Keplerova rovnice

Keplerova rovnice je transcendentní rovnice pro výpočet pohybu nebeských těles po eliptické dráze. Je důsledkem prvních dvou Keplerových zákonů, které Johannes Kepler publikoval roku 1609, a zní
- .
Keplerova rovnice popisuje vztah mezi polohou nebeského objektu vůči hmotnému středu v jednom z ohnisek elipsy udanou ve formě pomocné veličiny excentrické anomálie , a času zadaného pomocí střední anomálie . Parametr je numerická excentricita eliptické oběžné dráhy.
Keplerova rovnice se používá např. při výpočtu časové rovnice (tj. rozdílu mezi středním slunečním časem a skutečným slunečním časem). Dílčí úlohou je stanovit pravou anomálii Země na její dráze kolem Slunce.
Stručně
Mějme souřadnicový systém s počátkem ve Slunci a osou x mířící k perihelu. Pak lze tuto trajektorii parametrizovat
,
kde a je hlavní poloosa elipsy, vedlejší poloosa elipsy, je numerická excentricita, je vzdálenost ohniska od středu elipsy, úhel je excentrická anomálie.
Keplerova rovnice má pak tvar:
Kde perioda oběhu a čas průchodu perihelem. Konečně je čas, ve kterém se zajímáme o polohu planety. Pravou stranu poslední rovnice nazýváme střední anomálie a značíme .
Odvození

| Vzdálenosti: | Body: | |
| velká poloosa | střed | |
| malá poloosa | ohnisko (Slunce) | |
| lineární excentricita | Periapsis | |
| Úhly: | ||
| pravá anomálie | objekt (planeta) | |
| excentrická anomálie | pomocný bod objekt | |
| střední anomálie | fiktivní objekt |
Druhý Keplerův zákon zvaný též zákon ploch, vyplývá ze zachování momentu hybnosti v problému dvou těles, který se v astronomii nazývá také Keplerův problém. Předpokládá, že na nebeský objekt působí pouze radiální síla z hmotného středu . Tato síla podléhá zákonu převrácených čtverců (je úměrná , stejně jako Newtonovská gravitační síla), což znamená, že celkový tok síly všemi kulovými plochami se středem je stejný (tj. nezávislý na poloměru koule ). Za těchto podmínek je podle prvního Keplerova zákona dráha planety kuželosečka. Keplerova rovnice je vzorec vyjadřující větu o zákonu ploch pro eliptickou dráhu. Ve vzorci je zakomponován čas ve formě střední anomálie (tak nazvané Keplerem) a poloha astronomického objektu na své oběžné dráze (keplerovské elipse) ve formě (Keplerem tak nazvané) pravé anomálie , tj. jejich úhlová vzdálenost od periapsidy , (prostřednictvím pomocné veličiny zvané excentrické anomálie ) v jednoznačně definovaném vztahu.
Veličina je numerická excentricita elipsy.
Použití střední anomálie
Rovnoměrné plynutí času lze vyjádřit pohybem fiktivní tělesa (na obrázku ) po kruhové dráze s konstantní úhlovou rychlostí. K tomuto účelu se používá „kružnice opsaná“ kolem keplerovské elipsy, po které obíhá . je okamžik, kdy se jak bod tak skutečný objekt nachází v periapsidě . Oba body mají tutéž oběžnou dobu a oba současně procházejí při každém celočíselném násobku oběžné doby periapsidou a při každém polovičním násobku apoapsidou.

Okamžitá poloha bodu je reprezentována úhlem (všechny následující úhly jsou uvedeny v úhlové míře) s vrcholem ve středu pomocné kružnice (i elipsy) ve vztahu pro periapsidu udaný jako střední anomálie označuje:
- .
Při tom je oběžná doba a střední úhlová rychlost. V okamžiku , kdy se nebeský objekt nachází v periapsidě, je nejblíže k barycentru v ohnisku elipsy.
Podle druhého Keplerova zákona opíše průvodič tělesa za stejný časový interval stejnou plochu. Protože časový interval (v otáčkách) je úměrný podílu délky oblouku k obvodu opsané kružnice, je podíl eliptické dílčí plochy k ploše elipsy stejně velký jako podíl oblouku k obvodu opsané kružnice:
- .
kde je délka velké poloosy elipsy a také poloměr kružnice opsané, a je délka malé poloosy elipsy. Elipsa a opsaná kružnice si jsou podobné s poměrem , tedy elipsu můžeme v každé rovnoběžce brát jako opsanou kružnici „stlačenou“ na malou poloosu v tomto poměru.


