Potenční množina

Potenční množina množiny (značí se nebo též ), podle některých autorů též booleán [1], je taková množina, která obsahuje všechny podmnožiny množiny .
Formálně vyplývá existence potenční množiny k libovolné množině z axiomu potenční množiny.
Každá podmnožina potenční množiny se nazývá systém množin na množině X.
Příklad
Vlastnosti
Každá potenční množina obsahuje jako svůj prvek prázdnou množinu, tj.
Potenční množina množiny obsahuje jako svůj prvek, tj.
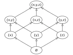
Na potenční množině je přirozeným způsobem definováno uspořádání pomocí relace „být podmnožinou“ . Toto uspořádání není lineární - například množiny a z předchozího příkladu jsou neporovnatelné. Potenční množina spolu s tímto uspořádáním tvoří strukturu nazývanou potenční algebra, která má řadu zajímavých vlastností - jedná se například o úplný svaz.
Mohutnost potenční množiny
- Pokud je konečná množina a její mohutnost je , pak mohutnost její potenční množiny je . To lze odvodit například takto. Nechť množina . Potenční množina množiny je množina, pro kterou očividně platí rekurentní vztah . S použitím matematické indukce lze dojít k závěru, že spojujeme dvě stejně mohutné množiny, tj. mohutnost nové potenční množiny je .
- Pro nekonečné množiny platí podle Cantorovy věty, že mohutnost je ostře větší, než mohutnost . Z toho mimo jiné vyplývá, že škála mohutností nekonečných množin je nekonečná, protože mohutnost je ostře větší, než mohutnost atd.
Potenční množiny v modelech teorie množin
Axiom teorie množin vyžaduje, aby soubor podmnožin nějaké množiny byl množinou, protože ale model nemusí obsahovat všechny možné podmnožiny, liší se v různých modelech i potenční množina nějaké množiny, a to i velikostí, a dokonce mohou mít při pohledu zvenku stejnou mohutnost (v modelu platí podle Cantorovy věty , což ovšem pouze znamená, že uvnitř modelu neexistuje mezi oběma množinami bijekce, tj. zmíněná bijekce není součástí uvažovaného modelu). Příkladem takového „omezeného“ modelu je Gödelova konstrukce konstruovatelných množin.
Odkazy
Reference
- ↑ kolektiv autorů. Aplikovaná matematika. Praha: SNTL, 1978. 2386 s. (Oborové encyklopedie SNTL). S. 1957.
Související články
Externí odkazy
Obrázky, zvuky či videa k tématu potenční množina na Wikimedia Commons