N-heterocyklické silyleny

N-heterocyklické silyleny (NHSi) jsou nenabité heterocyklické sloučeniny obsahující dvojvazný atom křemíku navázaný na dva atomy dusíku. První stabilní NHSi a první známou stabilní sloučeninou dvojvazného křemíku popsali Michael Denk a Robert West roku 1994, tři roky poté. co Anthony Arduengo poprvé izoloval N-heterocyklický karben, lehčí analog NHSi.[1][2] Od této doby byly získány NHSi s nasycenými i nenasycenými kruhy obsahujícími 4 až 6 atomů. Stabilita NHSi, obzvláště těch, které obsahují 6π aromatické nenasycené pětičlenné kruhy, z nich činí látky vhodné pro výzkum struktury a reaktivity silylenů a dalších sloučenin nízkovazných prvků hlavní skupiny. Přestože nemají jiné než akademické využití, tak je známo, že komplexy NHSi mohou katalyzovat některé průmyslově významné reakce. V tomto článku jsou dále popisovány pětičlenné N-heterocyklické silyleny.
Příprava a stabilita

Pětičlenné N-heterocyklické silyleny se připravují z dvouuhlíkatých diiminů nebo diaminů. Reakcí s kovovým lithiem vzniká lithiovaný diimid či diamin, který poté působením chloridu křemičitého (SiCl4) vytvoří čtyřvazný dichlorsilikocyklus. Tato sloučenina se redukuje alkalickým kovem nebo grafitem draselným za vzniku sloučeniny s dvojvazným křemíkovým centrem. Křemík nesmí být přeredukován; do reakční směsi se proto často přidává triethylamin. Výtěžnost této redukce může dosahovat až 80 %.[3][4] N-heterocyklické silyleny obsahující čtyřčlenné (s 1 uhlíkem) kruhy se připravují reakcemi křemičitých halogenidů (SiX4) s amidináty a šestičlenné kruhy (se 3 uhlíky) reakcemi s nacnac.[4]
Silyleny získávané před prvním Westovým a Denkovým NHSi se rozkládaly za teplot pod 77 K. Původní Westův-Denkův NHSi [tBuN-CH=CH-tBuN]Si: je natolik stálý, že i po zahřátí jeho toluenového roztoku na 150 °C po dobu 4 měsíců nedošlo k rozkladu. Tato látka také nereaguje s Lewisovými zásadami a triethylsilanem, reaguje ovšem se vzduchem a vodou a při zahřátí na svoji teplotu tání 220 °C se rozkládá.[1][3] Nasycený NHSi bez navázaných substituentů, [tB-N-CH2CH2-tBuN]Si:, je daleko reaktivnější Lewisovou kyselinou a méně stálý, s rozkladem při 25 °C.[2]
Struktura

Pětičlenné NHSi lze dělit na skupiny podle struktur dvouuhlíkatých řetězců v jejich kruzích. Nasycené mají dvě methylenové jednotky, u nenasycených se vyskytují methinové skupiny, obsahující dvojné vazby, a benzo-NHSi mají na tento řetězec napojená benzenová jádra. Přestože jsou popsány i sloučeniny s jinými N substituenty, jako například aryly, tak se většinou zkoumají molekuly obsahující terc-butylové skupiny navázané na dusíky nasycených a nenasycených NHSi, zatímco benzo-varianty mají nejčastěji neopentylové skupiny.