Použití excentrické anomálie
Projekcí pozice planety na kružnici opsanou eliptické oběžné dráze ve směru kolmém na hlavní poloosu je pomocný bod . Úhel s vrcholem ve středu kružnice a rameny tvořenými periapsidou a polopřímkou vedenou ze středu bodem , Kepler nazval excentrická anomálie . Z podobnosti plyne následující vztah:
- .
Po dosazení rovnice do rovnice dostáváme:
- .
Výsledek: Keplerova rovnice


Iplicitní
Pomocí rovnice nalezneme implicitní vyjádření požadovaného vztahu mezi excentrickou anomálií (bod ) a střední anomálií (bod ). Explicitní vztah vyplývá až po/kým následující krok:
Explicitní
Pokud průvodič opíše v jedné periodě plný úhel a opsaná plocha je , pak opíše do doby úhel o faktor menší plochu:
- .
Podobně analyzujeme průvodiče v úhlu a dostáváme:
- .
Plocha se skládá z plochy a :
- .
Dílčí plocha (na obrázku ohraničená světle modře) je přímočarý ohraničený trojúhelník se základnou a výškou :
- .
je numerická excentricita elipsy, zatímco je lineární excentricita, což je vzdálenost ohniska elipsy od jejího středu.
Dílčí plocha je podle rovnice stejně velká jako plocha , jejíž hodnotu udává rovnice .
Dosazením rovnic , a do rovnice dostáváme
- .
z čehož plyne Keplerova rovnice:
- .
Metody řešení Keplerovy rovnice
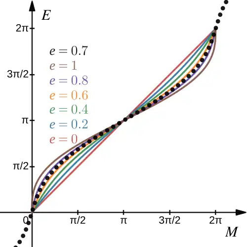
Řešení Keplerovy rovnice není možné vyjádřit v uzavřeném tvaru jako funkci excentrické anomálie . Existují různé metody, jak vypočítat ze střední anomálie :
- je lichá periodická funkce proměnné s periodou . Je tedy možné ji rozvinout ve Fourierovu řadu, která konverguje pro všechny a , a platí
Z hodnoty pro je možné snadno vypočítat všechny ostatní hodnoty : - Kořen funkce
- .
- Stabilní, ale pomalu konvergující metoda vychází z Banachovy věty o pevném bodě:[3]
- .
- Pro malé excentricity je možné aproximovat také následujícím způsobem:[4]
- Řešením pro pomocí Lagrangeovy inverzní transformace je Maclaurinova řada pro
Posloupnost A306557 v databázi On-Line Encyclopedia of Integer Sequences uvádí koeficienty polynomů v čitateli s proměnnou .
Řešení některých dílčích úloh Keplerova problému
Střední anomálie → pravá anomálie
Pro stanovení pozice nebeského tělesa na keplerovské dráze v okamžiku nebo pro střední anomálii odpovídající tomuto okamžiku je třeba zjistit pravou anomálii . Pomocí Keplerovy rovnice nejdříve určíme excentrickou anomálii (viz výše). Pak lze spočítat pravou anomálii podle následující vztahů:[5]
nebo
Zde je lineární excentricita eliptické dráhy. Pro získání správné hodnoty je nutné rozlišovat případy a .
- Poznámky
- Jmenovatel druhého vzorce udává přímou vzdálenost astronomického objektu od ohniska :
- Ze vzorců lze lehce vyjádřit nebo , výsledek je:[6]
- a
Pravá anomálie → střední anomálie
Pro astronomické těleso na keplerovské dráze s pravou anomálií je třeba určit příslušnou střední anomálii pro okamžik . Jde o úlohu s opačným zadáním než jaká je uvedena výše.
Pro výpočet excentrické anomálie z času platí
- .
Dolní index u vyjadřuje, že je třeba hodnotu arkustangenty umístit do správného kvadrantu (stejného v jakém je ). Keplerova rovnice udává příslušnou střední anomálii
- .
