Passeriniova reakce
Passeriniova reakce je organická reakce, při níž z isokyanidu, aldehydu nebo ketonu a karboxylové kyseliny vzniká α-acyloxyamid.[1][2][3]

Tuto reakci objevil roku 1921 Mario Passerini. Jedná se o první známou vícesložkovou reakci isokyanidů, která má navíc velký význam v kombinační chemii.[4]
Později byl vyvinut enantioselektivní katalyzátor Passeriniovy reakce, což umožnilo provádět ji enantioselektivně.[5]
Mechanismus
Byly navrženy dva různé mechanismy Passeriniovy reakce.
Iontový mechanismus
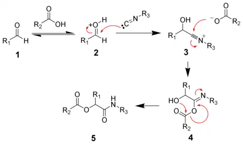
V polárních rozpouštědlech, jako jsou voda a methanol, reakce začíná protonací karbonylové skupiny, po níž následuje nukleofilní adice isokyanidu za vzniku nitriliového iontu 3. Poté adicí karboxylátu vznikne meziprodukt 4. Přenosem acylové skupiny a tautomerizací amidu se vytvoří konečný produkt 5.

Soustředěný mechanismus
V nepoolárních rozpouštědlech a při vysokých koncentracích probíhá Passeriniova reakce pravděpodobně soustředěným mechanismem.[6]

Při tomto mechanismu proběhne trimolekulární reakce isokyanidu (R–NC), karboxylové kyseliny a karbonylové sloučeniny jako řada nukleofilních adicí; meziprodukt TS# je pětičlenný cyklus s částečnou kovalentní jednoduchou či dvojnou vazbou. Následně dojde k přesunu acylu na sousední hydroxyl. Reakční kinetika je zde ovlivňována všemi třemi reaktanty.
Význam
Passeriniova reakce je součástí mnoha vícesložkových reakcí, příkladem může být syntéza depsipeptidů pomocí Hornerovy–Wadsworthovy–Emmonsovy reakce,[7]

a také k výrobě polymerů z obnovitelných materiálů.[8]
Reference
V tomto článku byl použit překlad textu z článku Passerini reaction na anglické Wikipedii.
- ↑ Passerini, M.; Simone, L. Gazz. Chim. Ital. 1921, 51, 126–29.
- ↑ Passerini, M.; Ragni, G. Gazz. Chim. Ital. 1931, 61, 964–69.
- ↑ L. Banfi; R. Riva. The Passerini Reaction. Organic Reactions. 2005, s. 1–140. ISBN 978-0471264187. doi:10.1002/0471264180.or065.01.
- ↑ Dömling, A.; Ugi, I. Angew. Chem. Int. Ed. Engl. 2000, 39, 3168–3210. (Review)
- ↑ Denmark, S. E.; Fan, Y. The Journal of Organic Chemistry 2005, 70, 9667–76. doi:10.1021/jo050549m
- ↑ The Passirini Reaction L. Banfi, R.Riva in Organic Reactions vol. 65 L.E. Overman Ed. Wiley 2005 ISBN 0-471-68260-8
- ↑ A Flexible Six-Component Reaction To Access Constrained Depsipeptides Based on a Dihydropyridinone Core Monica Paravidino, Rachel Scheffelaar, Rob F. Schmitz, Frans J. J. de Kanter, Marinus B. Groen, Eelco Ruijter, and Romano V. A. Orru The Journal of Organic Chemistry 2007, 72, 10239–42 doi:10.1021/jo701978v
- ↑ Kreye, O.; Tóth, T.; Meier, M. J. Am. Chem. Soc., 2011, 133 (6), pp 1790–1792 [1] doi:10.1021/ja1113003
Externí odkazy
Obrázky, zvuky či videa k tématu Passeriniova reakce na Wikimedia Commons