Longifolen
| Longifolen | |
|---|---|
![]() Strukturní vzorec | |
| Obecné | |
| Systematický název | (1R,2S,7S,9S)-3,3,7-trimethyl-8-methylentricyklo[5.4.0.02,9]undekan |
| Sumární vzorec | C15H24 |
| Vzhled | olejovitá kapalina |
| Identifikace | |
| Registrační číslo CAS | 475-20-7 16845-09-6 (-izomer) |
| EC-no (EINECS/ELINCS/NLP) | 207-491-2 |
| PubChem | 1796220 |
| ChEBI | 49282 |
| SMILES | C[C@]12CCCC([C@@H]3[C@H]1CC[C@@H]3C2=C)(C)C |
| InChI | InChI=1S/C15H24/c1-10-11-6-7-12-13(11)14(2,3)8-5-9-15(10,12)4/h11-13H,1,5-9H2,2-4H3/t11-,12-,13+,15-/m1/s1 |
| Vlastnosti | |
| Molární hmotnost | 204,35 g/mol |
| Teplota varu | 254 °C (527 K) (94 kPa) |
| Hustota | 0,928 g/cm3 |
Některá data mohou pocházet z datové položky. | |
Longifolen je kapalný uhlovodík vyskytující se jako výševroucí složka pryskyřic některých druhů borovic. Název je odvozen od borovice dlouholisté, ze které byl izolován.[1]
Z chemického hlediska jde o tricyklický seskviterpen. Molekula je chirální, v přírodě je běžnější (+)-enantiomer, vyskytující se v borovicích i dalších vyšších rostlinách; jeho specifická rotace činí +42,73°. Opačný (−)-enantiomer (specifická rotace −42,73°) se nachází v některých houbách a játrovkách.
Longifolen je také jednou ze dvou hlavních aromatických složek čaje lapsang souchong, do kterého se dostává z kouře z borovicového dřeva spalovaného v ohních při jeho přípravě.[2]
Výskyt a příprava
Pryskyřice borovice dlouholisté (Pinus roxburghii, dříve Pinus longifolia) může obsahovat až 20 % longifolenu.[3]
Laboratorní přípravou longifolenu se zabývalo několik článků.[4][5][6][7][8][9][10]
![]() |
| Coreyova totální syntéza longifolenu |
|---|
Biosyntéza
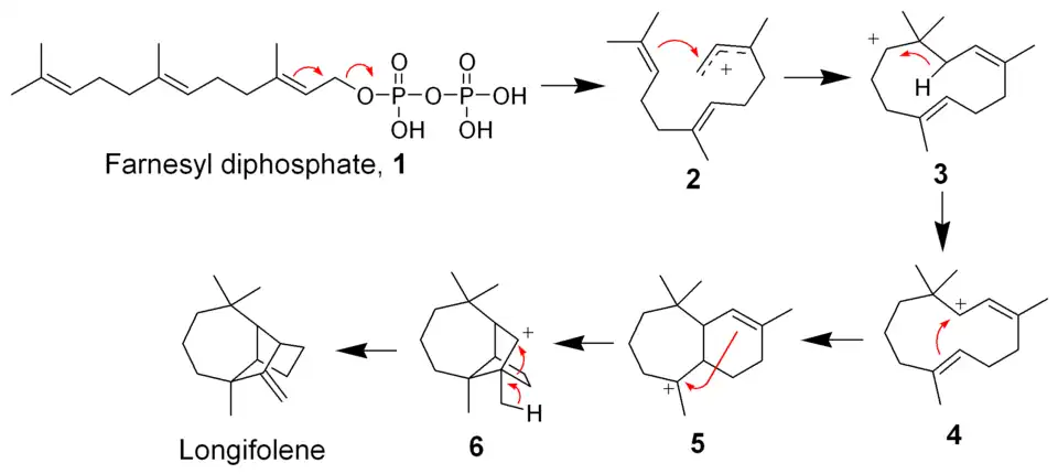
Biosyntéza longifolenu začíná u farnesyldifosfátu (1) řetězcem kationtových polycyklizací. Odštěpením difosfátové skupiny a cyklizací alkenu vznikne meziprodukt 3, který po 1,3-hydridovém přesmyku vytváří molekulu 4. Po dvou dalších cyklizacích utvoří meziprodukt 6 1,2-přesmykem longifolen.

Reakce
Longifolen reaguje s boranem za vzniku dilongifolylboranu, použitelného jako chirální hydroborační činidlo.[11]
Odkazy
Reference
V tomto článku byl použit překlad textu z článku Longifolene na anglické Wikipedii.
- ↑ Naffa, P.; Ourisson, G. Bulletin de la Société chimique de France, 1954, 1410
- ↑ Shan-Shan Yao; Wen-Fei Guo; YI Lu; Yuan-Xun Jiang, "Flavor Characteristics of Lapsang Souchong and Smoked Lapsang Souchong,a Special Chinese Black Tea with Pine Smoking Process", Journal of Agricultural and Food Chemistry, Vol. 53, No.22, (2005)
- ↑ Ullmann's Encyclopedia of Industrial Chemistry. Příprava vydání Wiley-VCH. 1. vyd. [s.l.]: Wiley Dostupné online. ISBN 978-3-527-30385-4, ISBN 978-3-527-30673-2. doi:10.1002/14356007.a27_267. (anglicky) DOI: 10.1002/14356007.
- ↑ E. J. Corey; Masaji Ohno; Rajat B. Mitra; Paul A. Vatakencherry. Total synthesis of longifolene. Journal of the American Chemical Society. 1964, s. 478–485. doi:10.1021/ja01057a039.
- ↑ John E. McMurry; Stephen J. Isse. Total synthesis of longifolene. Journal of the American Chemical Society. 1972, s. 7132–7137. doi:10.1021/ja00775a044.
- ↑ Robert A. Volkmann; Glenn C. Andrews; William S. Johnson. Novel Synthesis of Longifolene. Journal of the American Chemical Society. 1975, s. 4777–4779. doi:10.1021/ja00849a062.
- ↑ Wolfgang Oppolzer; Thierry Godel. A New and Efficient Total Synthesis of (.+-.)-longifolene. Journal of the American Chemical Society. 1978, s. 2583–2584. doi:10.1021/ja00476a071.
- ↑ Arthur G. Schultz; Salvador Puig. The Intramolecular Diene-Carbene Cycloaddition Equivalence and an Enantioselective Birch Reduction-Alkylation by the Chiral Auxiliary Approach. Total Synthesis of (.+-.)- and (−)-Longifolene. The Journal of Organic Chemistry. 1985, s. 915–916. doi:10.1021/jo00206a049.
- ↑ Lei Boz; Alex G. Fallis. Direct total synthesis of (+)-longifolene via an intramolecular Diels-Alder strategy. Journal of the American Chemical Society. 1990, s. 4609–4610. doi:10.1021/ja00167a10.
- ↑ Gregory Ho The Journal of Organic Chemistry] 2005, 70, 5139 -5143
- ↑ Sukh De. Aspects of Longifolene chemistry. An example of another Facet of natural products chemistry. Accounts of Chemical Research. 1981, s. 82–88. doi:10.1021/ar00063a004.
Externí odkazy
Obrázky, zvuky či videa k tématu Longifolen na Wikimedia Commons - Totální syntézy longifolenu na SynArchive.com