Rentgenová krystalografie a elektronová difrakce ukazují významné rozdíly mezi nasycenými a nenasycenými strukturami. Úhly N-Si-N u nasycených terc-butylovaných NHSi jsou 92°, čímž mírně narušují C2-symetrii. U nenasycených analogů činí tyto úhly 90,5°, což vytváří rovinný C2v kruh. Nasycením uhlíkového řetězce se vazby N-Si zkrátí z 175,3 pm na 171,9 pm, jsou tak kratší, než by se dalo očekávat u jednoduchých vazeb mezi dusíkem a dvouvazným křemíkem. Větší délka vazeb u nenasycených sloučenin jsou způsobeny delokalizací volných elektronových párů dusíků přes vazby π uhlíkových atomů, což snižuje jejich Lewisovskou zásaditost vůči křemíku, což oslabuje a prodlužuje vazby N-Si. Celkovou povahu silylenu podporuje silný posun v 29Si NMR z +78,3 ppm na +119 ppm u nenasycených NHSi; jejich čtyřvazné prekurzory rezonují na -40,7 ppm.[2][5]
Aromaticita
Rozdíly ve struktuře a reaktivitě a zvýšená stabilita nenasycených kruhů jsou způsobovány tím, že alkenové vazby C=C vytváří s dvojicí volných elektronových párů na dusících 6π aromatické kruhy. Delokalizace π elektronů se projevuje na délce vazeb Si-N. V protonové nukleární magnetické rezonanci vinylové protony u [tBuN-CH=CH-tBuN]Si: rezonují na 6,75 ppm, zatímco u čtyřvazného dichloridového prekurzoru jde o 5,73 ppm a u čtyřvazného dihydridu NHSi-H2 se jedná o 6,00 pm. U sloučenin čtyřvazného křemíku prázdné 3p orbitaly Si narušují π kruh, což vyvolává posun signálu v důsledku ztráty aromatického proudu.[2] Velké rozdíly se vyskytují také v Ramanových spektrech NHSi a jeho čtyřvazných protějšků, jako jsou například NHSi-Cl2 a spiro-[tBuN-CH=CH-tBuN]2Si. Čtyřvazné silany vykazují natahování vazeb C=C na 1620 cm−1 a v případě [tBuN-CH=CH-tBuN]Si: se objevují rozdvojené rezonance C=C na 1566 cm−1 a 1573 cm−1, které jsou mnohem výraznější. U dvojvazných sloučenin je elektronová hustota posunuta z vazeb C=C bond na kruh a prázdný 3p orbital křemíku, což oslabuje vazbu C=C a vytváří pozorovanou změnu energie a rezonance C=C.[6]

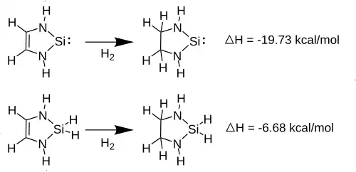
Několik výpočetních studií naznačuje aromatickou delokalizaci na nenasycených NHSi kruzích. Výpočty na základě teorie funkcionálu hustoty u NHSi-fosfonylových radikálových aduktů ukazují na větší delokalizaci elektronů na kruzích nenasycených NHSi (14 % Si, 65 % kruh), zatímo u nasycených je tomu naopak (58 % Si, 19 % kruh).[7] Aromaticitu potvrzují také vypočítané hydrogenační entalpie. Podle MP4/6-31G*//6-31G* je hydrogenace na nenasyceném dvojvazném křemíku NHSi o 54 kJ/mol exotermnější než odpovídající hydrogenace čtyřvazného silanu. Chemické posuny rezonancí v NMR zaměřených na kruh [HN-CH=CH-NH]Si: na -10,2 ppm naznačují vysokou míru delokalizace na nenasyceném NHSi kruhu. S ohledem na dokonale aromatický cyklopentadienylový anion, který má posun na -14,3 ppm tato data potvrzují aromaticitu NHSi.[8]
Elektronové vlastnosti
Výpočetními studiemi a fotoelektronovou spektroskopií byla získána podrobnější elektronová struktura NHSi. Příslušné π-vazebné orbitaly nenasycených pětičlenných NHSi lze jako molekulové orbitaly popsat jako spojení orbitalů diiminového řetězce, podobného pí orbitalům butadienu, a 3s a 3p orbitalů Si. Fotoelektronová spektra nenasyceného [tBuN-CH=CH-tBuN]Si: obsahují HOMO se třemi vrcholy, na -6,96 eV, -7,13 eV a -7,28 eV, potvrzující překryv 3py orbitalu křemíku s π3 diiminu, podobnými buta-1,3-dienu. HOMO u odpovídajících čtyřvazných Si-hydrogenovaných sloučenin nemají prázdné 3py orbitaly křemíku a energie π3 jsou destabilizovány na -6,56 eV, což je způsobeno dodáváním náboje v molekule silylenu z N na Si. HOMO-1 je ve stejné