Methionin gama lyáza
Methionin gama lyáza (EC 4.4.1.11, MGL) je enzym přeměňující sirné aminokyseliny na α-ketokyseliny, amoniak, a thioly:
- L-methionin + H2O → methanthiol + NH3 + 2-oxobutanoát (celková rovnice)
- (1a) L-methionin → methanthiol + 2-aminobut-2-enoát
- (1b) 2-aminobut-2-enoát → 2-iminobutanoát (samovolná reakce)
- (1c) 2-iminobutanoát + H2O → 2-oxobutanoát + NH3 (samovolná reakce)
Sirné aminokyseliny se účastní několika biologických dějů, a metabolismus těchto aminokyselin má tak značný význam; například udržuje nízkou hladinu homocysteinu, což je důležité pro řadu metabolických drah, a tím brání, aby se projevily jeho toxické účinky.[1]
Methionin γ-lyáza byla nalezena u bakterií (Clostridiums porogenes, Pseudomonas ovalis, Pseudomonas putida, Aeromonas sp., Citrobacter intermedius, Brevibacterium linens, Citrobacter freundii, Porphyromonas gingivalis, Treponema denticola), parazitických prvoků (Trichomonas vaginalis, Entamoeba histolytica), a u rostlin (huseníček rolní).[2]
Kofaktorem methionin gama lyáz je pyridoxalfosfát.
Struktura
Methionin gama lyázy obsahují 389 až 411 aminokyselin a vytváří čtyři shodné podjednotky. Aktivní molekula je tvořená dvojicí těsně přidružených dimerů, přičemž se aktivní místo nachází na jejich rozhraní. Jednotlivé dimery mají jako kofaktory molekuly pyridoxal-5’-fosfátu (PLP). Reakcí se účastní šest aminokyselin v okolí aktivního místa, Tyr59, Arg61, Tyr114, Cys116, Lys240, a Asp241;[2] Cys116 není u ostatních enzymů skupiny PLP-γ běžný, místo něj se zpravidla objevuje glycin nebo prolin. Cys116 a MGL ani methioninový substrát nejsou v přímém kontaktu, tato aminokyselina má ale vliv na zachování specifity substrátu.[3]
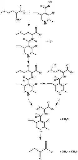
Reakční mechanismus

Methionin gama lyáza (číslo EC 4.4.1.11) katalyzuje tuto reakci:
L-methionin + H2O methanthiol + NH3 + 2-oxobutanoát
Substráty tohoto enzymu jsou tedy L-methionin a voda (H2O), a produkty methanthiol, amoniak (NH3), a 2-oxobutanoát.
MGL může také katalyzovat α, β-eliminační reakci L-cysteinu, degradaci O-substituovaného serinu či homoserinu, a deaminaci a γ-adici L-vinylglycinu. Na začátku se aminová substrátu naváže na pyridoxalfosfát za tvorby Schiffovy zásady. Po nahrazení aminové skupiny zbytkem lysinu se vytvoří vnější aldimin a vodíky substrátu se přesunou na pyridoxalfosfát. Sousedící tyrosin zafunguje jako kyselý katalyzátor, jenž atakuje substrát, což vede k odštěpení thiolové skupiny. V posledním kroku se z pyridoxalfosfátu oddělí α-ketokyselina a amoniak.[2]
Funkce
Protože se substrátová specifita MGL u různých organismů liší, tak má tento enzym rozdílné fyziologické účinky. U anaerobních bakterií a parazitických prvoků MGL z methioninu vytváří 2-oxobutyrát, který je následně rozkládán acetát-CoA ligázou a vytváří ATP, a tak se podílí na metabolismu ATP. MGL má také vliv na patogenitu ústních bakterií, jako například P. gingivalis; byla zjištěna korelace mezi přítomností MGL a zvýšením míry přežití u myší, kterým byla podána podkožní injekce této bakterie. U B. linens, bakterie podílející se na zrání sýrů, souvisí činnost MGL s metabolismem sacharidů.[4]
U rostlin byla v suchých semenech nalezena MGL-mRNA, ale ne volná podoba této bílkoviny; enzym ovšem vykazuje vysokou míru exprese genu ve vlhkých semenech, což naznačuje, že se účastní raného klíčení. MGL se také pravděpodobně zapojuje do tvorby těkavých sloučenin síry, například methanthiolu, v poškozených listech, za účelem ochrany před hmyzem; není ale známo, zda je přítomen u kvajávy, kde byl takový mechanismus pozorován poprvé, a jestli proces u jiných rostlin probíhá podobně.[5]
Izozymy MGL jsou popsány pouze u prvoků E. histolytica a T. vaginalis, liší se v účinnosti ohledně odbourávání methioninu, homocysteinu, a cysteinu. U E. histolytica je MGL odvozena od archeálního MGL, zatímco v případě T. vaginalis se MGL více podobá bakteriálnímu, gen pro MGL se tedy u těchto druhů objevil nezávisle.[6]
Vývoj léčiv
Trifluormethionin (TFM) je proléčivo založené na fluorovaném methioninu, jehož toxicita se projevuje až po rozkladu prostřednictvím MGL. TFM zpomaluje růst anaerobních mikroorganismů (Mycobacterium smegmatis, Mycobacterium phlei, Candida lipolytica), ústních bakterií (P. gingivalis, F. nucleatum), a parazitických prvoků (E. histolytica, T. vaginalis). Účinkuje také in vivo. Toxicita TFM vůči buňkám savců je nízká, protože se u nich nevyskytuje MGL.[7]
Léčba nádorů
Některé nádory, například glioblastomy, meduloblastom, a neuroblastom, jsou výrazně citlivější na nedostatek methioninu než zdravé tkáně, snížení dostupnosti methioninu tak lze využít k jejich léčbě; methionin gama lyázy se tak zkoumají jako prostředky ke snížení hladiny methioninu v krevním séru a ničení nádorových buněk či omezení jejich růstu.[8]
Odkazy
Reference
V tomto článku byl použit překlad textu z článku Methionine gamma-lyase na anglické Wikipedii.