Z lineární rovnice pro tento element dráhy dostáváme:
- Příklad na získání časového okamžiku z pravé aomálie
Čas průchodu čtyřmi vrcholy elipsy zemské dráhy:
Elementy dráhy platné pro planetu Zemi jsou uvedené v článku Oběžná dráha Země kolem Slunce. Referenční použitý čas se počítá v juliánských staletích. Zde se však počítá ve dnech, takže čas je třeba vydělit 36525, aby bylo zachováno a . Přitom se zanedbávají velmi pomalé změny numerické excentricity (). Nulový čas a v důsledku toho také – je 1. leden 2000, 12:00 UT. Pravá anomálie při průchodu Země perihelem v roce 2000 je rovna 360° (ne nulová!), v roce 2001 rovna 720° atd.
| perihel 2000 | jarní vedlejší vrchol |
afel | podzimní vedlejší vrchol |
perihel 2001 | |
| Pravá anomálie | 360 | 450 | 540 | 630 | 720 |
| čas | 2,511 | 91,883 | 185,140 | 278,398 | 367,770 |
| časový rozestup | 89,372 | 93,258 | 93,258 | 89,372 |
Vzdálenost mezi dvěma středními průchody perihelem (anomalistický rok) je Takto spočítané střední časy průchodu perihelem se mohou o několik dnů lišit od skutečných (především kvůli rušení Měsícem).
Pravá anomálie → poloměr dráhy
Pozice astronomického tělesa na jeho keplerovské dráze v čase je určena jeho pravou anomálií. Příslušnou vzdálenost – poloměr dráhy – lze spočítat následujícím způsobem:
- vzdálenost (poloměr dráhy)
- velká poloosa elipsy
- numerická excentricita
- pravá anomálie
Pravá anomálie → dráhová rychlost
Časová změna pravé anomálie odpovídá úhlové rychlosti vzhledem ke gravitačnímu centru. Normálová složka rychlosti plyne tedy přímo ze vzorce
radiální rychlost je časová změna poloměru dráhy:
Pro dráhovou nebo orbitální rychlost pak plyne z Pythagorovy věty
- dráhová rychlost
- pravá anomálie
- poloměr dráhy
Snáze lze dráhovou rychlost určit pomocí hodografu ze zákona ploch:[7]
- specifický úhlový moment jako centrální parametr pohybu
- parametr elipsy jako typický element dráhy
- velká poloosa
- velká poloosa
- s Gravitační konstanta a hmotnost centrálního tělesa
Z tohoto vyplývá minimální a maximální rychlost v apocentru a pericentru eliptické dráhy:[7]
- numerická excentricita
Další vztahy
Mezi pravou anomálií excentrickou anomálií a střední anomálií existují také četné další vztahy,[8] které byly používány v historii nebeské mechaniky. Pravou anomálii vypočítat bez okliky přes Keplerovu rovnici, přímo ze speciální diferenciální rovnice pro ,[9] což je zajímavé pro postupné numerické aproximace.
Pro malé excentricity lze také aproximovat pravou anomálii ze střední anomálie :
Rozdíl − se nazývá rovnice středu.[9]
Použití Keplerovy rovnice pro výpočet časové rovnice
Výpočtem časové rovnice se v tomto článku zabýváme podrobněji, protože její výpočet se v některých detailech liší od výpočtu v hlavním článku. Vychází z oběžných prvků Slunce, které jsou extrapolovány od 1. ledna 2000 12:00 UTC do dne, pro který se má časová rovnice vypočítat. Pro období do roku 2025 se zde používají předem stanovené tzv. základní sluneční hodnoty pro 1. leden[10] Extrapolace pro kalendářní den v aktuálním roce je tak odpovídajícím způsobem kratší. Zde se používá přímo Keplerova rovnice, tam s rovnicí středu, která je z Keplerovy rovnice odvozena, což tam výpočet zkracuje.
V časové rovnici se používá poloha Země na její eliptické dráze kolem Slunce ve 12:00 UTC v určený den roku. Ta se vypočítá pomocí Keplerovy rovnice jako excentrická anomálie a převede se na pravou anomálii . Po přechodu na geocentrický pohled na svět se výsledek nerovnoměrného orbitálního pohybu (první příčina časové rovnice) přepočítá na čas odvozený od Slunce (pravý sluneční čas WOZ).
