Pektin

Pektin je lineární polysacharid kyseliny galakturonové, jejího esteru a její vápenato–hořečnaté soli, jenž se podílí na stavbě některých rostlinných pletiv.
Dělení
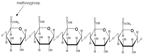
Pektinů existuje mnoho druhů. Vlastní pektiny jsou lineární makromolekulární koloidy složené z molekul kyseliny D-galaktouronové. Dále se podle stupně esterifikace této kyseliny dělí na:
- Neutrální pektiny – mají všechny skupiny esterifikovány methanolem.
- Pektinové kyseliny – esterifikace je nulová.
Vlastnosti
Pektiny jsou buď nerozpustné ve vodě (tzv. protopektiny), nebo účinkem kyselin či protopektináz i rozpustné. Jsou schopné na sebe vázat vodu, čímž se výrazně podílí na hospodaření buněk s vodou. Mají význam při zrání ovoce – měknutí plodů je způsobeno právě přeměnou nerozpustných pektinů na rozpustné. Stejný proces se uplatňuje i při opadávání listů a plodů či v průmyslu při máčení lnu.[1]
V průmyslu je to hojně používaný silný želírovací prostředek, který se získává ze slupek citrusových plodů a poté je upraven cukry a solemi. Je určen především pro cukrářskou výrobu. (např.: k výrobě želatin, bonbónů, marmelád). Používá se jako zahušťovadlo. Pektiny hrají významnou roli také při zavařování – výrobě různých džemů a marmelád (obvykle 10 g/1 kg ovoce). Čím více pektinů ovoce má, tím lépe nám daný džem zhoustne. Obecně platí, že čím je ovoce zralejší, tím obsahuje pektinů méně a naopak. Množství pektinů se také liší v jednotlivých druzích ovoce, některé jej mají přirozeně více a jiná méně. Mezi ovoce s vysokým podílem pektinů patří citrusové plody, jablka, rybíz. Naopak málo pektinů obsahují např. třešně, kiwi nebo ananas.[2]
Výskyt
Pektin se vyskytuje v buněčné šťávě ovocných plodů, v hlízách, lodyhách, ale i ve střední lamele buněčné stěny.[1]
Reference
Externí odkazy
Obrázky, zvuky či videa k tématu pektin na Wikimedia Commons