Organické sloučeniny aktinoidů
thorium(IV)-3D-balls.png)
Organické sloučeniny aktinoidů jsou organokovové sloučeniny obsahující vazby mezi atomy uhlíku a aktinoidů.
Podobně jako většina organokovových sloučenin jsou citlivé na přítomnost kyslíku a připravují se tak za nepřístupu vzduchu.
Organokovové komplexy s vazbami σ
Nejčastější organické komplexy aktinoidů obsahují vazby pí s ligandy, jako je například cyklopentadienyl, vyskytuje se tu ale i několik výjimek, které mají vazby typu σ; tyto sloučeniny jsou známy u thoria a uranu jež jsou nejdostupnějšími prvky této skupiny.
Alkylové a arylové sloučeniny

První pokusy o přípravu alkylových sloučenin uranu prováděl Henry Gilman při projektu Manhattan, kde vycházel z těkavosti organokovových sloučenin prvků hlavní skupiny; zjistil ovšem, že takové sloučeniny jsou značně nestálé.[1]
Proběhly pokusy o přípravu těchto sloučenin z chloridu uraničitého a organolithných sloučenin, produkty se ale rychle rozkládaly.
V roce 1989 se podařilo vytvořit homoleptický komplex obsahující trimethylsilylové skupiny: U[CH(SiMe3)2]3. Později byly připraveny i obdobné sloučeniny s vyššími koordinačními čísly, jako například [Li(TMEDA)]2[UMe6].[1]
Oproti uranu je znám jediný homoleptický alkylový komplex thoria,[2] jedná se o heptamethylthoričitanový anion, připravený v roce 1984 podobně jako příslušný komplex uranu.
Jsou také známy smíšené tetramethylkomplexy uranu a thoria obsahující fosfinové ligandy, ke stabilizaci u nich byl použit 1,2-bis(dimethylfosfino)ethan (podobně mohou také sloužit amidy).[3]
Metalocykly
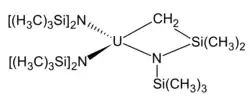
Uran i thorium mohou vytvářet metalocyklické sloučeniny.[4]
Tyto komplexy jsou nestabilní a tak se do nich navazují stabilizující trimethylsilylové skupiny. Připravit je lze reakcemi slabších alkylačních činidel (methyllithium a dimethylhořčík jsou příliš silné a vytvářejí jednoduché alkyly) s ClAn[N(Si(CH3)2]3 (An = Th, U).

Organokovové komplexy s vazbami π
Většina organických sloučenin aktinoidů obsahuje cyklopentadienyl (Cp) nebo cyklooktatetraen (COT) a jejich deriváty. Obvykle zde vznikají vazby typu η5- a η8, které dodávají elektrony prostřednictvím pí orbitalů.
Komplexy cyklooctatetraenu
Aktinoceny

Aktinoidy vytvářejí sendvičové komplexy s cyklooctatetraenem, podobně jako přechodné kovy s cyklopentadienylovými ionty. Aktinoidy mají příliš velké poloměry atomů, aby mohly tvořit sloučeniny typu MCp2, takže místo toho reagují s C8H 2-
8 .
První takovou sloučeninu připravil Andrew Streitwieser v roce 1968, kdy reakcí K(COT)2 s chloridem uraničitým v tetrahydrofuranu při 0 °C vznikl uranocen.[5] Tato sloučenina je samozápalnou zelenou pevnou látkou, jenž vykazuje jen nízkou reaktivitu.[6]