rovině jako volný pár Si zapojený do dodávání elektronů. Nebyl nalezen žádný rozdíl mezi HOMO-2 nenasyceného silylenu a příslušného orbitalu odpovídajícího silanu. Tento orbital byl původně považován za podobný π2 orbitalu diiminu, ovšem později přiřazen volným elektronovým párům dusíku. Obě tyto možnosti se ovšem symetricky nemohou překrýt s žádným orbitalem Si. HOMO-2 po hydrogenaci nemění svou energii, což naznačuje, že elektronové vlastnosti se hydrogenací příliš nemění a vliv N na Si ohledně dodávání π-elektronů do HOMO a HOMO-3 není velký. Výpočty také ukázaly zvýšené rozdíly energií u sloučenin typu N-H model (oproti N-tBu).[5][9] Studie srovnávající benzo-NHSi a etheneovité nenasycené NHSi ukázala, že HOMO má o 0,36 eV a volný pár Si o 0,34 eV nižší energii NHSi, což naznačuje odtahování elektronů fenylenovými kruhy a snížení nukleofility u benzo-NHSi.[9]
| Nasycené NHSi (C2) | Nenasycené NHSi (C2V) | NHSilan (C2V) |
|---|---|---|
| LUMO | LUMO | LUMO |
|
|
|
| HOMO (B) | HOMO (B2) | HOMO (B2) |
| -7,54 eV (vypočítáno -8,76) | -6,94, -7,13, -7,28 eV (vypočítáno -7,62) | -6,56 eV (vypočítáno -7,10) |
|
|
|
| HOMO - 1 (A) | HOMO - 1 (A1) | |
| -8,11 eV (vypočítáno -9,40) | -8,21 eV (vypočítáno -9,07) | |
|
|
Odpovídající orbital neexistuje
Žádné prázdné 3pπ u Si |
| HOMO - 2 (A2) | HOMO -1(A2) | |
| -9,08 eV (vypočítáno -11,32) | -8,92 V (vypočítáno. -11,32) | |
| Odpovídající orbital neexistuje
U nasycených NHSi nejsou přítomny p orbitaly, které by se překrývaly s volnými páry dusíku |
|
|
Výše uvedená tabulka ukazuje orbitaly, označené podle obsazení a uspořádané vodorovně podle symetrie orbitalů. Vytvořené jsou na základě výpočtů z roku 1994. Experimentální energie jsou podle fotoelektronové spektroskopie, vypočítané energie podle N,N'-hydridovitých NHSi v diagramu MO (energie a symetrie LUMO znázorněny nejsou).

Analýza přirozených vazebných orbitalů [HN-CH=CH-NH]Si: poskytuje silné teoretické důkazy delokalizace π elektronů. Výpočty ukazují obsazení formálně prázdného 3py orbitalu křemíku 0,54 elektrony (u čistě šesti-π-elektronového pětiatomového kruhu by se dalo očekávat 1,2 elektronu). Nasycený silylen má menší delokalizaci přes heteroallylový N-Si-N systém, kde se na Si nachází pouze 0,33 elektronu, oproti 1,33 u dokonalého sdílení 4 elektronů 3 atomy. Žádné rozdíly v rozdělení náboje nebyly pozorovány u interakcí vazeb σ mezi Si a N jednotlivých NHSi a NHC. Ve srovnání s odpovídajícími σ vazbami Si-N má nenasycený silylen menší oddělení náboje na vazbě Si-N než příslušná nasycená sloučenina: u nenasyceného činí náboje +0,87 u Si a -1,00 u každého N, zatímco nasycený má náboje +1,05 na Si a -1,12 na N. Tato data ukazují, že stabilizace a rozdíly vazeb mezi postranními řetězci jsou způsobené pouze π interakcemi. Oproti tomu má odpovídající germylen na germaniu náboj blízký +1 a karben na karbenovém uhlíku nemá téměř žádný. Podle výpočtů dochází u chloridů kovů 11. skupiny (například NHSi-CuCl) ke zvýšení elektronové hustoty v 3py orbitalech, na vazbách N-Si a atomech Si. Tato změna je způsobena dodáváním sigma elektronů z křemíku na kov, jež způsobuje přesun elektronové hustoty z 3p orbitalů křemíku mimo kruh. Zpětné dodávání CuCl a AgCl na Si je přibližně 4,5krát slabší než σ interakce. U všech tří kovů 11. skupiny jsou NHSi lepšími σ donory a π akceptory než příslušné germylenu a karbeny.[10][8]
Reakce s prvky hlavní skupiny
N-heterocyklické silyleny reagují s mnoha sloučeninami prvků hlavní skupiny, přičemž dochází k adicím na nenasycené vazby nebo navázáním navázáním jednoduchých vazeb, za vzniku čtyřvazných N-heterocyklických silanů.
