Novičok

.svg.png)
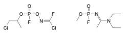
Novičok (rusky новичок, česky „nováček“) je řada nervově paralytických látek, které byly podle Jonathana B. Tuckera vyvinuty v Sovětském svazu v 70. a 80. letech 20. století.[1][2] Jedná se údajně o čtyři[3] různé látky, přičemž tři jsou v tekutém stavu a čtvrtá je prášek. Podle Tuckera jsou to organické sloučeniny fosforu a fluoru, konkrétně fluorofosfáty, s paralytickým účinkem. Tyto látky se liší jak způsobem výroby, tak způsobem bojového užití. Pod vedoucím projektu Pjotrem Kirpičovem údajně vzniklo několik set modifikací látek tohoto typu.[3][4]
Vývoj


Novičok vyvíjeli v rámci tajného sovětského programu s kódovým označením „Foliant“ pracovníci Státního vědecko-výzkumného ústavu organické chemie a technologie[5] pod vedením Pjotra Kirpičova.[3][4] Vývoj probíhal pravděpodobně na území Uzbecké SSR a pokračoval ještě nejméně na počátku 90. let.[6] Samotná výroba chemických látek údajně probíhala v povolžském městě Volsk.[3][4] První připravená látka této skupiny dostala název K-84, později byla přejmenována na A-230. Postupně vznikly všechny čtyři základní typy látek, konkrétně v letech 1972, kdy byl vyvinut první typ látky, dále 1976, kdy byly vyvinuty dva další typy látek, posléze 1980, kdy byl vyvinut čtvrtý typ.[3][4] Od těchto základních látek byly odvozeny další podobné látky, nyní je jich podle Tuckera známo více než sto,[7] možná několik set.[3][4] Z nich má z vojenského hlediska být nejdůležitější A-232 (Novičok-5).[8]
Látky Novičok byly vyvíjeny k dosažení čtyř cílů:[9][10]
- dosáhnout nezjistitelnost pomocí standardních chemických detekčních zařízení NATO
- překonat chemické ochranné pomůcky NATO
- umožňovat bezpečnější manipulaci
- obejít seznam zakázaných prekurzorů Úmluvy o chemických zbraních.
Všech těchto cílů bylo údajně dosaženo.
Podle listu Süddeutsche Zeitung získala v 90. letech vzorek novičoku německá tajná služba BND, která odeslala látku na analýzu ve švédské laboratoři.[11] Německo sdílelo informace o novičoku se spojenci v USA, Británii, Francii, Nizozemsku a Kanadě a armádní laboratoře v těchto zemích mohly podle deníku Süddeutsche Zeitung v malém množství novičok připravovat, aby vyvinuly protilátky.[12]
Samotný název novičok je homofonem, slovní hříčkou původem[zdroj?!] z angličtiny: "(And) now we choke!" (česky: A teď se dusíme/dávíme!"). Samotný program Foliant byl totiž odpovědí na neexistující sadu chemických zbraní, které byly podvrženy Sovětskému Svazu.[zdroj?!]
Popis
Novičok má formu velmi jemného prášku nebo kapaliny, podle typu[3][4]. Konkrétně novičok typu A234 je podle všeho olejovitá kapalina, se zápachem po amoniaku[13][14]. Obecně může novičok překonat standardní protichemickou ochranu i filtry s aktivním uhlím a proniknout pryžovým těsněním.[6] Údajně jde o nejvíce smrtící nervové látky, které byly dosud vyvinuty; některé varianty jsou možná pětkrát až osmkrát účinnější než látka VX (smrtelná dávka VX pro vdechnutí je přibližně 0.5 mg, přes kůži kolem 5 mg - často udávané smrtelné dávky jsou ale dvojnásobné - ty platí pro zdravé mladé vojáky).[15] Podle analýz vzorku, získaného německou tajnou službou Bundesnachrichtendienst (BND), dokonce až desetkrát účinnější.[11]
Toxicita A-234 byla odhadnuta na 7 mg/m3.[16] Při této koncentraci 70kg osoba během dvou minut běžného dýchání při lehké aktivitě absorbuje mediánovou smrtelnou dávku (30 nádechů po jednom litru vzduchu). Mělký nádech má asi 500 ml, takže vzduch obsahující 0,5 g aerosolu na metr krychlový by měl způsobit úmrtí u více než 50 % dospělých a zdravých 70 kg osob již po jednom mělkém nádechu.