Většina čtyřvazných aktinoidů vytváří podobné aktinoceny. V roce 1973 bylo připraveno bis(cyklooktatetraen)protaktinium přeměnou oxidu protaktiničného ma chlorid protaktiničný, jeho redukcí práškovým hliníkem a reakcí vzniklého produktu s cyklooktatetraenidem draselným (K2COT).[7]
- :
Neptunocen a thorocen lze připravit podobně z MCl4 (M = Th nebo Np). Plutonocen se připravuje jinak, protože chlorid plutoničitý není stabilní, takže se používá (Hpy)2PuCl6.
Pozdní aktinoidy rovněž vytvářejí cyklooktatetraenové komplexy, ty ovšem obvykle nemívají neutrální sendvičovou strukturu. Trojmocné aktinoidy tvoří s cyklooktatetraenem iontové sloučeniny, což lze například ukázat na reakci jodidu americitého s K2COT:
Tato sloučenina se v roztoku vyskytuje jako adukt s THF.
Komplexy substituovaných cyklooktatetraenů
Bylo vytvořeno několik substituovaných uranocenů.[8][9] Jejich příprava probíhala podobně jako u U(COT)2, ovšem vlastnosti některých těchto sloučenin byly odlišné.
Tetrafenylcyklooktatetraenový komplex je na vzduchu stálý. Tato nestabilita je pravděpodobně způsobena sterickými efekty fenylových skupin, které brání atakům kyslíku na U4+ centra.[9]
Všechny se dobře rozpouští v organických rozpouštědlech, jako je benzen, v němž jsou roztoky zelené a na vzduch citlivější než pevné látky.

Plutonium také vytváří sendvičový komplex s 1,4-bis(trimethylsilyl)cyklooktatetraenylovým iontem (1,4-COT’’) a jeho 1,3-izomerem. Tyto sloučeniny se získávají oxidací aniontových, zelených, plutonitých komplexů Li(THF)4[Pu(1,4-COT’’)2] chloridem kobaltitým za vzniku Pu(1,4-COT’’)(1,3-COT’’). Průběh reakce lze snadno zaznamenat, protože tetrahydrofuranový roztok změní barvu na tmavě červenou, běžnou u plutoničitých sloučenin.[10]

Byly popsány i komplex neptunia s trisubstituovaným COT’’’[11] a sloučeniny thoria a uranu s tri- a disubstituovanými ligandy.[12] Připravují se podle tohoto schématu:

Cyklopentadienové komplexy
Tris(cyklopentadienyl)aktinoidy

Většina trojmocných kovů bloku f vytváří sloučeniny s cyklopentadienem o obecném vzorci M(Cp)3. Tyto komplexy byly izolovány u prvků po kalifornium a příslušná sloučenina einsteinia byla pozorována v plynné fázi.[13]

AnCp3 se obvykle připravují podle výše uvedeného schématu,[4][14] někdy se přidává několik dalších kroků potřebných k přípravě chloridů z dodávaných oxidů.[13] Lze použít i jiné postupy, například komplexy beryllia je možné nahradit cyklopentadienidy alkalických kovů a komplexy čtyřmocných aktinoidů mohou být získány také redukčními eliminacemi.
| Th | U | Np | Pu | Am | Cm | Bk | Cf |
|---|---|---|---|---|---|---|---|
| zelená | hnědá | světle zelená | zelená | bezbarvá | oranžová | červená |
Tyto sloučeniny jsou známy od 60. let 20. století, ovšem do roku 2018 byla struktura určena pouze u sloučeniny neptunia. V tomto roce se podařilo zanalyzovat komplexy plutonia a uranu, přičemž se zjistilo, že všechny tři struktury jsou podobné, s asymetrickým rozdělením cyklopentadienidových ligandů a více kovalentní povahou vazeb uhlík-kov než u organických sloučenin lanthanoidů.[16]
Tetrakis(cyklopentadienyl)aktinoidy
Thorium, uran a neptunium vytvářejí komplexy MCp4, které se připravují podvojnou záměnou z cyklopentadienidu draselného v benzenových roztocích.[4]

