Prinsova reakce
Prinsova reakce je elektrofilní adice aldehydu nebo ketonu na alken nebo alkyn následovaná navázáním nukleofilu nebo odštěpením iontu H+.[1][2][3]
Výsledek závisí na reakčních podmínkách. Při použití vody, protické kyseliny, například kyseliny sírové, a formaldehydu, se vytváří 1,3-diol (3). Za nepřítomnosti vody kationtový meziprodukt odštěpuje proton a vytváří derivát allylalkoholu (4). Nadbytek formaldehydu a nižší teplota vedou k dioxanu (5). Nahrazení vody kyselinou octovou vede k odpovídajícímu esteru.

Historie
Původními reaktanty, které použil nizozemský chemik Hendrik Jacobus Prins ve své práci z roku 1919, byly styren, pinen, kamfen, eugenol, isosafrol a anetol.[4]

Hendrik Jacobus Prins objevil během svého doktorského výzkumu v letech 1911–1912 dvě nové reakce. První z nich byla adice polyhalogenovaných sloučenin na alkeny a druhou kysele katalyzovaná adice aldehydů na alkeny. Větší počet studií se na Prinsovu reakci zaměřoval od roku 1937. Objev krakování ropy v roce 1937 způsobil nárůst množství vyrobených nenasycených uhlovodíků, což vedlo k většímu zájmu o zkoumání adičních reakcí aldehydů (získaných oxidacemi nízkovroucích alkanů) s alkeny. Prinsova reakce se ukázala jako dobrý způsob vytváření vazeb C-O a C-C.[5]
V roce 1937 byla tato reakce zkoumána pro možné využití během výroby syntetického kaučuku z dienů.

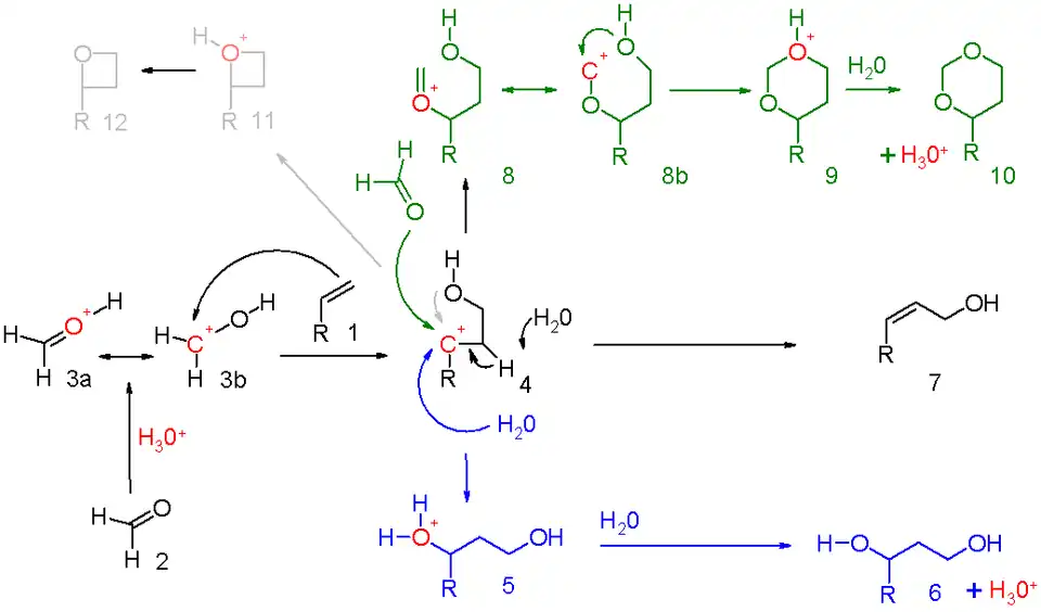
Mechanismus
Mechanismus této reakce je znázorněn na následujícím obrázku. Karbonylový reaktant (2) je protonován kyselinou za vzniku oxoniového iontu (3), který vytváří dvě rezonanční struktury. Tento elektrofil se zapojuje do elektrofilní adiční reakce s alkenem za tvorby karbokationtového meziproduktu (4). Na reakci mívá vliv kyslík sousední hydroxylové skupiny. Reakce jako celek je z velké části soustředěná.

