Herzova reakce
Herzova reakce je reakce derivátů anilinu s chloridem sirným za vzniku benzodithiazoliových solí (také označovaných jako Herzovy soli). Hydrolýzami těchto solí se vytváří sodné thioláty, které lze dále přeměnit na 2-aminothiofenoly.[1]
.png)
2-aminothiofenoly mohou být použity pro diazotační reakce, kde vytvářejí benzothiadiazoly.[2]

Výroba baviv
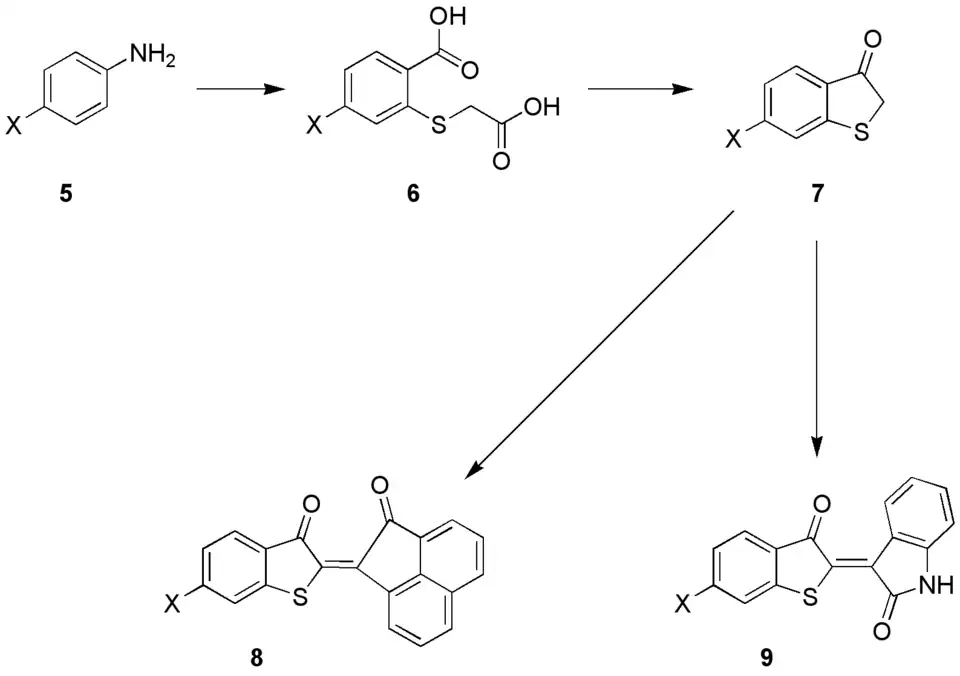
Anilin 5 se převádí na sloučeninu 6:
- Prvním krokem je tvorba ortho-aminothiolu Herzovou reakcí (anilin 5 reaguje s chloridem sirným).
- Následně se tento thiol mění ortho-aminoarylthioglykolovou kyselinu.
- Aromatický amin se Sandmeyerovou reakcí převádí na nitril.
- V posledním kroku se nitril hydrolyzuje za vzniku 6, sloučeniny, která je poté cyklizací a dekarboxylací převáděna na 7.
Vytvořený thioindoxyl je meziproduktem výroby řady barviv; například kondenzací s acenaftochinonem barvivo vzniká 8, kondenzací s isatinem se vytváří thioindigové barvivo 9.

Odkazy
Reference
V tomto článku byl použit překlad textu z článku Herz reaction na anglické Wikipedii.
- ↑ W. K. Warburton. Arylthiazathiolium Salts And o-Aminoaryl Thiols - The Herz Reaction. Chemical Reviews. 1957, s. 1011–1020. doi:10.1021/cr50017a004.
- ↑ P. Kirby; S. B. Soloway; J. H. Davies; Shirley B. Webb. 1,2,3-Benzothiadiazoles. Part I. A simplified synthesis of 1,2,3-benzothiadiazoles. Journal of the Chemical Society C: Organic. 1970, s. 22520. doi:10.1039/J39700002250.
Externí odkazy
Obrázky, zvuky či videa k tématu Herzova reakce na Wikimedia Commons
Portály: Chemie