Kvantitativní, tedy numerické zpracování[pozn. 1] časové rovnice je v podstatě – totiž při z eliptický pohybu po dráze Země vyplývající části časové rovnice – použitím Keplerovy rovnice. Především stal se s tím/v důsledku místo Země na její eliptické dráze (také keplerovská dráha) k dané/předpovědět okamžik nastaven.
- , 2006. Sonnenuhren-Handbuch, Berechnung der Zeitgleichung. [s.l.]: Deutsche Gesellschaft für Chronometrie e.V.. (Fachkreis Sonnenuhren).
Definice časové rovnice
První definice:
Hodnota skutečného místního času (WOZ) případně středního místního času (MOZ) odpovídá aktuální/příslušné poloze skutečného resp. fiktivního středního Slunce na obloze (z geocentrického pohledu). Protože denní doba souvisí s otáčením Země okolo své osy, nezajímá nás deklinace, ale pouze aktuální rektascenze Slunce. Střední Slunce, které představuje rovnoměrně plynoucí čas, obíhá kolem nebeského rovníku. Časová rovnice je úměrná rozdílu mezi rektascenzí fiktivního středního a skutečného pravého Slunce.
Druhá definice:
Faktor 4 vyplývá z toho, že objekt, jehož rektascenze je o 1° větší, projde poledníkem o 4 minuty později. Pořadí obou hodnot je opačné, protože směr pro hodinový úhel (jemuž odpovídá WOZ a MOZ) a rektascenze jsou vzájemně opačné.
Metoda
K určení okamžiku pro zjištění rektascenze (rovnice ) Slunce odpovídá rovníkové délce Země v heliocentrickém pohledu, kterou lze snadno vypočítat z její ekliptikální délky (druhý obrázek). Pomocí Keplerovy rovnice se určí pravá anomálie (první obrázek), z níž se pak změnou vztažného bodu určí .
Použití Keplerovy rovnice

V – pravá anomálie, M – střední anomálie, E – excentrická anomálie
B – Slunce, X – Země, Y – fiktivní Země, P – Perihel, A – Afel, K – poloha Země 1. ledna
vlevo dole: V a M jako funkce času


S″: Střední Slunce na rovníku
Střední anomálie:
V rovnici obecně formulovaná střední anomálie v souvislosti s časovou rovnicí je:
-
- : anomalistisches rok mezi dvěma průchody Perihels
- : okamžik průchodu perihelem
Při průchod periheliem má střední anomálie hodnotu:
U časové rovnice je obvyklé, že hodnoty kalendářního roku odpovídají Hvězdářské ročence k vydávat. Jako nulový bod pro se používá 1. leden 12:00 (UT) příslušného roku, takže aktuálně pro jako 2 až 3 dne a z ní pro jako 2° až 3° platit.[12] Stalo se zvykem zveřejňovat vždy novou hodnotu pro jako takzvané roční konstanty.
S a od 1. leden 12:00 (UT) stal se z rovnice (12):
Keplerova rovnice:
S dané/předpovědět okamžik odpovídající střední anomálie a excentricitu oběžné dráhy Země stal se s pomoc Keplerova rovnice excentrická anomálie určený.
Pravá anomálie:
Při výpočtech časové rovnice se pro pravou anomálii používá většinou označení (místo jako výše).
Excentrická anomálie v čistě geometrickém pohledu převádí elipsu na jí opsanou kružnici (první obrázek) následujícím způsobem: pro pravou anomálii :[5]
- … konstanta elipsy
Keplerův problém je vyřešen stanovením pravé anomálie Země. Dokončení výpočtu časové rovnice je v následující části.