Toxicita pravděpodobně nejvíce toxického kapalného novičoku A-230 byla odhadnuta na 1,9 - 3 mg/m3. Při této koncentraci 70 kg osoba během dvou minut běžného dýchání při lehké aktivitě absorbuje mediánovou smrtelnou dávku (30 nádechů po jednom litru vzduchu). Mělký nádech má asi 500 ml, takže vzduch obsahující 0,15 g aerosolu na metr krychlový by měl způsobit úmrtí u více než 50 % dospělých a zdravých 70 kg vážících osob již po jednom mělkém nádechu.
Toxicita novičoků pro otravu skrze kůži v běžném, lehkém oděvu s ochranou očí není známa. Odhad mediánové smrtelné dávky u VX je 150 mg/m3 při době vystavení 30 - 50 minut. Je ale pravděpodobné, že smrtelná koncentrace bude někde mezi 20 až 75 mg na m3.
Smrtelná dávka novičoků na kůži se bude pohybovat kolem 1 mg (u VX 5 mg) a penetrace kůže bude pravděpodobně trvat kolem 10 - 15 minut - rychleji na hlavě a v případě zasažení očí se bude jednat o spíše desítky sekund.
Pouhá jedna tuna A-234 by tak vytvořila mrak aerosolu o šířce 1 km na 1 km a vysoký téměř 150 m a přitom by zachovala toxickou koncentraci 7 mg/m3.
Pouhá jedna tuna A-230 by tak vytvořila mrak aerosolu o šířce 1,5 na 1,5 km a vysoký téměř 150 a přitom by zachovala toxickou koncentraci 3 mg/m3.
Toxicita pro zasažení kůže při použité běžného lehkého oděvu, chránění očí a dýchání není známa. Analogicky od toxicity od VX lze ale odvodit, že koncentrace aerosolu mezi 5 a 10 mg/m3 by měly vyvolat u 50 % mužů příznaky středně těžké až těžké otravy po 30 až 50 minutách působení. Samotné plynové masky by tak na bojišti pro ochranu vojáků nestačily.
Osoba zasažená novičokem zvýšeně sliní, zvrací a dostává se do silných křečí, při kterých si může dokonce i zlámat kosti. V případě novičoku A234 má pěnu u úst, může mít potíže s chůzí a následně upadá do bezvědomí.[17] Smrt nastává velice rychle.[18]
Jde o binární chemickou zbraň, která se vytvoří spojením jednotlivých samostatně neškodných komponentů (prekurzorů) těsně před použitím.[5] Protože prekurzory jsou obvykle výrazně méně nebezpečné než samotné látky, tato technika umožňuje mnohem jednodušší manipulaci a přepravu munice. Navíc prekurzory jsou obvykle mnohem snáze stabilizovatelné, takže lze takto zvýšit trvanlivost látek. To má na druhou stranu tu nevýhodu, že neopatrná příprava může vytvořit neoptimální látku.
