Oxoglutarátdehydrogenáza

Reakce katalyzované enzymem v dané fázi citrátového cyklu

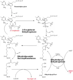
Oxoglutarátdehydrogenáza je enzymatický komplex, který katalyzuje jeden krok Krebsova cyklu. V důsledku jeho činnosti se oxoglutarát (α-ketoglutarát) mění na sukcinyl-CoA a oxid uhličitý.

Činnost

Celý komplex má několik částí a jeho práce se dá připodobnit komplexu pyruvátdehydrogenázy. Navíc vyžaduje stejné kofaktory: thiamindifosfát, lipoát, NAD+ a FAD.[1] Sumární reakce, při níž se mimo dekarboxylaci organické látky odehrává ještě redukce NAD+ na NADH+H+, se dá rozdělit na tři kroky, jimiž reakce probíhá:[2]

  • E1oxoglutarátdehydrogenáza (lipoamid) – oxoglutarátdekarboxyláza; katalyzuje reakci oxoglutarátu s lipoamidem za vzniku S-sukcinyldihydrolipoamidu a uvolnění oxidu uhličitého
  • E2dihydrolipoamid-S-sukcinyltransferáza – katalyzuje vznik sukcinyl-CoA a dihydrolipoamidu
  • E3dihydrolipoamiddehydrogenáza – katalyzuje redukci NAD na NADH a oxidaci dihydrolipoamidu na lipoamid

Rovnováha reakce je posunuta silně ve prospěch produktu (sukcinyl-CoA). Enzym však je inhibován arsenitanem, který tak způsobuje hromadění α-ketoglutarátu v těle.[1]

Patologie

U metabolického onemocnění kombinované malonové a metylmalonové acidurie (CMAMMA) způsobeného nedostatkem ACSF3 je narušena mitochondriální syntéza mastných kyselin (mtFASII), která je prekurzorovou reakcí biosyntézy kyseliny lipoové.[3][4] Výsledkem je snížený stupeň lipoylace důležitých mitochondriálních enzymů, jako je komplex oxoglutarát dehydrogenázy.[4]

Reference

  1. a b Robert K. Murray; Daryl K. Granner; Joe C. Davis; Peter A. Mayes; Victor W. Rodwell. Harper’s Illustrated Biochemistry; twenty-sixth edition. [s.l.]: [s.n.], 2003. ISBN 0-07-138901-6. 
  2. Oxford dictionary of biochemistry and molecular biology; revised edition. Příprava vydání R. Cammack et al. New York: Oxford university press, 2006. ISBN 0-19-852917-1. 
  3. LEVTOVA, Alina; WATERS, Paula J.; BUHAS, Daniela. Combined malonic and methylmalonic aciduria due to ACSF3 mutations: Benign clinical course in an unselected cohort. Journal of Inherited Metabolic Disease. 2019-01, roč. 42, čís. 1, s. 107–116. Dostupné online. ISSN 0141-8955. doi:10.1002/jimd.12032. (anglicky) 
  4. a b WEHBE, Zeinab; BEHRINGER, Sidney; ALATIBI, Khaled. The emerging role of the mitochondrial fatty-acid synthase (mtFASII) in the regulation of energy metabolism. Biochimica et Biophysica Acta (BBA) - Molecular and Cell Biology of Lipids. 2019-11, roč. 1864, čís. 11, s. 1629–1643. Dostupné online. doi:10.1016/j.bbalip.2019.07.012. (anglicky)