- ↑ M. H. Stipanuk. Sulfur amino acid metabolism: pathways for production and removal of homocysteine and cysteine. Annual Review of Nutrition. 2004, s. 539–577. doi:10.1146/annurev.nutr.24.012003.132418. PMID 15189131.
- ↑ a b c d D. Sato; T. Nozaki. Methionine γ-lyase: the unique reaction mechanism, physiological roles, and therapeutic applications against infectious diseases and cancers. IUBMB Life. 2009, s. 1019–1028. doi:10.1002/iub.255. PMID 19859976.
- ↑ D. Kudou; S. Misaki; M. Yamashita; T. Tamura; N. Esaki; K. Inagaki. The role of cysteine 116 in the active site of the antitumor enzyme L-methionine gamma-lyase from Pseudomonas putida. Bioscience, Biotechnology, and Biochemistry. 2008, s. 1722–1730. doi:10.1271/bbb.80015. PMID 18603802.
- ↑ T. Nozaki; V. Ali; M. Tokoro. Sulfur-containing amino acid metabolism in parasitic protozoa. Advances in Parasitology. 2005, s. 1–99. ISBN 9780120317608. doi:10.1016/S0065-308X(05)60001-2. PMID 16230102.
- ↑ R. L. Rouseff; E. O. Onagbola; J. M. Smoot; L. L. Stelinski. Sulfur volatiles in guava (Psidium guajava L.) leaves: possible defense mechanism. Journal of Agricultural and Food Chemistry. 2008, s. 8905–8910. doi:10.1021/jf801735v. PMID 18778077. Bibcode 2008JAFC...56.8905R.
- ↑ F. W. Alexander; E. Sandmeier; P. K. Mehta; P. Christen. Evolutionary relationships among pyridoxal-5'-phosphate-dependent enzymes. Regio-specific alpha, beta and gamma families. European Journal of Biochemistry. 1994, s. 953–960. doi:10.1111/j.1432-1033.1994.tb18577.x. PMID 8112347.
- ↑ G. H. Coombs; J. C. Mottram. Trifluoromethionine, a prodrug designed against methionine gamma-lyase-containing pathogens, has efficacy in vitro and in vivo against Trichomonas vaginalis. Antimicrobial Agents and Chemotherapy. 2001, s. 1743–1745. doi:10.1128/AAC.45.6.1743-1745.2001. PMID 11353620.
- ↑ H. S. Fernandes; C. S. Silva Teixeira; P. A. Fernandes; M. J. Ramos; N. M. F. S. A. Cerqueira. Amino acid deprivation using enzymes as a targeted therapy for cancer and viral infections. Expert Opinion on Therapeutic Patents. 2016-11-04, s. 283–297. ISSN 1354-3776. doi:10.1080/13543776.2017.1254194. PMID 27813440.
Literatura
- Ali V, Nozaki T. Current therapeutics, their problems, and sulfur-containing-amino-acid metabolism as a novel target against infections by "amitochondriate" protozoan parasites. Clinical Microbiology Reviews. Jan 2007, s. 164–187. doi:10.1128/CMR.00019-06. PMID 17223627.
- Bonnarme P, Psoni L, Spinnler HE. Diversity of L-methionine catabolism pathways in cheese-ripening bacteria. Applied and Environmental Microbiology. Dec 2000, s. 5514–5517. doi:10.1128/aem.66.12.5514-5517.2000. PMID 11097940. Bibcode 2000ApEnM..66.5514B.
- Kreis W, Hession C. Isolation and purification of L-methionine-alpha-deamino-gamma-mercaptomethane-lyase (L-methioninase) from Clostridium sporogenes. Cancer Research. Aug 1973, s. 1862–1865. PMID 4720797.
- Sato D, Karaki T, Shimizu A, Kamei K, Harada S, Nozaki T. Crystallization and preliminary X-ray analysis of L-methionine gamma-lyase 1 from Entamoeba histolytica. Acta Crystallographica Section F. Aug 2008, s. 697–699. doi:10.1107/S1744309108018691. PMID 18678935.
- Sato D, Yamagata W, Kamei K, Nozaki T, Harada S. Expression, purification and crystallization of L-methionine gamma-lyase 2 from Entamoeba histolytica. Acta Crystallographica Section F. Oct 2006, s. 1034–1036. doi:10.1107/S1744309106036694. PMID 17012806.
- Sato D, Yamagata W, Harada S, Nozaki T. Kinetic characterization of methionine gamma-lyases from the enteric protozoan parasite Entamoeba histolytica against physiological substrates and trifluoromethionine, a promising lead compound against amoebiasis. The FEBS Journal. Feb 2008, s. 548–560. doi:10.1111/j.1742-4658.2007.06221.x. PMID 18199285.
- Tokoro M, Asai T, Kobayashi S, Takeuchi T, Nozaki T. Identification and characterization of two isoenzymes of methionine gamma-lyase from Entamoeba histolytica: a key enzyme of sulfur-amino acid degradation in an anaerobic parasitic protist that lacks forward and reverse trans-sulfuration pathways. The Journal of Biological Chemistry. Oct 2003, s. 42717–42727. doi:10.1074/jbc.M212414200. PMID 12920135.
- Wald DS, Law M, Morris JK. Homocysteine and cardiovascular disease: evidence on causality from a meta-analysis. BMJ. Nov 2002, s. 1202–1206. doi:10.1136/bmj.325.7374.1202. PMID 12446535.