Polybutylensukcinát
| Polybutylensukcinát | |
|---|---|
![]() Strukturní vzorec | |
| Obecné | |
| Sumární vzorec | (C8H12O4)n |
| Identifikace | |
| Registrační číslo CAS | 25777-14-4 |
| Vlastnosti | |
| Molární hmotnost | 208,094 688 232 Da |
| Teplota tání | 115 °C (388 K) |
| Hustota | 1,26 g/cm3 |
Některá data mohou pocházet z datové položky. | |
Polybutylensukcinát (zkráceně PBS) je polymer patřící mezi termoplasty, ze skupiny polyesterů. PBS je biologicky rozložitelný a vlastnostmi se podobá polypropylenu.
PBS se skládá z butylensukciátových (C8H12O4) jednotek.
Historie

.png)
První polyester založený na kyselině jantarové byl vytvořen v roce 1863, kdy Agostinho Vicente Lourenço popsal reakci kyseliny jantarové s ethylenglykolem za vzniku sloučeniny, kterou označil jako kyselinu „jantaro-ethylenovou“. Zjistil, že tato látka za vysokých teplot (nad 300 °C) odštěpuje vodu a po ochlazení vzniká krystalická hmota.[1] Strukturu produktu ovšem dále nezkoumal.
Později (1886 a 1894) byl dvěma různými postupy získán tentýž produkt.[2]
Ve 30. letech 20. století provedl Wallace Carothers podrobný průzkum polyesterů kyseliny jantarové, za účelem nalezení syntetické náhrady hedvábí. Odstraňováním vody průběžnou destilací získal polymery s mnohem vyššími molekulovými hmotnostmi, než se podařilo vytvářet dříve;[3] vlastnosti produktů ale neodpovídaly očekáváním, Carothers se tak zaměřil na polyamidy a s Julianem Hillem objevil nylon 6,6.
Roku 1946 byla objevena vylepšená příprava alifatických polyesterů využívající chloridy kyselin.
Zájem o polysukcináty vzrostl v 90. letech 20. století se zájmem o biologicky rozložitelné polymery.
Výroba
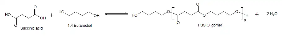
Podobně jako ostatní polyestery, například polyethylentereftalát, se PBS dá vyrobit dvěma hlavními způsoby: transesterifikací (z diesterů kyseliny jantarové) a přímou esterifikací. Nejčastější je přímá esterifikace kyseliny jantarové butan-1,4-diolem, skládající se ze dvou kroků: Nejprve je nadbytek diolu esterifikován kyselinou za vzniku oligomerů a odštěpení vody.
Tyto oligomery se následně za nízkého tlaku transesterifikují a vytvářejí polymer s vysokou molekulovou hmotností. Při druhém kroku se používají katalyzátory, ty mohou být založeny na titanu, zirkoniu, cínu nebo germaniu.[4]
V průmyslu
Vylepšení syntézy PBS umožnilo jeho výrobu ve velkém měřítku. Japonská firma Showa High Polymer postavila v roce 1993 továrnu schopnou vyrobit 3 000 tun PBS ročně.[5] Výrobní proces spočívá v polykondenzaci v kapalné fázi, po níž následuje prodloužení řetězce pomocí diisokyanátu.[6] V roce 2003 byla uvedena do provozu továrna společnosti Mitsubishi Chemicals, v níž bylo možné ročně vyrobit 3 000 tun PBS, který dosahoval vysokých molekulových hmotností bez použití činidla prodlužujícího řetězec. Poté se objevilo několik dalších výrobců PBS. Roku 2010 se objevil první čínský výrobce PBS, s roční kapacitou 10 000 tun. V témže roce byla také uvedena do provozu továrna schopná vyrobit 20 000 tun za rok.
Většina polyalkylensukcinátů se vyrábí z ropných surovin; mnozí výrobci se ale snaží vyvinout biologické způsoby výroby kyseliny jantarové. Showa Denko v roce 2016 ukončila výrobu PBS založenou na ropě.[7]
Biologická rozložitelnost
Bakterie rodu Amycolatopsis a houby Penicillium mohou PBS rozkládat. Microbispora rosea, Excellospora japonica a E. viridilutea mohou jako zdroj energie využít emulgovaný PBS.[8]
Použití
Jelikož se PBS přirozeně rozkládá na vodu a oxid uhličitý,[5] tak může být biologicky rozložitelnou náhradou některých běžných plastů; neustále jsou objevovány nové možnosti použití PBS. PBS může být materiálem na obaly potravin i kosmetiky. Využit může být také na výrobu nádobí nebo lékařských nástrojů. V zemědělství se dá využít u pesticidů a hnojiv. PBS je také využitelný v rybářství (jako materiál na rybářské sítě) a lesnictví a v jiných oblastech, kde se obtížně recyklují použité materiály.[5] V lékařství může sloužit například jako rozložitelný obal kapslí.[9]
Reference
V tomto článku byl použit překlad textu z článku Polybutylene succinate na anglické Wikipedii.
- ↑ A. V. Lourenço. Recherches sur les composés polyatomiques. Annales de chimie et de physique. 1863.
- ↑ O. Davidoff. Ein Fall der Bildung von Bernsteinsäureäthylester. Berichte der Deutschen Chemischen Gesellschaft. 1886. doi:10.1002/cber.18860190196.
- ↑ W. H. Carothers. Studies on polymerization and ring formation II. Poly-esters. Journal of the American Chemical Society. 1929. doi:10.1021/ja01383a042.
- ↑ N. Jacquel. Synthesis and properties of poly (butylene succinate): Efficiency of different transesterification catalysts. Journal of Polymer Science Part A: Polymer Chemistry. 2011, s. 5301–5312. doi:10.1002/pola.25009. Bibcode 2011JPoSA..49.5301J.
- ↑ a b c J. Xu. Microbial Succinic acid, its polymer poly(butylene succinate), and applications. Plastics from Bacteria. 2010, s. 347–388. ISBN 978-3-642-03286-8. doi:10.1007/978-3-642-03287-5_14.
- ↑ T. Fujimaki. Processability and properties of aliphatic polyesters, 'BIONOLLE', synthesized by polycondensation reaction. Polymer Degradation and Stability. 1998, s. 209–214. doi:10.1016/s0141-3910(97)00220-6.
- ↑ SDK to Terminate Production and Sale of Biodegradable Plastic News Releases SHOWA DENKO K.K. [online]. [cit. 2017-04-26]. Dostupné v archivu pořízeném dne 2021-08-01.
- ↑ Yutaka Tokiwa; Buenaventurada P. Calabia; Charles U. Ugwu; Seiichi Aiba. Biodegradability of Plastics. International Journal of Molecular Sciences. 2009, s. 3722–3742. doi:10.3390/ijms10093722. PMID 19865515.
- ↑ C. T. Brunner. Performance of biodegradable microcapsules of poly(butylene succinate), poly(butylene succinate-co-adipate)and poly(butylene terephthalate-co-adipate) as drug encapsulation systems. Colloids and Surfaces B:Biointerfaces. 2011, s. 498–507. doi:10.1016/j.colsurfb.2011.02.005. PMID 21376545.
