Keto-enol tautomerie

Keto-enol tautomerie je speciálním typem tautomerie, kdy tautomery volně přechází mezi formou mezi ketonem a enolem. Ketoforma je stabilnější, karbonylová skupina je intaktní, zatímco enolová forma je méně stabilní tautomer, vyznačující se přítomností dvojné vazby mezi sousedními atomy uhlíku a alkoholovou skupinou. V roztoku je dosaženo chemické rovnováhy, přičemž převažuje stabilnější ketoforma.[1][2]
Za laboratorní teploty se například pouze 0,0001 % molekul cyklohexanonu vyskytuje v enol formě, u acetonu je to jen asi 0,0000001 %; zastoupení enolové formy u karboxylových kyselin, esterů a amidů je ještě nižší.[3] Mezi další sloučeniny vykazující keto-enol tautomerii patří například pyruvát, fenol a acetylaceton.
Katalýza tautomerního přesmyku
Jelikož enoly jsou v organické chemii významné svou reaktivitou, často se tautomerní přesmyk katalyzuje za účelem získání enol formy pro další reakce, a to buď kysele, nebo bazicky. V obou případech je nutná přítomnost vodíku na α-uhlíku (sousedním s karbonylovým uhlíkem), jen ty jsou totiž v molekule kyselé a lze je odštěpit jako proton.[3]
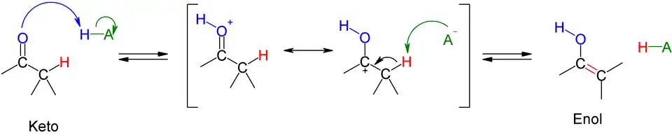
Kyselá katalýza
Při kysele katalyzované enolizaci je neprve naprotonován (aktivován) karbonylový kyslík. Vzniká kationt, ve kterém můžeme kladný náboj pomocí rezonančních struktur umístit mezi kyslík a uhlík v karbonylové skupině. Následným odštěpením protonu z α-uhlíku působením konjugované báze (A−) k původní kyselině se vytvoří enol forma a regeneruje se kyselina (HA), která na začátku poskytla proton.[3]
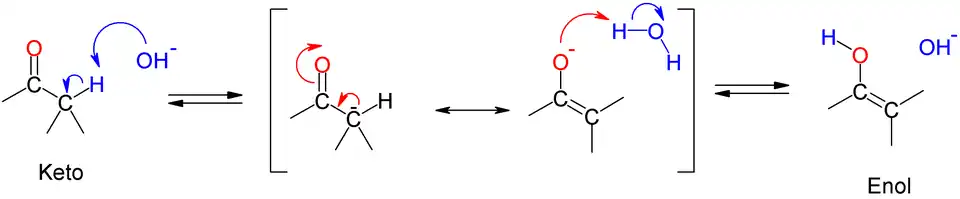
Bazická katalýza
Při bazicky katalyzované enolizaci je neprve bází odštěpen proton z α-uhlíku. Vzniklý enolátový aniont se dá znázornit dvěma rezonančními strukturami se záporným nábojem na α-uhlíku a karbonylovém kyslíku. Kyslík se následně naprotonuje za vzniku enolu a je obnovena původní báze.[3]
Odkazy
Reference
- ↑ Keto Enol tautomerizace - definice, mechanismus, příklady. microbiologynote.com [online]. 2023-06-23 [cit. 2023-11-12]. Dostupné v archivu pořízeném z originálu dne 2023-11-12.
- ↑ 22.1: Keto-Enol Tautomerism. Chemistry LibreTexts [online]. 2015-08-26 [cit. 2023-11-12]. Dostupné online. (anglicky)
- ↑ a b c d MCMURRY, John. Organická chemie. 6. vyd. [s.l.]: VŠCHT v Praze / VUT v Brně, 2007. ISBN 978-80-7080-637-1, ISBN 978-80-214-3291-8.
Externí odkazy
Obrázky, zvuky či videa k tématu Keto-enol tautomerie na Wikimedia Commons