Tetramerizace
V koncentrovaných roztocích nasycený nesubstituovaný silylen [tBuN-CH2CH2-tBuN]Si: vytváří tetramer obsahující dvojnou vazbu Si-Si. Nejprve se jedna molekula NHSi naváže dvojvazným křemíkem na vazbu N-Si jiné molekuly, což vytvoří bicyklický meziprodukt s čtyřvazným křemíkem napojeným na dvojvazný silylen. Tento dimer se poté sám dimerizuje za vzniku čtyřkřemíkatého silenu délky vazeb Si=Si v něm jsou 229 pm. Reakcí tetrameru s methanolem se tvoří smíšený adukt dimeru a methanolu, ne asukt silenu a dimeru. Dvojná vazba mezi terc-butylovanými NHSi je nnestabilní.[11] Nenasycené a substituované nasycené NHSi, jako je 4,5-dimethyl-[tBuN-CHMeCH-tBuN]Si:, takto nereagují a zůstávají monomerními.[12]Podobně nesubstituované NHSi reagují s N heterocyklickými germyleny za vzniku křemíkatých germenů.[3]
Reakce s chalkogeny
Reakcemi NHSi s kyslíkem se štěpí diiminové řetězce a vzniká oxid křemičitý, pravděpodobně přes dva NHSi-dioxomůstkové meziprodukty. Reakcí s jedním ekvivalentem S8 vznikají dithio-můstkové komplexy. Tvorba dithiodimeru probíhá přes thiosilylon, obsahující dvojnou vazbu Si-S. Nadbytek síry vede k oligomeům typu NHSi(S2)(SiS2)nNHSi a současnému odštěpení diiminu. Obdobná reakce se selenem je výrazně pomalejší, ale utvářejí se při ní pouze di-NHSi s diselenovými můstky.[13]
Reakce s vazbami σ
NHSi se mohou navazovat na vazby σ za vzniku koncových silanovitých sloučenin, NHSi-NHSi disalanových můstků, nebo oxo-můstkových NHSi siloxanů. S alkoholy vytvářejí silylethery. Ve vodě se dvě molekuly NHSi navzájem navážou na své vazby O-H za vzniku siloxanů. Různorodou reaktivitu mají s halogenalkany. NHSi se přímo navazují na vazby C-I v jodmethanu. Při reakcích nasycených nebo nenasycených NHSi s dichlormethanem, chloroformem nebo tetrachlormethanem křemíková centra dvou NHSi vytvoří vazbu, kdy se jeden halogen napojí na jeden křemík a zbytek molekuly na druhý. S ostatními halogenderiváty se utváří směsi mono- a disilanových produktů. Výpočetní studie naznačují, že tvorba těchto produktů probíhá radikálovým mechanismem, který má v jednotlivých případech o 65 až 95 kJ/mol nižší energii než odpovídající soustředěný mechanismus. Po zahřátí se disalany mohou disproporcionovat na NHsilany a NHsilyleny, případně vytvořit jednouhlíkový můstek mezi dvojicí NHSi-X fragmentů, podobně jako při reakcích s vodou. Je-li přítomen chlorid křemičitý, tak se benzo-NHSi navazují mezi dvě vazby Si-Cl za vzniku trisilanů.[14][4]
Reakce s vazbami π
Reakce NHSi s nenasycenými sloučeninami vedou k adicím na násobné vazby a tvorbě spirosloučenin, obsahujících jeden nebo dva ekvivalenty sloučenin křemíku odvozených od NHSi. Alkeny a alkyny s NHSi reagují pouze tehdy, když jsou jejich vazby C-C bond silně polarizované, například fenyltrimethylsilylacetylen vytváří s jedním ekvivalentem NHSi silikocyklopropen a se dvěma disilikocyklobuten. Dva ekvivalenty benzo-NHSi vytváří s ketony disilyloxetany a, v závislosti na uhlíkatých substituentech, i jiné produkty.