Pravá anomálie Země → rektascenze Slunce
Pravá anomálie Země → ekliptikální délka Země → ekliptikální délka Slunce:
Při pohledu ze Země se oběh Země kolem Slunce projevuje zdánlivým pohybem Slunce po ekliptice, což je průsečík roviny oběžné dráhy Země se směrovou sférou obíhající kolem Země jako středu (viz druhý obrázek).[13][14] Ekliptikální délka Země a ekliptikální délka Slunce jsou tedy synonyma s označením
Referenčním bodem pro ekliptikální délku (a také rektascenzi) je podle obecného zvyku jarní bod. Ekliptikální délka Slunce se získá tak, že k perihelu oběžná dráha Země získaný úhel úhel mezi perihel P a bod jarní rovnodennosti odpovídající místo (F) se sečte:[15]
Hodnota je záporná. Při téměř konstantních základních veličinách je ta, které se s časem kvůli pomalému přibližování bodu jarní rovnodennosti případně bod (F) k perihelu mění nejvíce. Nepoužívá se tedy jako takzvané roční konstanty nový nastavený, ale neustále se mění podle následující rovnice:
bod jarní rovnodennosti a perihel se přibližuje s je tropický rok (čas mezi dvěma po sobě následujícími průchody jarním bodem případně bodem (F)). S přihlédnutím k rovnici lze místo rovnice psát:
Hodnota je záporná.
Ekliptikální délka Slunce → rektascenze Slunce:
Časová rovnice je způsobena tím, že Země obíhá kolem Slunce po elipse, že zemská osa není kolmá k rovině zemské dráhy, a kvůli změnám směru zemské osy vůči Slunci.
Rektascenzi Slunce lze určit např. pomocí obecně známých rovnic pro převod souřadnic nebo z následujícího jednoduchého vztahu v odpovídajícím pravoúhlém sférickém trojúhelníku (viz třetí obrázek) z ekliptikální délka :
kde je úhel sklonu zemské osy: .
Rektascenze středního Slunce
Pohyb středního Slunce S″ (třetí obrázek vpravo) na rovníku ilustruje rovnoměrně plynutí času stejně jako pohyb fiktivní Země (bod Y) po oběžné dráze. Jeho pohyb má být co nejtěsněji spojen s dráhou skutečného Slunce, aby přibližně „zprůměroval“ jeho skutečný pohyb. Toho je možné dosáhnoyt pomocí následující definice:[16]
Pokud člověk/lidé časové změna z se zanedbá, platí také:
Časová rovnice
Pro použití časové rovnice je třeba získat rektascenzí a jsou nalezeny.
Příklad
Vypočítejte časovou rovnici pro den 2. dubna 2015, 12:00 UT (t = 91 dne).
Roční konstanty pro rok 2015 jsou:[16][17] [18]
Postup výpočtu:
Časová rovnice má pro 2. dubna 2015, 12:00 UT hodnotu:
Početní příklad 2
Vypočítejte časovou rovnici pro 1. května 2015, 12:00 UT (t = 120 dne).
Výpočet:
-
- Řešení bylo nalezeno pomocí iterací.
- Řešení bylo nalezeno pomocí iterací.
Časová rovnice má pro 1. květen 2015, 12:00 UT hodnotu:
Hodnoty časové rovnice pro průchod charakteristickými body dráhy
Hodnoty časové rovnice pro průchod Země charakteristickými body své dráhy (případně Slunce na ekliptice) jsou z kalendáře a v důsledku toho nezávislé na roční konstantě : okamžiky začátku jara, léta, podzimu a zimy, a okamžiku průchodu přísluním a odsluním.
| začátek jara | začátek léta | začátek podzimu | začátek zimy | perihel | afel | |
|---|---|---|---|---|---|---|
| λ/° | 0 | 90 | 180 | 270 | L0 | L0 + 180 |
| ZG/min | −7,44 | −1,74 | +7,48 | +1,70 | −4,50 | −4,50 |
| tP/d **) | 76,234 | 168,990 | 262,641 | 352,485 | 0 | 182,621 |
*) Hodnota platí pro rok 2004 s L0 = −76,99° a Jtr =365,2428 dne.[16]
**) Uvedené časy se vztahují k okamžiku průchodu periheliem, ne k 1. lednu 12:00 UT jako ve výše uvedeném příkladu
Jejich výpočet je snazší než výpočet pro obecný časový okamžik, protože není třeba řešit Keplerovu rovnici . Z dané ekliptikální délky jednoho z charakteristických bodů lze snadno zjistit jak pravou anomálii (rovnice )[pozn. 2] tak excentrickou anomálii. Z excentrické anomálie a z přeuspořádané Keplerovy rovnice vyplývá střední anomálie, tj. oběžný bod fiktivní střední Země. Ekliptikální délka perihelu[18] přičtená ke střední anomálii (rovnice ) je hledaná střední rektascenze (menšenec v časové rovnici ). Pravá rektascenze (menšitel) je pro body od jara do zimy identická s jejich ekliptikální délkou . Pouze v perihelu a afelu dává transformace souřadnic (rovnice ) malé rozdíly hodnot.
