Hydrazonová jodace
Hydrazonová jodace je organická reakce, při níž se hydrazon přeměňuje na vinyljodidovou sloučeninu reakcí s jodem a nenukleofilní zásadou, jakou je například 1,8-diazabicyklo(5.4.0)undec-7-en (DBU).[1][2] Poprvé ji popsal roku 1962 Derek Barton a někdy se tak nazývá Bartonova reakce (i když existuje řada dalších reakcí s tímto názvem) či přesněji Bartonův vinyljodový proces.
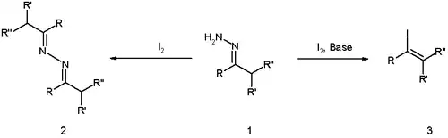
V roce 1911 byla popsána reakce hydrazonů s jodem bez použití zásady vedoucí ke vzniku dimerního azinu (molekula 2 na následujícím obrázku).

V původním článku[3] Barton uvedl optimalizaci reakce přidáním silné guanidinové zásady, inverzní adicí hydrazonu na jod a odstraněním vody:

Bartonova syntéza vinyljodidu
Pokud je jod jako elektrofil nahrazen aromatickým derivátem bromidu selenatého, pak se vytváří odpovídající vinylselenidy:

Příprava vinylselenidu
Reakční mechanismus
Mechanismus navržený Bartonem vypadá následovně:

Mechanismus jodace hydrazonu
Hydrazon je oxidován jodem za vzniku diazosloučeniny jako meziproduktu. Následně jod reaguje jako elektrofil; odstraněním dusíku se poté tvoří jodokarboniový ion. Pokud není místo reakce stericky rušeno, pak může druhý jodid rekombinovat za vzniku dijodidu, jinak vzniká vinyljodid. Za přítomnosti vody může být produktem reakce keton.
Příklad
Příkladem hydrazonové jodace může být reakce 2,2,6-trimethylcyklohexanonu s hydrazinem a triethylaminem v ethanolu následovaná reakcí hydrazonu s jodem za přítomnosti 2-terc-butyl-1,1,3,3-tetramethylguanidinu (který je levnější než DBU) v diethyletheru při pokojové teplotě.[5]
Reference
V tomto článku byl použit překlad textu z článku Hydrazone iodination na anglické Wikipedii.
- ↑ A new reaction of hydrazones Derek Harold Richard Barton, R. E. O'Brien and S. Sternhell Journal of the Chemical Society,1962, 470 - 476 doi:10.1039/JR9620000470 Abstract
- ↑ Studies on the oxidation of hydrazones with iodine and with phenylselenenyl bromide in the presence of strong organic bases; an improved procedure for the synthesis of vinyl iodides and phenyl-vinyl selenides Derek Harold Richard Barton; Bashiardes, G.; Fourrey, J.-L. Tetrahedron 1988, 44, 147 Abstract
- ↑ An improved preparation of vinyl iodides Derek H. R. Barton, George Bashiardes and Jean-Louis Fourrey Tetrahedron Letters Volume 24, Issue 15 , 1983, Pages 1605-1608 Abstract
- ↑ A new synthesis of phenylvinylselenides Derek H. R. Barton, George Bashiardes and Jean-Louis Fourrey Tetrahedron Letters Volume 25, Issue 12 , 1984, Pages 1287-1290 Abstract
- ↑ Preparation and reactions of 2-tert-butyl-1,1,3,3-tetramethylguanidine: 2,2,6-trimethylcyclohexen-1-yl iodide Derek H. R. Barton, Mi Chen, Joseph Cs. Jászberényi, and Dennis K. Taylor Organic Syntheses, Coll. Vol. 9, p.147 (1998); Vol. 74, p.101 (1997) Article Archivováno 17. 11. 2005 na Wayback Machine.