Použití novičoku
Látky této skupiny nebyly nikdy bojově nasazeny. První známá otrava člověka proběhla v roce 1987 po selhání odvětrávání v laboratoři. Postižený vědec Andrej Železňakov obdržel instrukce vypít čaj (poté se vyzvracel), dostal protilátku a po chvíli zkolaboval. Zachránila jej zřejmě injekce atropinu. Zemřel v roce 1992 na následky otravy (látka u něj způsobila postupnou dekompozici nervové tkáně). Před smrtí poskytl rozhovor novinám navzdory utajení.[19]
V roce 1995 byli novičokem otráveni ruský bankéř Ivan Kivilidi a jeho sekretářka.[5]
Podle britské premiérky Theresy Mayové byli právě jednou z těchto látek otráveni v březnu 2018 v britském Salisbury ruský dvojitý agent Sergej Skripal a jeho dcera Julija.[6] Podle pozdějších analýz měla být k otravě použita látka označovaná jako A234.[20]
V červenci 2018 se otrávili další lidé, když údajně měli podle britské policie nalézt lahvičku s novičokem – Dawn Sturgessová a Charlie Rowley z městečka Amesbury,[21] přičemž Dawn Sturgessová na otravu zemřela.[22]
Dne 3. května 2018 prezident ČR Miloš Zeman veřejně prohlásil, že novičok byl v roce 2017 v ČR vyráběn a testován.[23] Kancelář prezidenta republiky zveřejnila, že prezident Zeman byl na základě zadání, které obdržely zpravodajské služby, informován Vojenským zpravodajstvím o případu, kdy bylo ve VVÚ s.p. v roce 2017 legálně mikrosyntézou vyrobeno několik miligramů směsi, která obsahovala látku A-230, označovanou jako novičok. Po testování byl vzorek zničen. Podle zprávy Pražského hradu šlo o jinou látku ze skupiny novičok, než jaká byla použita při útoku v britském Salisbury. Úřad prezidenta zdůraznil, že Česká republika nemá nic společného s případem otravy nervově-paralytickou látkou v britském Salisbury a zároveň zveřejnil odtajněnou část zprávy Vojenského zpravodajství. [1] Ředitel BIS tyto informace popřel.[24] Šéf BIS Michal Koudelka tuto kauzu 25. září 2023 zmínil v rámci zpravodajské zprávy, kterou přednesl účastníkům panelu o dezinformacích na půdě Poslanecké sněmovny a označil ji za akci vlivových agentů, kteří v ČR za úplatek ve výši několika tisíc eur šířili narativy podporující zájmy Ruské federace v souvislosti s válkou na Ukrajině.[25]
V srpnu 2020 byl Alexej Navalnyj při cestě letadlem z Tomsku do Moskvy „nade vší pochybnost“ otráven dle testů německé vojenské laboratoře také neupřesněnou látkou z této skupiny.[26][27]
Reference
V tomto článku byl použit překlad textu z článku Novichok agent na anglické Wikipedii.
- ↑ TUCKER, Jonathan B. War of nerves: chemical warfare from World War I to al-Qaeda. New York: Anchor Books, 2007. Dostupné online. ISBN 9781400032334. S. 232–233. (anglicky)
- ↑ HALÁMEK, Emil; KOBLIHA, Zdeněk. Potenciální bojové chemické látky. Chemické listy [online]. 2011-06-15. Dostupné online.
- ↑ a b c d e f g [spolu s ČTK]. Ruští chemici se obracejí proti Rusku. Popírají tvrzení, že nevyrábělo jed novičok [online]. EuroZprávy.cz, 20. března 2018, 18:23 [cit. 2018-03-20]. Dostupné v archivu pořízeném dne 2018-03-21.
- ↑ a b c d e f ČTK. Sověti vyvíjeli neurotoxiny novičok, potvrdil další ruský vědec. Novinky.cz [online]. Borgis, 20. 3. 2018, 19:17 [cit. 20-3-2018]. Dostupné online.
- ↑ a b c Sovětští vědci za něj dostali Leninovu cenu. V Anglii použitý jed Novičok byl nejmocnější chemickou zbraní. Lidovky.cz [online]. 2018-03-13 [cit. 2018-03-13]. Dostupné online.
- ↑ a b c Novičok. Co je zač tajemný jed, který v Anglii zasáhl exagenta Skripala. Lidovky.cz [online]. 2018-03-12 [cit. 2018-03-13]. Dostupné online.
- ↑ Tucker (2006), s. 233.
- ↑ Tucker (2006), s. 253.
- ↑ Inhalation Toxicology.. Příprava vydání Salem, Harry; Katz, Sidney A.. 3. vyd. [s.l.]: CRC Press, 2014. ISBN 978-1-466-55273-9. S. 498–499. (anglicky)
- ↑ KENDALL, Ronald J., a kol. Advances in biological and chemical terrorism countermeasures. Boca Raton: CRC Press, 2008. Dostupné online. ISBN 978-1-420-07654-7. S. 136. (anglicky)
- ↑ a b Němci před dvaceti lety získali vzorky novičoku a předali je spojencům. Novinky.cz [online]. Borgis, 16.5.2018 [cit. 16.5.2018]. Dostupné online.