Pokud se výpočet začne s danou ekliptikální délkou nebo danou pravou anomálií, získáme kromě časové rovnice také čas od průchodu Země perihelem. Je to čas, který představuje střední anomálii a stává se mezivýsledkem pro výpočet střední anomálie pomocí rovnice, kterou je třeba odpovídajícím způsobem přeuspořádat .
Tento přístup je také někdy doporučován pro obecnou práci při používání tabulek časové rovnice.[19] Tím se ušetří časově náročné řešení Keplerovy rovnice, ale hodnoty pro požadované časové okamžiky lze však nalézt pouze metodou pokusů a omylů nebo interpolaci (pokud to hustota hodnot umožňuje).
Odkazy
Poznámky
Reference
V tomto článku byl použit překlad textu z článku Kepler-Gleichung na německé Wikipedii.
- ↑ Lagrange 1771, s. 204–233.
- ↑ Colwell 1992, s. 45-48.
- ↑ Guthmann 1994, s. 128 f., § II.6.67 Numerische Verfahren.
- ↑ Guthmann 1994, s. 125 ff, § II.6.66 Reihenentwicklung der exzentrischen Anomalie.
- ↑ a b Wetzel 2007, Anhang 3.
- ↑ Strebel 2001, Kap. 1.3 a 5.1.
- ↑ a b Guthmann 1994, s. 114 f, § II.5.58 Der Hodograph.
- ↑ Guthmann 1994, s. 122 f, Aufgaben zu § II.5.
- ↑ a b Guthmann 1994, s. 123, 10. und 11. Aufgabe zu § II.5.
- ↑ Základní sluneční hodnoty a použité symboly jsou převzaty z příručky Sonnenuhren-Handbuch Německé společnosti pro chronometrii: Fachkreis Sonnenuhren entnommen: 2006, S. 43–49.
- ↑ Sonnenuhren-Handbuch, s. 43–49.
- ↑ Wegen der Schalttagregelung im Kalender schwanken beide Werte innerhalb der Vierjahresperiode schwach: ΔtP ≈ ¾Tag, ΔM0 ≈ ¾°.
- ↑ Manfred Schneider: Himmelsmechanik, Band II: Systemmodelle. BI-Wissenschaftsverlag, 1993, ISBN 3-411-15981-2, S. 507.
- ↑ Dieser Zusammenhang erlaubt umgekehrt, die ekliptikale Länge und den Jarní bod F als Bezugspunkt (sowohl für als auch für ) auf die Erdbahn zurückzuspiegeln (siehe nebenstehende Abbildung, rechts → links).
- ↑ Symboly pro úhlový rozdíl a polohu v závorkách na vedlejším obrázku, protože úhel a poloha nejsou definovány pro použití na oběžné dráze Země. (Zeichen für Winkeldifferenz und Ort in nebenstehender Abbildung in Klammern gesetzt, da Winkel und Ort für den Gebrauch auf der Erdbahn nicht definiert sind.)
- ↑ a b c Sonnenuhren-Handbuch, 3.3 Berechnung der Zeitgleichung. Deutsche Gesellschaft für Chronometrie e.V., Fachkreis Sonnenuhren, 1900.
- ↑ Tyto „základní hodnoty“ platí pro 1. leden 2015 12:00 UT. Jejich pomalá změna není v průběhu roku 2015 zohledněna. Změny kumulované v tomto období se objeví až v ročních konstantách pro rok 2016. Výjimkou je . Rovnice obsahuje permanentní změnu .
Extrapolace ročních konstant se provede ze základních hodnot pro roky 2000 příp. 1900 následujícím způsobem (DGC-Handbuch, S. 47): - ↑ a b Roční konstanty (např. pro rok 2015) se takto nazývají, protože se používají pouze pro jeden rok, ke kterému se vztahují. Kromě toho platí také pro data ve vzdálených letech (např. pro rok 2050 nebo 1950), aniž by došlo k významné ztrátě přesnosti časové rovnice. Čas potom nabývá odpovídajících vysokých kladných nebo záporných hodnot; Uvedené schéma výpočtu však zůstává použitelné beze změny. Při určování a by měly být použity takové hodnoty arkustangenu nebo , které leží nejblíž.
