Kyselina slizová
| Kyselina slizová | |
|---|---|
![]() Strukturní vzorec | |
| Obecné | |
| Systematický název | (2S,3R,4S,5R)-2,3,4,5-tetrahydroxyhexanová kyselina |
| Triviální název | Kyselina slizová, kyselina meso-galaktarová |
| Sumární vzorec | C6H10O8 |
| Vzhled | krystalický prášek |
| Identifikace | |
| Registrační číslo CAS | 526-99-8 |
| PubChem | 3037582 |
| SMILES | [C@@H]([C@@H]([C@H](C(=O)O)O)O)([C@@H](C(=O)O)O)O |
| InChI | InChI=1/C6H10O8/c7-1(3(9)5(11)12)2(8)4(10)6(13)14/h1-4,7-10H,(H,11,12)(H,13,14)/t1-,2+,3+,4- |
| Vlastnosti | |
| Molární hmotnost | 210,1388 g/mol |
| Teplota tání | 230 °C (503 K) |
| Rozpustnost ve vodě | rozpustná (v chladné vodě jen slabě) |
| Rozpustnost v polárních rozpouštědlech | rozpustná v ethanolu |
| Bezpečnost | |
![]() GHS07 Varování[1] | |
Některá data mohou pocházet z datové položky. | |
Kyselina slizová (též kyselina meso-galaktarová) je derivátem galaktózy, u kterého jsou oba koncové uhlíkové atomy (C1 a C6) oxidovány na karboxylové skupiny (patří tedy mezi aldarové kyseliny). Vyrábí se oxidací galaktózy nebo galaktózu obsahujících sloučenin či derivátů galaktózy, jako jsou laktóza, galaktitol a 5-deoxyinositol, kyselinou dusičnou.
Reakce
Kyselina slizová reaguje při teplotě 140 °C s pyridinem za vzniku kyseliny alloslizové. S koncentrovanou kyselinou chlorovodíkovou vytváří furfuralovou dikarboxylovou kyselinu, zatímco při zahřívání se sulfidem barnatým se přeměňuje na thiofenkarboxylovou kyselinu. Amonná sůl kyseliny slizové se při suché destilaci rozkládá za vzniku oxidu uhličitého, amoniaku, pyrrolu a dalších sloučenin. Reakcí kyseliny slizové se silnými zásadami vzniká kyselina šťavelová.
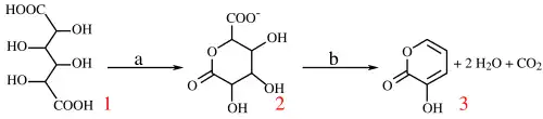
S hydrogensíranem draselným a kyselinou chlorovodíkovou vzniká z kyseliny slizové dehydratací a dekarboxylací 3-hydroxy-2-pyron.
Použití
Kyselina slizová se používá jako prekurzor kyseliny adipové při výrobě nylonu.
Odkazy
Reference
V tomto článku byl použit překlad textu z článku Mucic acid na anglické Wikipedii.
- ↑ a b Galactaric acid. pubchem.ncbi.nlm.nih.gov [online]. PubChem [cit. 2021-05-24]. Dostupné online. (anglicky)
Související články
- Kyselina glukarová – epimerní sloučenina
Externí odkazy
Obrázky, zvuky či videa k tématu kyselina slizová na Wikimedia Commons
Encyklopedické heslo Slizká kyselina v Ottově slovníku naučném ve Wikizdrojích

