Hydrid berylnatý
| Hydrid berylnatý | |
|---|---|
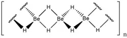
![]() Struktura polymerního hydridu berylnatého | |
| Obecné | |
| Systematický název | hydrid berylnatý |
| Funkční vzorec | BeH2 |
| Sumární vzorec | BeH₂ |
| Vzhled | bílá pevná látka[1] |
| Identifikace | |
| Registrační číslo CAS | 7787-52-2 |
| PubChem | 139073 |
| SMILES | [H-].[H-].[Be+2] |
| InChI | InChI=1S/Be.2H/q+2;2*-1 |
| Vlastnosti | |
| Molární hmotnost | 11,028 g/mol |
| Teplota rozkladu | 250 °C (523 K) |
| Rozpustnost ve vodě | rozkládá se |
| Rozpustnost v nepolárních rozpouštědlech | nerozpustný v diethyletheru a toluenu |
Některá data mohou pocházet z datové položky. | |
Hydrid berylnatý je anorganická sloučenina se vzorcem (BeH2)n (také psaným jako BeH2), patřící mezi hydridy. Jedná se o pevnou látku nerozpustnou v rozpouštědlech, ve kterých se nerozkládá. Na rozdíl od iontových (obsahujících iontové vazby) hydridů těžších prvků 2. skupiny je kovalentní, mezi kovem a vodíkem je kovalentní[2] tricentrická dvouelektronová vazba.
Příprava
Oproti dalším kovům 2. skupiny beryllium nereaguje s vodíkem.[3] BeH2 se tak připravuje z jiných berylnatých sloučenin. První jeho příprava byla provedena v roce 1951 reakcí dimethylberyllia, Be(CH3)2, s hydridem lithnohlinitým, LiAlH4.[4]
Čistší BeH2 vzniká pyrolýzou di-terc-butylberyllia, Be(C(CH3)3)2, při 210 °C.[5]
Ve velmi čisté podobě jej lze získat z trifenylfosfinu, PPh3, a tetrahydridoboritanu berylnatého, Be(BH4)2:[2]
- Be(BH4)2 + 2 PPh3 → BeH2 + 2 Ph3PBH3
Struktura
BeH2 se obvykle tvoří jako amorfní bílá pevná látka, ale byla také popsána hexagonální krystalická forma s větší hustotou (kolem 0,78 g.cm−3),[6] připravovaná zahříváním amorfního BeH2 za zvýšeného tlaku a s přídavkem 0,5-2,5 % hydridu lithného jako katalyzátoru.
Krystalický hydrid berylnatý má tělesově centrovanou ortorombickou jednotkovou buňku, vytvářející síť BeH4 čtyřstěnů se společnými vrcholy, čímž se liší od rovinných řetězců propojených atomy vodíku, které se předpokládaly u BeH2.[7] připravovaná zahříváním amorfního BeH2
Podobné čtyřstěny obsahuje i amorfní forma.[8]
Chemické vlastnosti
Reakce s vodou a kyselinami
Hydrid berylnatý s vodou reaguje pomalu, ovšem hydrolýza je rychlejší za přítomnosti kyseliny, například chlorovodíkové; vzniká při tom chlorid berylnatý.[3]
- BeH2 + 2 H2O → Be(OH)2 + 2 H2
- BeH2 + 2 HCl → BeCl2 + 2 H2
Reakce s Lewisovými zásadami
Hydrid berylnatý reaguje s trimethylaminem, N(CH3)3, za tvorby dimerního aduktu, obsahujícího hydridové můstky.[9] S dimethylaminem, HN(CH3)2, vytváří trimerní diamid, [Be(N(CH3)2)2]3, a vodík.[3]
Reakcí s hydridem lithným, v níž je hydridový ion Lewisovou zásadou, vzniká LiBeH3 a následně Li2BeH4.[3]
Dihydridoberyllium

Sloučeninou podobnou hydridu berylnatému je dihydridoberyllium, BeH2, stabilní pouze jako zředěný plyn. Nesolvatované dihydridoberyllium vytváří samovolně oligomery. Molekulární BeH2, vytvořené elektrickým výbojem za vysoké teploty, je lineární s vazbou Be-H o délce 133,376 pm. Jeho hybridizace je typu sp.[10]
Chemické vlastnosti
2-koordinované hydridoberyllium (-BeH) ve sloučeninách, jako je například dihydridoberyllium, může přijmout elektronový pár dodávajícího ligandu:[11]
- [BeH2] + L → [BeH2L]
Vzhledem k této schopnosti je dihydridoberyllium Lewisovou kyselinou. Dihydridoberyllium může přijmout dva elektronové páry, například ve sloučenině tetrahydridoberylnatanovém aniontu, BeH 2-
4 .
