Osazony

Osazony jsou deriváty sacharidů vznikající reakcemi redukujících sacharidů s nadbytkem fenylhydrazinu za vyšších teplot.[1]
Vznik
Přípravu osazonů rozvinul Emil Fischer při zkoumání reakcí prokazujících přítomnost monosacharidů.[2]
Dvojice hydrazonových slupin se vytváří oxidací a kondenzací.[3]
K průběhu reakce je nutná volná karbonylová skupina, a neredukující sacharidy, jako je sacharóza, se jí tedy neúčastní.

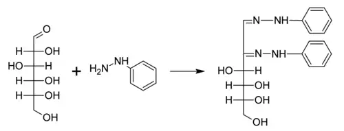
Vznik osazonu z D-glukózy a fenylhydrazinu. Stejný produkt, nazývaný glukosazon, vzniká také z fruktózy a manózy.

Obecný průběh reakce vytvářející osazon
Vzhled
Osazony jsou krystalické a výrazně zbarvené; lze je od sebe snadno rozlišit:[4]
- Maltosazon (vzniklý z maltózy) vytváří krystaly ve tvaru okvětních lístků.
- Laktosazon (z laktózy) vytváří krystaly obláčkovitého tvaru.
- Galaktosazon (z galaktózy) má kosočtvercovité krystaly.
- Glukosazon (z glukózy, fruktózy, nebo manózy) poskytuje jehlicovité krystaly.
Odkazy
Reference
V tomto článku byl použit překlad textu z článku Osazone na anglické Wikipedii.
- ↑ Hassan S. El Khadem; Alexander J. Fatiadi. Hydrazine derivatives of carbohydrates and related compounds. Advances in Carbohydrate Chemistry and Biochemistry. 2000, s. 175–263. Dostupné online. ISBN 9780120072552. doi:10.1016/S0065-2318(00)55006-9.
- ↑ B. Helferich. Emil Fischer zum 100. Geburtstag. Angewandte Chemie. 1953, s. 45–52. doi:10.1002/ange.19530650202. Bibcode 1953AngCh..65...45H.
- ↑ S. Ramakrishnan. Textbook of Medical Biochemistry. [s.l.]: Orient Blackswan, 2004. ISBN 9788125020714.
- ↑ Anil Gupta. Comprehensive Biochemistry for Dentistry. [s.l.]: Springer, 2019. ISBN 978-981-13-1035-5. S. 108–110.
Externí odkazy
Obrázky, zvuky či videa k tématu osazony na Wikimedia Commons
Portály: Chemie