Vzniklý oxokarbeniový ion může reagovat jedním z těchto způsobů:
- modře: záchyt karbokationtu molekulou vody nebo jiným vhodným nukleofilem za vzniku meziproduktu 5, přeměňujícího se na 1,3-adukt 6.
- černě: eliminační odštěpení protonu za tvorby nenasycené sloučeniny 7. Pokud je na alken navázána methylenová skupina, pak může současně s eliminací a adicí proběhnout přenos allylového protonu na karbonyl a nastává tak enová reakce.

- zeleně: záchyt karbokationtu další karbonylovou sloučeninou. V tomto případě je kladný náboj v rezonančních strukturách 8a a 8b rozprostřen na kyslíku a uhlíku. Následně dojde k uzavření kruhu (přes meziprodukt 9) a vznikne dioxan 10; příkladem takovéto reakce může být přeměna styrenu na 4-fenyl-m-dioxan.[6]
- šedě: v některých případech, pokud je karbokation dostatečně stálý, může reakce proběhnout „zkratkou“ a vytvořit oxetan 12.
Obměny
Bylo vyvinuto mnoho obměn Prinsovy reakce, jelikož se jedná o snadný způsob cyklizace a také z toho důvodu, že oxokarbeniové ionty mohou reagovat s velkým počtem různých nukleofilů.
Jednou z možností je halo-Prinsova reakce, kde se protické kyseliny a voda nahrazují Lewisovými kyselinami, jako je chlorid cíničitý nebo bromid boritý. Jako nukleofil, reagující s karbokationtem, zde slouží halogen. Cyklizace některých allylpulegonů za přítomnosti chloridu titaničitého, prováděné v dichlormethanu za teploty −78 °C, vytvářejí deriváty dekahydronaftalenu obsahující hydroxylové a chlorové skupiny, přičemž jsou tyto vzájemně převážně (z 91 %) v poloze cis.[7] Cis-diastereoselektivitu vyvolává tvorba trichlortitaničitého alkoxidu, usnadňující přesun chloru na karbokation do této polohy. Převahy trans-izomeru lze dosáhnout použitím chloridu cíničitého a provedením reakce za pokojové teploty.

Další popsanou variantou je kaskáda Prinsovy reakce a pinakolového přesmyku. Karbonylová skupina reaktantu je chráněna jako dimethyl-acetal a hydroxyl jako triisopropylsilylether. Za přítomnosti chloridu cíničitého je oxoniový ion aktivován a pinakolový přesmyk produktu Prinsovy reakce způsobí zmenšení kruhu vznik aldehydové skupiny, přičemž produkt je směsí cis- a trans-izomerů s mírnou diastereoselektivitou.

Oxokarbeniový meziprodukt lze vytvořit i jinými způsoby než jednoduchou protonací karbonylu. V jednom z kroků syntézy exiguolidu byl získán protonací vinylogního esteru:[8]


Odkazy
Reference
V tomto článku byl použit překlad textu z článku Prins reaction na anglické Wikipedii.
- ↑ Condensation of formaldehyde with some unsaturated compounds H. J. Prins, Chemisch Weekblad, 16, 64, 1072, 1510 1919
- ↑ Chemical Abstracts 13, 3155, 1919
- ↑ E. Arundale; L. A. Mikeska. The Olefin-Aldehyde Condensation. The Prins Reaction. Chemical Reviews. 1952, s. 505–555. doi:10.1021/cr60160a004.
- ↑ R. L. Shriner; Philip R. Ruby. 4-Phenyl-m-Dioxane. Organic Syntheses. 1953, s. 72. doi:10.15227/orgsyn.033.0072.
- ↑ Vijaykumar S. Marakatti. Design of solid acid catalysts for prins reaction and toluene methylation. INFLIBNET. 2015. Dostupné online.
- ↑ 4-Phenyl-m-dioxane R. L. Shriner and Philip R. Ruby Organic Syntheses, Coll. Vol. 4, p.786 (1963); Vol. 33, p.72 (1953). [1]
- ↑ R. Brandon Miles; Chad E. Davis; Robert M. Coates. Syn- and Anti-Selective Prins Cyclizations of δ,ε-Unsaturated Ketones to 1,3-Halohydrins with Lewis Acids. The Journal of Organic Chemistry. 2006. doi:10.1021/jo052142n. PMID 16468798.
- ↑ Min Sang Kwon; Sang Kook Woo; Seong Wook Na; Eun Lee. Total Synthesis of (+)-Exiguolide. Angewandte Chemie International Edition. 2008. doi:10.1002/anie.200705018. PMID 18214872.
Související články
Externí odkazy
Obrázky, zvuky či videa k tématu Prinsova reakce na Wikimedia Commons