Norrishova reakce
Norrishova reakce je fotochemická reakce ketonů a aldehydů, kterou objevil Ronald George Wreyford Norrish. Tyto reakce se dělí na Norrishovy reakce prvního a Norrishovy reakce druhého typu.[1] Nemají větší syntetické využití, ale jsou významnými součástmi fotooxidací polymerů, jako jsou polyalkeny,[2] polyestery, polykarbonáty, a polyketony.
První typ
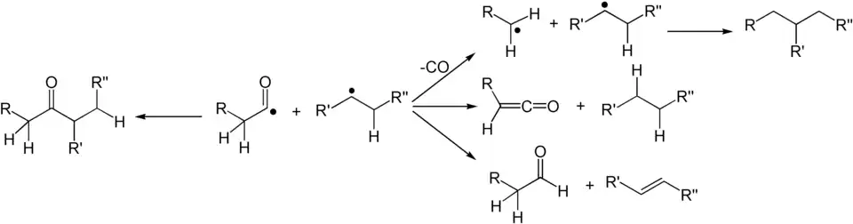
Norrishovy reakce prvního typu jsou fotochemická štěpení (homolýzy) aldehydů a ketonů na dva radikály. Karbonylová skupina absorbuje foton a je excitována na singlet, který se poté může přeměnit na triplet. Štěpením vazby α-uhlíku jednoho z těchto stavů se vytvoří dva radikály;[3]

Podle své struktury mohou tyto radikály dále reagovat několika způsoby:
- Rekombinací na původní karbonylovou sloučeninu (s racemizací na α-uhlíku).
- Acylový radikál může odštěpit molekulu oxidu uhelnatého za vzniku nového radikálového centra na jiném α-uhlíku, po čemž se vytvoří mezi radikály nová vazba uhlík–uhlík;[3] výsledkem je odstranění karbonylové skupiny. Rychlost průběhu i výtěžnost tohoto procesu záleží na disociačních energiích vazeb substituentů na α-uhlíku karbonylu; čím vyšší je míra substituce α-uhlíku ketonu, tím pravděpodobnější je tento průběh reakce.[4][5]
- Oddělení α-protonu z karbonylové molekuly může vytvořit keten a alkan.
- Odštěpením β-protonu z alkylu se může utvořit aldehyd a alken.

Syntetická využitelnost tohoto druhu reakce je omezená; jedná se o častou vedlejší reakci u Paternòvých–Büchiových reakcí. Příkladem organické syntézy využívající Norrishovu reakci prvního druhu je příprava bicyklohexylidenu.[6]
Druhý typ
Norrishovy reakce druhého typu jsou fotochemické vnitromolekulární reakce odštěpující γ-vodík z excitované karbonylové sloučeniny za tvorby 1,4-biradikálů.[7]
První taková reakce byla popsána v roce 1937.[8]

K vedlejším reakcím zde patří β-štěpení na alken a enol (který se rychle tautomeruje na karbonylovou sloučeninu) a vnitromolekulární rekombinace radikálů vytvářející substituovaný cyklobutan (což se označuje jako Norrishova–Yangova reakce).[9]
Vlastnosti
Norrishova reakce byla zkoumána jako oxidace heptanalu, aldehydu vyskytujícím v atmosféře Země.[10] Fotolýzou heptanalu za podmínek napodobujících atmosféru vznikaly reakcí druhého typu pent-1-en a acetaldehyd s 62% výtěžností; tvořily se také cyklické alkoholy cyklobutanol a cyklopentanol a s přibližně 10% výtěžností hexanal reakcí prvního typu (z původně utvořeného n-hexylového radikálu atakovaného kyslíkem).
V jedné studii byla zkoumána fotolýza derivátu acyloinu ve vodě za přítomnosti koloidního zlata vytvořeného půobením hydrogentetrachlorozlatitanu.[11] Částicemi redukujícími Au3+ na Au0 (nejprve se redukuje Au3+ na Au2+, z nějž disproporcionací vzniká Au+ a Au3+ a Au1+ se nakonec redukuje Auo) jsou ketylové radikály.