Odkazy
Externí odkazy
Obrázky, zvuky či videa k tématu Hydrid beryllnatý na Wikimedia Commons
Reference
V tomto článku byl použit překlad textu z článku Beryllium hydride na anglické Wikipedii.
- ↑ https://pubchem.ncbi.nlm.nih.gov/compound/139073
- ↑ a b GREENWOD, Norman N.; EARNSHAW, Alan. Chemistry of the Elements. 2. vyd. [s.l.]: Butterworth-Heinemann ISBN 978-0-08-037941-8. S. 115.
- ↑ a b c d Egon Wiberg, Arnold Frederick Holleman (2001) Inorganic Chemistry, Elsevier ISBN 0-12-352651-5, p. 1048
- ↑ Glenn D. Barbaras; Clyde Dillard; A. E. Finholt; Thomas Wartik; K. E. Wilzbach; H. I. Schlesinger. The Preparation of the Hydrides of Zinc, Cadmium, Beryllium, Magnesium and Lithium by the Use of Lithium Aluminum Hydride. Journal of the American Chemical Society. 1951, s. 4585–4590. doi:10.1021/ja01154a025.
- ↑ G. E. Coates; F. Glockling. Di-tert.-butylberyllium and beryllium hydride. Journal of the Chemical Society. 1954, s. 2526–2529. doi:10.1039/JR9540002526.
- ↑ G. J. Brendel; E. M. Marlett; L. M. Niebylski. Crystalline beryllium hydride. Inorganic Chemistry. 1978, s. 3589–3592. doi:10.1021/ic50190a051.
- ↑ Gordon S. Smith; Quintin C. Johnson; Deane K. Smith; D. E. Cox; Robert L. Snyder; Rong-Sheng Zhou; Allan Zalkin. The crystal and molecular structure of beryllium hydride. Solid State Communications. 1988, s. 494–494. doi:10.1016/0038-1098(84)90168-6. Bibcode 1988SSCom..67..491S.
- ↑ Sujatha Sampath; Kristina M. Lantzky; Chris J. Benmore; Jörg Neuefeind; Joan E. Siewenie. Structural quantum isotope effects in amorphous beryllium hydride. The Journal of Chemical Physics. 2003, s. 12499. doi:10.1063/1.1626638. Bibcode 2003JChPh.11912499S.
- ↑ Lawrence H. Shepherd; G. L. Ter Haar; Everett M. Marlett. Amine complexes of beryllium hydride. Inorganic Chemistry. 1969, s. 976–979. doi:10.1021/ic50074a051.
- ↑ Peter F. Bernath; Alireza Shayesteh; Keith Tereszchuk; Reginald Colin. The Vibration-Rotation Emission Spectrum of Free BeH2. Science. 2002, s. 1323–1324. doi:10.1126/science.1074580. PMID 12193780. Bibcode 2002Sci...297.1323B.
- ↑ Stephanie B. Sharp; Gregory I. Gellene; Keith Tereszchuk; Reginald Colin. σ Bond Activation by Cooperative Interaction with ns2 Atoms: Be + n H2, n = 1−3. The Journal of Physical Chemistry A. 2000-11-23, s. 10 951 – 10 957. doi:10.1021/jp002313m.