Dieny, včetně heterodienů, jako je benzil nebo N,N'-diterbutyl-1,4-diazabutadien ([tBuN-CH=CH-tBuN]), vstupují do [4+1] reakcí za vzniku molekul s dvěma pětičlennými kruhy, které mají společný atom křemíku.[2][4]
Iminy nereagují s cyklickými silyleny v jednoduchých adicích: benzo-NHSi reagují s diiminem a ortho uhlíky N-terc-butylfenyliminu za tvorby pětičlenných kruhů obsahujících křemík z NHSi, jeden uhlík a dusík z iminu a ipso a para uhlíky fenylu, přičemž u meziproduktu je aromaticita fenylové skupiny narušená.[15]
NHSi se mohou také navazovat na vazby C-N v nitrilech, kde nejprve vzniká tříčlenný kruh, z nějž se poté působením druhého ekvivalentu NHSi vytvoří kruh čtyřčlenný, podobně jako u reakcí s alkyny. terc-butylizokyanid se zde chová více jako alkylhalogenid, kdy tvoří terc-butylový fragment jednoduchou vazbu s křemíkem a s uhlíkem izokyanidové skupiny, neb se dvěma molekulami NHSi, kde vzniká acyklický tBu-Si-Si-CN.[16] Sloučeniny obsahující jednu vazbu NHSi-nitril se z malé části přeměňují na křemíkové isonitrily.[3]
Jako Lewisovy kyseliny
N-heterocyklické silyleny se většinou chovají jako Lewisovy zásady, ovšem ojediněle tomu může být jinak. S Lewisovou kyselinou tris(pentafluorofenyl)boranem se vytváří očekávaný adukt, ovšem po delší době se křemík navazuje na vazbu B-C, což způsobuje oxidaci silylenu na silan.[17] Zřídkakdy se NHSi chovají i jako Lewisovy kyseliny. Reakcí N,N' dineopentyl-benzo-NHSi s odpovídajícími karbeny se vytváří dlouhé a vysoce polarizované vazby C-Si. Z karbenového uhlíku se stává karbokation, který zůstává téměř rovinný, zatímco pyramidalizovaný křemík získává záporný náboj.[18][3]
Koordinace na přechodné kovy
N-heterocyklické silyleny jako ligandy
I přes menší rozmanitost a méně využití než u lehčích analogů, N-heterocyklických karbenů, jsou známy N-heterocyklické silylenové ligandy na řada jejich komplexů. Oproti většině ostatních silylenů, fungujících jako Lewisovy kyseliny, se stabilní pětičlenné NHSi chovají téměř výhradně jako Lewisovy zásady a nukleofily, podobně jako N-heterocyklické karbeny a jako fosfiny.[2] Nasycené i nenasycené pětičlenné NHSi mají velké rozdíly energií mezi singletovými a tripletovými stavy.[5] Tyto velké rozdíly způsobují, že elektoronová hustota se hromadí v rovině σ-donorového volného páru Si a dodávání π elektronů z kruhu stabilizuje jinak prázdný pπ orbital Si.[2] NHSi vytvářejí, i když jen slabé, zpětné dodávání π elektronů do 3p orbitalů křemíku, což se projevuje zkrácením vazeb NHSi-kov oproti běžným jednoduchým vazbám mezi atomy křemíku a kovů. V komplexu [tBuN-CH=CH-tBuN]Si:–Fe(CO)4 může NHSi snadno nahradit karbonyly, jež se vyznačují silným zpětným dodáváním π elektronů. U trigonálně bipyramidálního železa je NHSi v ekvatoriální poloze, protože kratší ekvatoriální vazby Fe-Si oproti axiálním (219,6 pm oproti 223,7 pm) umožňují lepší překryv kyselých 3p orbitalů s d orbitaly kovu.[19]
Stericky se NHSi podobají NHCs, ale menší úhel N-Si-N (okolo 90°) a delší vazby Si-N (kolem 173 pm) a délky vazeb Si-kov v porovnání s úhlem N-C-N (~100°), délkami vazeb C-N (kolem 137 pm) a C-kov znamenají, že NHSi vytvářejí slabší sterické efekty, což způsobuje odlišnou reaktivitu, než jakou vykazují karbeny.[4]
Komplexy s přechodnými kovy a jejich reaktivita
