Paraldehyd
| Paraldehyd | |
|---|---|
![]() Strukturní vzorec paraldehydu | |
| Obecné | |
| Systematický název | 2,4,6-trimethyl-1,3,5-trioxan |
| Triviální název | paraldehyd |
| Anglický název | Paraldehyde |
| Německý název | Paraldehyd |
| Sumární vzorec | C6H12O3 |
| Vzhled | bezbarvá kapalina |
| Identifikace | |
| Registrační číslo CAS | 123-63-7 |
| EC-no (EINECS/ELINCS/NLP) | 204-639-8 |
| Indexové číslo | 605-004-00-1 |
| SMILES | CC1OC(C)OC(C)O1 |
| InChI | InChI=1/C6H12O3/c1-4-7-5(2)9-6(3)8-4/h4-6H,1-3H3 |
| Vlastnosti | |
| Molární hmotnost | 132,16 g/mol |
| Teplota tání | 12 °C |
| Teplota varu | 124 °C |
| Bezpečnost | |
![]() GHS02 Varování[1] | |
| R-věty | R10 |
| S-věty | (S2) S29 |
Některá data mohou pocházet z datové položky. | |
Paraldehyd (systematický název 2,4,6-trimethyl-1,3,5-trioxan) je cyklický trimer acetaldehydových molekul. Formálně se jedná o derivát 1,3,5-trioxanu. Příslušným tetramerem je metaldehyd. Paraldehyd je bezbarvá kapalina, špatně rozpustná ve vodě, dobře v ethanolu. Na vzduchu pomalu oxiduje, hnědne a páchne po kyselině octové. Silně reaguje s většinou plastů a pryží.
Paraldehyd byl poprvé syntetizován Wildenbuschem v roce 1829.[2] Používá se v průmyslu a v lékařství.
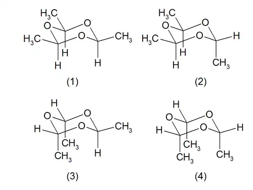
Stereochemie
Teoreticky jsou možné čtyři stereoizomery. Struktury (1) a (2) jsou známy jako cis- a trans-paraldehyd. Struktury (3) a (4) z prostorových důvodů neexistují.[3][4]
Reakce
Při zahřívání s katalytickým množstvím kyseliny paraldehyd depolymerizuje zpět na acetaldehyd:[5][6]
- C6H12O3 → 3CH3CHO
Protože se s paraldehydem lépe zachází, lze ho použít nepřímo či přímo jako syntetický ekvivalent bezvodého acetaldehydu (bod varu 20 °C). Například se dá použít přímo v původní podobě pro syntézu bromalu (tribromacetaldehydu):[7]
- C6H12O3 + 9 Br2 → 3 CBr3CHO + 9 HBr
Použití v lékařství
Paraldehyd byl zaveden do klinické praxe ve Velké Británii italským lékařem Vincenzem Cervellem v roce 1882.[2]
Má tlumivé účinky na CNS a byl brzy shledán jako účinné antikonvulzivum, hypnotikum a sedativum. Stal se součástí některých expektorancií, přestože není znám mechanismus účinku, kromě placebo efektu.
Paraldehyd byl poslední injekcí podanou Edith Alice Morrell v roce 1950 Johnem Bodkinem Adamsem, podezřelým ze sériových vražd. Byl za její vraždu souzen, nicméně osvobozen.
Hypnotikum/sedativum
Paraldehyd se běžně používal k vyvolání spánku u osob trpících deliriem tremens, byl však pro tyto účely nahrazen jinými léčivy. Je jedním z nejbezpečnějších hypnotik a do 60. let 20. století se normálně podával večer v psychiatrických a geriatrických léčebnách. Až 30 % dávky se vyloučí plícemi, zbytek je metabolizován v játrech. To přispívá k silnému nepříjemnému zápachu dechu.
Antikonvulzivum
Paraldehyd se používá při léčbě křečí.[8] V dnešní době se s ním někdy léčí status epilepticus. Na rozdíl od diazepamu a jiných benzodiazepinů v terapeutických dávkách nepotlačuje dýchání a je proto bezpečnější, pokud nejsou k dispozici prostředky k resuscitaci nebo pokud je už pacientovo dýchání zhoršeno.[9] To z něj činí užitečné nouzové léčivo pro rodiče a jiné osoby pečující o děti s epilepsií. Protože rozdíl mezi antikonvulzivní a hypnotickou dávkou je malý, léčba paraldehydem obvykle vyvolává spánek.
Reference
V tomto článku byl použit překlad textu z článku Paraldehyde na anglické Wikipedii.
- ↑ a b Paraldehyde. pubchem.ncbi.nlm.nih.gov [online]. PubChem [cit. 2021-05-23]. Dostupné online. (anglicky)
- ↑ a b López-Muñoz F, Ucha-Udabe R, Alamo C. The history of barbiturates a century after their clinical introduction. Neuropsychiatric disease and treatment. December 2005, roč. 1, čís. 4, s. 329–43. PMID 18568113.
- ↑ Kewley, R.: Microwave spectrum of paraldehyde in Can. J. Chem. 48 (1970), 852–855
- ↑ Carpenter, D.C., Brockway, L.O.: The Electron Diffration Study of Paraldehyde in J. Amer. Chem. Soc. 58 (1936), 1270–1273
- ↑ Kendall, E. C.; McKenzie, B. F. dl-Alanine. Org. Synth.. 1941.
- ↑ Nathan L. Drake and Giles B. Cooke. Methyl isopropyl carbinol. Org. Synth.. 1943.
- ↑ F. A. Long and J. W. Howard. Bromal. Org. Synth.. 1848. Dostupné online.
- ↑ Townend W, Mackway-Jones K. Towards evidence based emergency medicine: best BETs from the Manchester Royal Infirmary. Phenytoin or paraldehyde as the second drug for convulsions in children. Emergency medicine journal : EMJ. January 2002, roč. 19, čís. 1, s. 50. doi:10.1136/emj.19.1.50. PMID 11777879.
- ↑ Norris E, Marzouk O, Nunn A, McIntyre J, Choonara I. Respiratory depression in children receiving diazepam for acute seizures: a prospective study. Dev Med Child Neurol. 1999, roč. 41, čís. 5, s. 340–3. Dostupné online. doi:10.1017/S0012162299000742. PMID 10378761.
Externí odkazy
Obrázky, zvuky či videa k tématu Paraldehyd na Wikimedia Commons - Paraldehyde Injection B.P Data Sheet Archivováno 9. 11. 2005 na Wayback Machine.
- Drugs.com: Paraldehyde
- Paraldehyde Chemical Data

