Jibanananda Jana; Raka Biswas. Quantum chemical study of the umbrella inversion of the ammonia molecule. International Journal of Quantum Chemistry. 2000, s. 1–26. Dostupné online. ISSN 1097-461X. doi:10.1002/1097-461X(2000)80:1<1::AID-QUA1>3.0.CO;2-D.
- ↑ GREENWOOD. Chemistry of the Elements. [s.l.]: Elsevier Science & Technology Books Dostupné online. ISBN 978-0-08-037941-8. S. 423. (anglicky)
- ↑ FEYNMAN, Richard Phillips; LEIGHTON, Robert B.; SANDS, Matthew Linzee. The Feynman Lectures on Physics. [s.l.]: Addison-Wesley 402 s. Dostupné online. ISBN 978-0-201-02118-9. (anglicky)
- ↑ C. E. Cleeton; N. H. Williams. Electromagnetic waves of 1.1 cm wave-length and the absorption spectrum of ammonia. Physical Review. 1934, s. 234–237. doi:10.1103/PhysRev.45.234. Bibcode 1934PhRv...45..234C.
- ↑ DAVIES, Mark W.; SHIPMAN, Michael; TUCKER, James H. R. Control of Pyramidal Inversion Rates by Redox Switching. Journal of the American Chemical Society. 2006-11-01, roč. 128, čís. 44, s. 14260–14261. Dostupné online [cit. 2024-02-15]. ISSN 0002-7863. doi:10.1021/ja065325f. (anglicky)
- ↑ M. Rostami, et al. Design and synthesis of Ʌ-shaped photoswitchable compounds employing Tröger's base scaffold. Synthesis. 2017, s. 1214–1222. doi:10.1055/s-0036-1588913.
- ↑ M. Kazem, et al. Facile preparation of Λ-shaped building blocks: Hünlich base derivatization. Synlett. 2017, s. 1641–1645. doi:10.1055/s-0036-1588180.
- ↑ a b M. Rostami; M. Kazem. Optically active and photoswitchable Tröger's base analogs. New Journal of Chemistry. 2019, s. 7751–7755. doi:10.1039/C9NJ01372E.