N-heterocyklické silyleny mohou lehce nahradit karbonylové, cyklooktadienové a fosfinové ligandy v komplexech kovů. Silyleny mohou s kovy reagovat i navázáním se na vazby kov-ligand, případně fungovat jako redukční činidla. [tBuN-CH=CH-tBuN]Si: vytváří s molybdocenem dva různé adukty, jejichž tvorba závisí na použitém molybdenovém prekurzoru. U Mo(Cp)2(PEt3) dochází k nahrazení fosfinu, zatímco u Mo(Cp)2H2 se NHSi naváže na vazbu kov-hydrid za vzniku silanového ligandu. Orbitaly produktu reakce s triethylfosfinem nejsou schopné vytvářet π interakce, což ukazuje 29Si NMR signál na 139,3 ppm, odpovídající siliceniové (Si+) povaze, zatímco molybdosilan má rezonanci na 43,6 ppm.[20][19]
Jak je uvedeno výše, tak nenasycené NHSi reagují s Fe2(CO)9 za tvorby axiálních i ekvatoriálních Fe(CO)4NHSi. Obdobně reagují NHSi také s Ru3(CO)12 za vzniku axiálně trans-disubstituovaného Ru(CO)3(NHSi)2.[19] Reakcí [tBuN-CH=CH-tBuN]Si: s Cp*Ru(MeCN)3OTf se, s vysokou výtěžností, tvoří Cp*RuCl(MeCN)2(NHSi)OTf. Po zahřátí dva ekvivalenty Cp*RuCl(MeCN)2(NHSi)+ odštěpí dva acetonitrilové ligandy a jeden NHSi, čímž se vytvoří dirutheniový komplex, ve kterém je jedna RuCp* jednotka η1-koordinována na NHSi, zatímco druhé Cp*Ru centrum je η5-koordinováno se 6 elektrony aromatického kruhu vytvořeného nenasyceným NHSi kruhem.[21]
NiCl2(PPh3)2 reaguje se 4 ekvivalenty benzo-NHSi za tvorby Ni(NHSi)3(PPh3) a s 5 ekvivalenty vytváří tetrakis-NHSi komplex. Jeden ekvivalent NHSi navíc je nutný k redukci Ni centra, která dává vzniknout 1 ekvivalentu NHSiCl2. Nasycené i nenasycené pětičlenné NHSi reagují s Pd(P(t-but)3)2, kde se vytváří dva komplexy Pd se dvěma koncovými a dvěma můstkovými NHSi. Tento nestabilní meziprodukt se mění na stálejší komplex s můstkovými silyleny a dvěma koncovými fosfiny. Podobně Pd(cod)2 prekurzory nemohou vytvořit Pd(NHSi)4, ovšem redukcí Pd(cod)Me2 6 ekvivalenty NHSi vzniká Pd[NHSinenasycený]3 nebo Pd[NHSinenasycený]4. Pd[NHSinenasycený]3 lze získat i reakcí Pd koordinovaného s pouze dvěma N,N' terc-butyl NHC se 3 ekvivalenty NHSi. Silnější sterické efekty NHC umožňují Pd navázat pouze 2 ligandy a NHSi má o 15 kJ/mol silnější vazbu s Pd než NHC.[22][4]
Mimo to, že jsou zajímavými modely pro zkoumání struktury a vazeb sloučenin nízkovazného křemíku, tak komplexy NHSi a přechodných kovů mohou sloužit jako aktivní katalyzátory některých průmyslových reakcí. Fosfinové komplexy palladia obsahující disilylenové můstky, poprvé připravené v roce 2001, mají palladium v oxidačním čísle 0 a účinně katalyzují Suzukiovy reakce. Při použití 5 mol% snadno připravitelné NHSi-můstkové komplexy Pd mohou vytvářet vazby uhlík-uhlík mezi kyselinou fenylboronovou a o-bromacetofenonem s 88% výtěžností.[23] Mimo to Pd(NHSi)(Cl)(C3H5), získaný z [Pd(Cl)(C3H5)]2 a [tBuN-CH=CH-tBuN]Si:, je při Heckových reakcích účinnější než odpovídající karben. Při použití 1 % katalyzátoru za teploty 140 °C palladnatý komplex silylenu katalyzuje reakci p-bromacetofenonu se styrenem, trvající 4 hodiny, s výtěžností nad 99 %. Karbenový komplex za stejných podmínek vedl k pouze 91% výtěžnosti, takže jsou silyleny v důsledku svých sterických vlastností lepšími katalyzátory.[24]
Odkazy
Externí odkazy
Obrázky, zvuky či videa k tématu N-heterocyklické silyleny na Wikimedia Commons
Reference
V tomto článku byl použit překlad textu z článku N-heterocyclic silylene na anglické Wikipedii.
- ↑ a b DENK, Michael; LENNON, Robert; HAYASHI, Randy; WEST, Robert; BELYAKOV, Alexander V.; VERNE, Hans P.; HAALAND, Arne. Synthesis and Structure of a Stable Silylene. Journal of the American Chemical Society. 1994-03-01, s. 2691–2692. ISSN 0002-7863. doi:10.1021/ja00085a088.