- ↑ Novičok možná testovali v Německu. Vznikla tam i protilátka?. Týden. 16. května 2018.
- ↑ Novinky. Udělalo se jí zle a šla si lehnout do vany. Brit vylíčil, jak se jeho přítelkyně otrávila novičokem. Novinky.cz [online]. Borgis, 25.7.2018 [cit. 2018-07-25]. Dostupné online.
- ↑ HUMPHRIES, Will. Novichok victim ‘sprayed it on her wrist from perfume bottle’. The Times [online]. 2018-07-18 [cit. 2018-07-25]. Dostupné online. ISSN 0140-0460. (anglicky)
- ↑ ALBATS, Yevgenia. The state within a state: the KGB and its hold on Russia--past, present, and future. New York: Farrar, Straus, Giroux, 1994. 401 s. Dostupné online. ISBN 0-374-18104-7. S. 325–328. (anglicky)
- ↑ FRANCA, Tanos; KITAGAWA, Daniel; CAVALCANTE, Samir. Novichoks: The Dangerous Fourth Generation of Chemical Weapons. International Journal of Molecular Sciences. 2019-03-11, roč. 20, čís. 5, s. 1222. Dostupné online [cit. 2019-12-28]. ISSN 1422-0067. doi:10.3390/ijms20051222. PMID 30862059. (anglicky)
- ↑ Exclusive: Novichok poisoning victim Charlie Rowley reveals perfume gift he gave to partner contained deadly nerve agent. ITV News. 24.7.2018. Dostupné online [cit. 2018-07-25]. (anglicky)
- ↑ EuroZprávy.cz. Novičok může oběti zlámat kosti. Pozor na „Putinovy zbraně“, Evropa je vojensky zaostalá, varuje expert [online]. EuroZprávy.cz, 24. března 2018, 15:08 [cit. 2018-03-24]. Dostupné v archivu pořízeném dne 2018-03-24.
- ↑ „Dostalo mě to.“ Umírající vědec popsal, jak se otrávil novičokem. iDNES.cz [online]. 2018-03-23 [cit. 2018-03-24]. Dostupné online.
- ↑ ., Plk. doc. PharmDr. Daniel Jun, Ph.D. Co zabije špiona Skripala a proč novičok v Česku nemáme. iDNES.cz [online]. 2018-03-29 [cit. 2018-04-28]. Dostupné online.
- ↑ Novinky. Byl to v Amesbury stejný novičok jako u Skripalových? Britská policie prověří přes 400 předmětů. Novinky.cz [online]. Borgis, 14.7.2018 [cit. 2018-07-14]. Dostupné online.
- ↑ Novinky, ČTK. V Británii zemřela žena otrávená novičokem. Novinky.cz [online]. Borgis, 8.7.2018 [cit. 2018-07-14]. Dostupné online.
- ↑ BARTONÍČEK, Radek. Novičok byl u nás vyráběn a testován, tvrdí prezident Zeman, který si objednal zprávu BIS. Aktuálně.cz [online]. Economia, 2018-05-03 [cit. 2023-09-25]. Dostupné online.
- ↑ DOLEJŠÍ, Milan. Novičok se v Česku nevyráběl ani neskladoval, ujistily tajné služby Babiše. ČT24 [online]. Česká televize, 2018-05-07 [cit. 2023-09-25]. Dostupné online.
- ↑ RAMBOUSKOVÁ, Michaela. Šéf BIS: Ruský agent v Česku uplácel, využil i známé osobnosti. Seznam Zprávy [online]. 2023-09-25 [cit. 2023-09-25]. Dostupné online.
- ↑ Německá vláda: Navalnyj byl otráven jedem ze skupiny novičoků. Deník N [online]. 2020-09-02 [cit. 2020-09-02]. Dostupné online.
- ↑ Erklärung der Bundesregierung im Fall Nawalny [online]. bundesregierung.de, 2020-09-02 [cit. 2020-09-02]. Dostupné online. (německy)
Externí odkazy
Obrázky, zvuky či videa k tématu Novičok na Wikimedia Commons
Slovníkové heslo novičok ve Wikislovníku