- ↑ Heinz Schilt: Zur Berechnung der mittleren Zeit für Sonnenuhren. Schriften der Freunde alter Uhren, 1990.
Literatura
- GUTHMANN, Andreas, 1994. Einführung in die Himmelsmechanik und Ephemeridenrechnung. Mannheim: BI-Wiss.-Verl. ISBN 3-411-17051-4.
- COLWELL, Peter. Solving Kepler's equation over three centuries. Příprava vydání Willmann-Bell. Richmond, VA: [s.n.], 1993. Dostupné online. ISBN 0-943396-40-9. S. 202.
- STREBEL, R., 2001. Die Keplersche Gleichung [online]. Říjen 2001 [cit. 2024-03-10]. Dostupné v archivu pořízeném dne 2011-08-13.
- LAGRANGE, J.-L., 1771. Sur le problème de Kepler. Mémoires de l'Académie Royale des Sciences de Berlin. Roč. 25.
- COLWELL, Peter, 1992. Bessel functions and Kepler's equation. Amer. Math. Monthly. 1992-01, čís. 1. (anglicky)
- WETZEL, Siegfried, 2007. Die Zeitgleichung für Nicht-Astronomen. Deutsche Gesellschaft für Chronometrie. Podzim 2007, čís. Mitteilungen Nr. 111. Dostupné v archivu pořízeném dne 2014-04-07.
Externí odkazy
Obrázky, zvuky či videa k tématu Keplerova rovnice na Wikimedia Commons - DANBY, J. M.; BURKARDT, T. M. The solution of Kepler's equation. I. Svazek 31. [s.l.]: [s.n.], 1983. (Cel. Mech.). doi:10.1007/BF01686811. Bibcode 1983CeMec..31...95D. S. 95–107.
- CONWAY, B. A. An improved algorithm due to Laguerre for the solution of Kepler's equation. [s.l.]: [s.n.], 1986. doi:10.2514/6.1986-84.
- MIKKOLA, Seppo, 1987. A cubic approximation for Kepler's equation. Svazek 40. [s.l.]: [s.n.]. (Cel. Mech.). doi:10.1007/BF01235850. Bibcode 1987CeMec..40..329M.
- NIJENHUIS, Albert, 1991. Solving Kepler's equation with high efficiency and accuracy. Svazek 51. [s.l.]: [s.n.]. (Cel. Mech. Dyn. Astr.). doi:10.1007/BF00052925. Bibcode 1991CeMDA..51..319N. S. 319–330.
- FUKUSHIMA, Toshio, 1996. A method solving kepler's equation without transcendental function evaluations. Svazek 66. [s.l.]: [s.n.]. (Cel. Mech. Dyn. Astron.). doi:10.1007/BF00049384. Bibcode 1996CeMDA..66..309F. S. 309–319.
- CHARLES, E. D.; TATUM, J. B., 1997. The convergence of Newton-Raphson iteration with Kepler's equation. Svazek 69. [s.l.]: [s.n.]. (Cel. Mech. Dyn. Astr.). doi:10.1023/A:1008200607490. Bibcode 1997CeMDA..69..357C. S. 357–372.
- STUMPF, Laura, 1999. Chaotic behaviour in the newton iterative function associated with kepler's equation. Svazek 74. [s.l.]: [s.n.]. (Cel. Mech. Dyn. Astr.). doi:10.1023/A:1008339416143. S. 95–109.
- PALACIOS, M., 2002. Kepler equation and accelerated Newton method. Svazek 138. [s.l.]: [s.n.]. (J. Comp. Appl. Math.). doi:10.1016/S0377-0427(01)00369-7. Bibcode 2002JCoAM.138..335P. S. 335–346.
- BOYD, John P., 2007. Rootfinding for a transcendental equation without a first guess: Polynomialization of Kepler's equation through Chebyshev polynomial equation of the sine. Svazek 57. [s.l.]: [s.n.]. (Appl. Num. Math.). doi:10.1016/j.apnum.2005.11.010. S. 12–18.
- WEISSTEIN, Eric W. Kepler's Equation [online]. (anglicky)