- ↑ a b c d e f g WEST, R.; DENK, Michael. Stable silylenes: synthesis, structure, reactions. Pure and Applied Chemistry. 1996-01-01, s. 785–788. ISSN 1365-3075. doi:10.1351/pac199668040785.
- ↑ a b c d e HAAF, Michael; SCHMEDAKE, Thomas A.; WEST, Robert. Stable Silylenes. Accounts of Chemical Research. 2000-10-01, s. 704–714. ISSN 0001-4842. doi:10.1021/ar950192g. PMID 11041835.
- ↑ a b c d e f ASAY, Matthew; JONES, Cameron; DRIESS, Matthias. N-Heterocyclic Carbene Analogues with Low-Valent Group 13 and Group 14 Elements: Syntheses, Structures, and Reactivities of a New Generation of Multitalented Ligands†. Chemical Reviews. 2011-02-09, s. 354–396. ISSN 0009-2665. doi:10.1021/cr100216y. PMID 21133370.
- ↑ a b c DENK, Michael; GREEN, Jennifer C.; METZLER, Nils; WAGNER, Matthias. Electronic structure of a stable silylene: photoelectron spectra and theoretical calculations of Si(NRCHCHNR), Si(NRCH2CH2NR) and SiH2(NRCHCHNR). Journal of the Chemical Society, Dalton Transactions. 1994-01-01, s. 2405. ISSN 0300-9246. doi:10.1039/dt9940002405.
- ↑ LEITES, L.A; BUKALOV, S.S; DENK, M; WEST, R; HAAF, M. Raman evidence of aromaticity of the thermally stable silylene (t BuNCH CHN t Bu)Si. Journal of Molecular Structure. 2000-09-01, s. 329–335. ISSN 0022-2860. doi:10.1016/s0022-2860(00)00395-1.
- ↑ SHEBERLA, Dennis; TUMANSKII, Boris; TOMASIK, Adam C.; MITRA, Amitabha; HILL, Nicholas J.; WEST, Robert; APELOIG, Yitzhak. Different electronic structure of phosphonyl radical adducts of N-heterocyclic carbenes, silylenes and germylenes: EPR spectroscopic study and DFT calculations. Chemical Science. 2010-01-01, s. 234. ISSN 2041-6520. doi:10.1039/c0sc00143k.
- ↑ a b BOEHME, Christian; FRENKING, Gernot. N-Heterocyclic Carbene, Silylene, and Germylene Complexes of MCl (M = Cu, Ag, Au). A Theoretical Study1. Organometallics. 1998-12-01, s. 5801–5809. ISSN 0276-7333. doi:10.1021/om980394r.
- ↑ a b BLAKEMAN, Philip; GEHRHUS, Barbara; GREEN, Jennifer C.; HEINICKE, Joachim; LAPPERT, Michael F.; KINDERMANN, Markus; VESZPRÉMI, Tamás. Electronic structure of stable benzodiazasilylenes: photoelectron spectra and quantum-chemical investigations. Journal of the Chemical Society, Dalton Transactions. 1996-01-01, s. 1475–1480. ISSN 0300-9246. doi:10.1039/dt9960001475.
- ↑ BOEHME, Christian; FRENKING, Gernot. Electronic Structure of Stable Carbenes, Silylenes, and Germylenes. Journal of the American Chemical Society. 1996-01-01, s. 2039–2046. ISSN 0002-7863. doi:10.1021/ja9527075.
- ↑ SCHMEDAKE, Thomas A.; HAAF, Michael; APELOIG, Yitzhak; MÜLLER, Thomas; BUKALOV, Sergey; WEST, Robert. Reversible Transformation between a Diaminosilylene and a Novel Disilene. Journal of the American Chemical Society. 1999-10-01, s. 9479–9480. ISSN 0002-7863. doi:10.1021/ja992150j.
- ↑ LI, Wenjian; HILL, Nicholas J.; TOMASIK, Adam C.; BIKZHANOVA, Galina; WEST, Robert. A New Monomeric Saturated N-Heterocyclic Silylene as a Racemic Mixture. Organometallics. 2006-07-01, s. 3802–3805. ISSN 0276-7333. doi:10.1021/om060544v.
- ↑ HAAF, Michael; SCHMIEDL, Andreas; SCHMEDAKE, Thomas A.; POWELL, Douglas R.; MILLEVOLTE, Anthony J.; DENK, Michael; WEST, Robert. Synthesis and Reactivity of a Stable Silylene. Journal of the American Chemical Society. 1998-12-01, s. 12714–12719. ISSN 0002-7863. doi:10.1021/ja9733999.
