Polymerizace s přenosem katalyzátoru
Polymerizace s přenosem katalyzátoru (také se používá označení polykondenzace s přenosem katalyzátoru) je druh živé řetězcové polymerizace používaný na přípravu konjugovaných polymerů.[1] Od ostatních postupů se liší nízkou polydispezitou a ovladatelností středních molárních hmotností vzniklých polymerů. Tímto způsobem lze zpracovat jen malý počet monomerů.[2]
Historie
První polymerizace s přenosem katalyzátoru byly popsány v roce 2004,[3][4] když bylo zjištěno, že lze získat polythiofen s nízkou disperzitou a s řízenými molekulovými hmotnostmi. Výzkum mechanismu tohoto procesu poté umožnil jeho rozšíření na další monomery. Tímto způsobem lze připravit poměrně malý počet polymerů, většina konjugovaných polymerů se tak vytváří postupnou polymerizací katalyzovanou sloučeninami palladia.
Vlastnosti
Polymerizací s přenosem katalyzátoru lze konjugované polymery připravit pouze z arenových monomerů. K určení koncových skupin a zjištění, zda reakce probíhala řetězcově, lze použít hmotnostní spektrometrii.
Druhy
Polymerizace s přenosem katalyzátoru lze provádět s hořečnatými (poté dochází ke Kumadovým párováním), zinečnatými (pak se jedná o Negišiova párování), boritými (Suzukiova) a cínovými (Stilleova reakce) transmetalujícími skupinami.
Mechanismus
Živý průběh polymerizací s přenosem katalyzátoru lze vysvětlit vznikem π-komplexu, ale i reaktivitou polymeru.
Iniciace

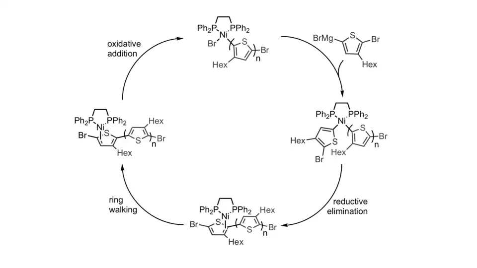
Iniciace, nikelnatým nebo palladnatým komplexem, spočívá v transmetalaci monomerů na kov za vzniku komplexu, který poté prochází redukční eliminací. Produkt této eliminace se označuje jako π-komplex, protože je v něm katalyzátor navázán na π-systém monomeru. Katalyzátor se následně může izomerizovat na jiný π-komplex s vazbou π- vedle vazby C-X na konci řetězce, čímž je umožněna oxidační adice. Produktem této adice je aktivní halogenid soustavy polymer-kovII, který může v propagační reakci reagovat s monomery.[2]
Propagace

Propagace je tvořená cyklem skládajícím se z transmetalace, redukční eliminace, izomerizace, a oxidační adice. Vznik π-komplexu dovoluje živý průběh reakce a znemožňuje oddělení katalyzátoru od polymerního řetězce; množství polymerních řetězců na konci polymerizace by tak mělo být rovné počtu molekul katalyzátoru v roztoku, a střední hodnota stupně polymerizace by se měla rovnat poměru počtu použitých molekul monomeru a molekul katalyzátoru.[2]
Terminace
Polymerizace s přenosem katalyzátoru bývají živé, takže katalyzátor disponuje reaktivním koncem po celou dobu reakce, k její terminaci je tak třeba přidat činidlo, například silnou kyselinu, která protonuje polymer, nebo nukleofil.
Pokud je vazba v π-komplexu příliš slabá, tak může terminace nastat i před přidáním činidla, což pak sníží molekulovou hmotnost polymeru. Výzkum se zaměřuje mimo jiné na hledání katalyzátorů, které vytvářejí s polymery silné π-komplexy a reakce tak zůstává živou.
Analýza
Výsledky polymerizací s přenosem katalyzátoru se obvykle zkoumají gelovou chromatografií, MALDI, nebo NMR. Gelovou chromatografií lze určit střední molekulovou hmotnost, MALDI a NMR se používají k určení koncových skupin řetězců.
Reaktivita polymeru a π-komplexu
Řetězcový průběh této reakce lze popsat i bez π-komplexu polymeru a katalyzátoru. Pokud by nevznikal žádný π-komplex a místo toho by se postupně navazovaly monomery na polymer, tak by se polymer stával reaktivnějším, největší polymery by byly nejreaktivnější a přednostně by reagovaly s monomery.[5]
Přítomnost tohoto mechanismu a mechanismu obsahujícího a π-komplex lze zkoumat hmotnostní spektrometrií prostřednictvím koncových skupin.[6]
Polymery vytvořitelné pomocí polymerizace s přenosem katalyzátoru
K polymerům, které je možné vytvořit s využitím polymerizace s přenosem katalyzátoru, patří:[7]
- Polythiofen
- Poly(p-fenylen)
- Polyselenofen
- Polytellurofen
- Polythiazol
- Polybenzothiadiazol
- Polypyrrol
- Polyfluoren
Reference
V tomto článku byl použit překlad textu z článku Catalyst transfer polymerization na anglické Wikipedii.
- ↑ Tsutomu Yokozawa; Yoshihiro Ohta. Transformation of Step-Growth Polymerization into Living Chain-Growth Polymerization. Chemical Reviews. 2016, s. 1950–1968. doi:10.1021/acs.chemrev.5b00393. PMID 26555044.
- ↑ a b c Zachary J. Bryan; Anne J. McNeil. Conjugated Polymer Synthesis via Catalyst-Transfer Polycondensation (CTP): Mechanism, Scope, and Applications. Macromolecules. 2013, s. 8395–8405. doi:10.1021/ma401314x.
- ↑ A. Yokoyama; R. Miyakoshi; T. Yokozawa. Chain-Growth Polymerization for Poly(3-hexylthiophene) with a Defined Molecular Weight and a Low Polydispersity. Macromolecules. 2004, s. 1169–1171. doi:10.1021/ma035396o.
- ↑ Elena E. Sheina; Jinsong Liu; Mihaela Corina Iovu; Darin W. Laird; Richard D. McCullough. Chain Growth Mechanism for Regioregular Nickel-Initiated Cross-Coupling Polymerizations. Macromolecules. 2004, s. 3526–3528. doi:10.1021/ma0357063.
- ↑ Zachary J. Bryan; Ariana O. Hall; Carolyn T. Zhao; Jing Chen; Anne J. McNeil. Limitations of Using Small Molecules to Identify Catalyst-Transfer Polycondensation Reactions. ACS Macro Letters. 2016, s. 74–77. doi:10.1021/acsmacrolett.5b00746.
- ↑ Kendra D. Souther, Amanda K. Leone, Andrew K. Vitek, Edmund F. Palermo, Anne M. LaPointe, Geoffrey W. Coates, Paul M. Zimmerman, Anne J. McNeil. Trials and Tribulations of Designing Multitasking Catalysts for Olefin/Thiophene Block Copolymerizations. Journal of Polymer Science Part A: Polymer Chemistry. 2017, s. 132–137. doi:10.1002/pola.28885.
- ↑ Amanda K. Leone; Anne J. McNeil. Matchmaking in Catalyst-Transfer Polycondensation: Optimizing Catalysts based on Mechanistic Insight. Accounts of Chemical Research. 2016, s. 2822–2831. doi:10.1021/acs.accounts.6b00488. PMID 27936580.
Externí odkazy
Obrázky, zvuky či videa k tématu Polymerizace s přenosem katalyzátoru na Wikimedia Commons