Leo Paquette v roce 1982 získal dodekaedran v posloupnosti 29 kroků zahrnující tři navzájem oddělené Norrishovy reakce.
Příkladem syntetického využití Norrishovy reakce druhého typu je jeden z kroků totální syntézy kardenolidu ouabageninu, kterou provedl se svými spolupracovníky Phil S. Baran.[12]

Odkazy
Reference
V tomto článku byl použit překlad textu z článku Norrish reaction na anglické Wikipedii.
- ↑ Named Organic Reactions, 2nd Edition, Thomas Laue and Andreas Plagens, John Wiley & Sons: Chichester, England, New York, 2005. 320 pp. ISBN 0-470-01041-X
- ↑ Guido Grause; Mei-Fang Chien; Chihiro Inoue. Changes during the weathering of polyolefins. Polymer Degradation and Stability. 2020, s. 109364. doi:10.1016/j.polymdegradstab.2020.109364.
- ↑ a b IUPAC Gold Book - Norrish Type I photoreaction. [s.l.]: IUPAC, 2014-03-31. Dostupné online. doi:10.1351/goldbook.N04219.
- ↑ Nien-Chu Yang; Eugene D. Feit; Man Him Hui; Nicholas J. Turro; Christopher Dalton. Photochemistry of di-tert-butyl ketone and structural effects on the rate and efficiency of intersystem crossing of aliphatic ketones. Journal of the American Chemical Society. 1970, s. 6974–6976. doi:10.1021/ja00726a046.
- ↑ E. B. Abuin; M. V. Encina; E. A. Lissi. The photolysis of 3-pentanone. Journal of Photochemistry. 1972, s. 387–396. doi:10.1016/0047-2670(72)80036-4.
- ↑ Bicyclohexylidene Nicholas J. Turro, Peter A. Leermakers, George F. Vesley Organic Syntheses, Coll. Vol. 5, p. 297 (1973); Vol. 47, p. 34 (1967) Online.
- ↑ IUPAC Gold Book - Norrish Type II photoreaction. [s.l.]: IUPAC, 2014-02-24. Dostupné online. doi:10.1351/goldbook.N04218.
- ↑ R. G. W. Norrish; C. H. Bamford. Photo-decomposition of Aldehydes and Ketones. Nature. 1937-07-31, s. 195–196. doi:10.1038/140195b0. Bibcode 1937Natur.140..195N.
- ↑ IUPAC Gold Book - Norrish–Yang reaction. [s.l.]: IUPAC, 2014-03-31. Dostupné online. doi:10.1351/goldbook.NT07427.
- ↑ Photolysis of Heptanal Suzanne E. Paulson, De-Ling Liu, Grazyna E. Orzechowska, Luis M. Campos, and K. N. Houk The Journal of Organic Chemistry; 2006; 71(17) pp 6403 - 6408; doi:10.1021/jo060596u
- ↑ Facile Photochemical Synthesis of Unprotected Aqueous Gold Nanoparticles Katherine L. McGilvray, Matthew R. Decan, Dashan Wang, and Juan C. Scaiano Journal of the American Chemical Society; 2006; 128(50) pp 15980 - 15981; doi:10.1021/ja066522h
- ↑ H. Renata; Q. Zhou; P. S. Baran. Strategic Redox Relay Enables A Scalable Synthesis of Ouabagenin, A Bioactive Cardenolide. Science. 2013-01-03, s. 59–63. doi:10.1126/science.1230631. PMID 23288535. Bibcode 2013Sci...339...59R.
Související články
- Fotochemický Friesův přesmyk - obdobná reakce aromatických karbonylových sloučenin
- McLaffertyův přesmyk - podobný Norrishově reakci druhého druhu, ale spouštěný ionizací pomocí elektronů
- Molekuly uvolňující oxid uhelnatý
Externí odkazy
Obrázky, zvuky či videa k tématu Norrishova reakce na Wikimedia Commons