Křivost křivky
Křivost křivky je převrácená hodnota poloměru křivosti křivky. Lze říci, že v daném bodě křivky je její křivost dána tzv. oskulační kružnicí, která k ní nejlépe přimyká a jejíž poloměr se nazývá poloměr křivosti v tomto bodě. Křivost určuje míru zakřivení křivky od její tečny v daném bodě. Má význam v diferenciální geometrii či fyzice při výpočtu dostředivého zrychlení nebo průhybu nosníků.
Výpočet křivosti rovinné křivky
- Je-li známá rovnice rovinné křivky v kartézském souřadném systému, pak její křivost je převrácená hodnota poloměru křivosti křivky r . Platí
.
V některých případech je vhodné výše uvedený nelineární vztah zjednodušit. Často se také počítá jen křivost ve vrcholu (např. paraboly), potom platí
.
Výše uvedený vztah je používaný v základní mechanice nosníků.
- Je-li rovinná křivka zadaná parametricky v kartézském souřadném systému, křivost je
Z fyzikálního hlediska je v čitateli velikost vektorového součinu rychlosti (rovna součinu velikostí rychlosti a dostředivého zrychlení) a zrychlení, ve jmenovateli třetí mocnina rychlosti.
Další informace
Inflexní bod křivky je bod, kde má nulovou křivost.
Poloměr křivosti křivky je poloměrem její oskulační kružnice.
Kružnice je křivka s konstantním poloměrem křivosti, který je v absolutní hodnotě roven poloměru kružnice. Přímka, má nekonečný poloměr křivosti (tj. přímku si lze představit jako kružnici o nekonečném poloměru). Kružnice, přímka a jejich části jsou jediné rovinné křivky s konstantní křivostí, viz řešené příklady.
V obecném případě, u prostorových křivek se používají pro výpočet křivosti Frenetovy vzorce.
Křivost má význam v diferenciální geometrii, kinematice či při výpočtu průhybů a napětí u nosníků, desek a skořepin v mechanice, v optice (poloměr křivosti optických čoček a zrcadel) aj.
Blíže např. [1], [2] a elektronická učebnice diferenciální geometrie křivek a ploch .
Příklady výpočtu
Křivost přímky (nejjednodušší příklad)
Přímka, polopřímka či úsečka je daná rovnicí , kde jsou konstanty a x je z intervalu reálných čísel.
Pro derivace platí a .
Pro křivost přímky pak platí .
Křivost kružnice
kružnice je daná např. rovnicí , kde je poloměr kružnice.
Pro derivace , pak platí a .
Pro křivost dané kružnice pak platí .
Výpočet křivosti v software Mathcad
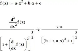
Na následujícím obrázku je provedeno odvození vztahu pro křivost kvadratické rovnice (f(x) = ax2+bx+c) v sw Mathcad (ukázka programování, tzv. symbolický výpočet).
-
Odvození vztahu pro křivost v sw Mathcad (kvadratická rovnice)
Reference
- ↑ FRYDRÝŠEK, Karel. Nosníky a rámy na pružném podkladu 1. 1. vyd. Ostrava, Česko: VŠB-TU Ostrava, Fakulta strojní, 2006. 463 s. ISBN 80-248-1244-4.
- ↑ FRYDRÝŠEK, Karel; TVRDÁ, Katarína; JANČO, Roland; ET AL. Handbook of Structures on Elastic Foundation. 1st. vyd. Ostrava, Czech Republic: VSB - Technical University of Ostrava, 2013. ISBN 978-80-248-3238-8. S. 1-1691.
Externí odkazy
Obrázky, zvuky či videa k tématu křivost na Wikimedia Commons - Elektronická učebnice diferenciální geometrie křivek a ploch
- Nosník na pružném podkladu
- Poloměr křivosti