Odkazy
Související články
- Organické sloučeniny uranu
- Organické sloučeniny neptunia
- Aktinoceny
- Uranocen, U(C8H8)2
- Neptunocen, Np(C8H8)2
- Plutonocen, Pu(C8H8)2
Reference
V tomto článku byl použit překlad textu z článku Organoactinide chemistry na anglické Wikipedii.
- ↑ a b L. A. Seaman; J. R. Walensky; G. Wu; T. W. Hayton. In pursuit of homoleptic actinide alkyl complexes. Inorganic Chemistry. 2013, s. 3556–3564. doi:10.1021/ic300867m. PMID 22716022.
- ↑ Harald Lauke; Paul J. Swepston; Tobin J. Marks. Synthesis and characterization of a homoleptic actinide alkyl. The heptamethylthorate(IV) ion: a complex with seven metal-carbon .sigma. bonds. Journal of the American Chemical Society. 1984, s. 6841–6843. doi:10.1021/ja00334a062.
- ↑ Peter G. Edwards; Richard A. Andersen; Allan Zalkin. Preparation of tetraalkyl phosphine complexes of the f-block metals. Crystal structure of Th(CH2Ph)4(Me2PCH2CH2PMe2) and U(CH2Ph)3Me(Me2PCH2CH2PMe2). Organometallics. 1984, s. 293–298. doi:10.1021/om00080a023.
- ↑ a b c Andrew C. Behrle; Justin R. Walensky. Encyclopedia of Inorganic and Bioinorganic Chemistry. [s.l.]: American Cancer Society, 2015. ISBN 9781119951438. doi:10.1002/9781119951438.eibc0002.pub2. Kapitola Actinides: Organometallic Chemistry, s. 1–41.
- ↑ A. Streitwieser; U. Mueller-Westerhoff. Bis(cyclooctatetraenyl)uranium (uranocene). A new class of sandwich complexes that utilize atomic f orbitals. Journal of the American Chemical Society. 1968-12-01, s. 7364. doi:10.1021/ja01028a044.
- ↑ Simon Cotton. Lanthanide and Actinide Chemistry. [s.l.]: John Wiley & Sons, 2013. ISBN 9781118681367.
- ↑ David F. Starks; Thomas C. Parsons; Andrew Streitwieser; Norman Edelstein. Bis(.pi.-cyclooctatetraene)protactinium. Inorganic Chemistry. 1974, s. 1307–1308. doi:10.1021/ic50136a011.
- ↑ A. Streitwieser; C. A. Harmon. Uranocenes with hydrocarbon substituents. Inorganic Chemistry. 1973-05-01, s. 1102–1104. doi:10.1021/ic50123a024.
- ↑ a b Andrew Streitwieser; Roger Walker. Bis-π-(1,3,5,7-tetraphenylcyclooctatetraene)uranium, an air stable uranocene. Journal of Organometallic Chemistry. 1975, s. C41-C42. doi:10.1016/S0022-328X(00)89316-X.
- ↑ C. Apostolidis; O. Walter; J. Vogt; P. Liebing; L. Maron; F. T. Edelmann. A Structurally Characterized Organometallic Plutonium(IV) Complex. Angewandte Chemie. 2017, s. 5066–5070. doi:10.1002/anie.201701858.
- ↑ M. J. Tassell; N. Kaltsoyannis. Covalency in AnCp4 (An = Th-Cm): a comparison of molecular orbital, natural population and atoms-in-molecules analyses. Dalton Transactions. 2010, s. 6719–6725. doi:10.1039/c000704h. PMID 20631951.
- ↑ J. Rausch, C. Apostolidis, O. Walter, V. Lorenz, C. G.Hrib, L. Hilfert, M. Kühling, S. Busse, F. T. Edelmann. One ligand fits all: lanthanide and actinide sandwich complexes comprising the 1, 4-bis (trimethylsilyl) cyclooctatetraenyl (= COT′′) ligand. New Journal of Chemistry. 2015, s. 7656–7666. doi:10.1039/c5nj00991j.
- ↑ a b Peter G. Laubereau; John H. Burns. Microchemical preparation of tricyclopentadienyl compounds of berkelium, californium, and some lanthanide elements. Inorganic Chemistry. 1970, s. 1091–1095. doi:10.1021/ic50087a018.
- ↑ F. Baumgartner; E. O. Fischer; B. Kanellakopulos; P. Laubereau. Tri-cyclopentadienyl-americium(III). Angewandte Chemie. 1966-01-07, s. 112–113. doi:10.1002/ange.19660780113.
- ↑ T. J. Marks. Actinide organometallic chemistry. Science. 1982, s. 989–997. doi:10.1126/science.217.4564.989. PMID 17839316. Bibcode 1982Sci...217..989M.
- ↑ C. Apostolidis; M. S. Dutkiewicz; A. Kovács; O. Walter. Solid-State Structure of Tris-Cyclopentadienide Uranium(III) and Plutonium(III). Chemistry. 2018, s. 2841–2844. doi:10.1002/chem.201704845. PMID 29193373.