- ↑ JOO, Hyun; MCKEE, Michael L. Computational Study of the "Stable" Bis(amino)silylene Reaction with Halomethanes. A Radical or Concerted Mechanism?. The Journal of Physical Chemistry A. 2005-04-01, s. 3728–3738. ISSN 1089-5639. doi:10.1021/jp044458p. PMID 16839041.
- ↑ GEHRHUS, Barbara; HITCHCOCK, Peter B.; LAPPERT, Michael F. The Thermally Stable Silylene Si[{N(CH2But)}2C6H4-1,2]: Reactivity toward CN Double Bonds. Organometallics. 1998-03-01, s. 1378–1382. ISSN 0276-7333. doi:10.1021/om9709603.
- ↑ GEHRHUS, Barbara; LAPPERT, Michael F. Reactions of the stable bis(amino)silylene with multiply bonded compounds. Polyhedron. 1998-03-01, s. 999–1000. ISSN 0277-5387. doi:10.1016/s0277-5387(97)00206-4.
- ↑ METZLER, Nils; DENK, Michael. Synthesis of a silylene–borane adduct and its slow conversion to a silylborane. Chemical Communications. 1996-01-01, s. 2657–2658. ISSN 1359-7345. doi:10.1039/cc9960002657.
- ↑ MARCO BOESVELD, W.; GEHRHUS, Barbara; HITCHCOCK, Peter B.; LAPPERT, Michael F.; VON RAGUÉ SCHLEYER, Paul. A crystalline carbene–silylene adduct 1,2-C6H4[N(R)]2C-Si[N(R)]2C6H4-1,2 (R = CH2But); synthesis, structure and bonding in model compounds†. Chemical Communications. 1999-01-01, s. 755–756. ISSN 1359-7345. doi:10.1039/a900784i.
- ↑ a b c BLOM, Burgert; STOELZEL, Miriam; DRIESS, Matthias. New Vistas in N-Heterocyclic Silylene (NHSi) Transition-Metal Coordination Chemistry: Syntheses, Structures and Reactivity towards Activation of Small Molecules. Chemistry-A European Journal. 2012-12-11, s. 40–62. ISSN 0947-6539. doi:10.1002/chem.201203072. PMID 23229274.
- ↑ PETRI, Stefan H. A.; EIKENBERG, Dirk; NEUMANN, Beate; STAMMLER, Hans-Georg; JUTZI, Peter. Reaction of Molybdenocene and Tungstenocene Derivatives with the Divalent Silicon Species SiNtBuCHCHNtBu and (C5Me5)2Si. Organometallics. 1999-07-01, s. 2615–2618. ISSN 0276-7333. doi:10.1021/om990115f.
- ↑ DYSARD, Jeffrey M.; TILLEY, T. Don. Synthesis and Reactivity of (Pentamethylcyclopentadienyl)ruthenium Complexes of the Stable Neutral Silylene Si(tBuNCHCHNtBu). Organometallics. 2000-11-01, s. 4726–4732. ISSN 0276-7333. doi:10.1021/om000517j.
- ↑ ZELLER, Alexander; BIELERT, Frank; HAERTER, Peter; HERRMANN, Wolfgang A.; STRASSNER, Thomas. Replacement of N-heterocyclic carbenes by N-heterocyclic silylenes at a Pd(0) center: Experiment and theory. Journal of Organometallic Chemistry. 2005-07-01, s. 3292–3299. ISSN 0022-328X. doi:10.1016/j.jorganchem.2005.03.061.
- ↑ FÜRSTNER, Alois; KRAUSE, Helga; LEHMANN, Christian W. Preparation, structure and catalytic properties of a binuclear Pd(0) complex with bridging silylene ligands. Chemical Communications. 2001-01-01, s. 2372. ISSN 1359-7345. doi:10.1039/b108132b. PMID 12240081.
- ↑ ZHANG, Ming; LIU, Xiaoli; SHI, Chaojun; REN, Chunxia; DING, Yuqiang; ROESKY, Herbert W. The Synthesis of (η3-C3H5)Pd{Si[N(tBu)CH]2}Cl and the Catalytic Property for Heck Reaction. Zeitschrift für Anorganische und Allgemeine Chemie. 2008-08-01, s. 1755–1758. ISSN 0044-2313. doi:10.1002/zaac.200800131.









