Obecný vzorec glykosidu, kde X může být kyslík, dusík, uhlík, síra nebo selen.
Glykosidová vazba nebo také glykosidická vazba je typ kovalentní vazby, která spojuje molekulu sacharidů s další sloučeninou, která může být dalším sacharidem nebo jinou látkou. Sloučeniny, které obsahují glykosidovou vazbu, se nazývají glykosidy.
Glykosidová vazba, která se vytváří mezi poloacetalovou nebo poloketalovou skupinou sacharidu a hydroxylovou skupinou jiné sloučeniny, se nazývá O-glykosidová vazba. Může však vznikat i s jinými chemickými skupinami, jako jsou -NR1R2 (vznik N-glykosidů) nebo -CR1R2R3 (vznik C-glykosidů), -SR (vznik thioglykosidů), -SeR (vznik selenoglykosidů).
O-glykosidová vazba vzniká spojením sacharidů s hydroxylovou skupinou (-OH) jiného sacharidu, postranního řetězce aminokyselin, některých derivátů lipidů nebo i jiných látek obsahujících hydroxylovou skupinu.
N-glykosidová vazba vzniká spojením sacharidů s amino skupinou (-NH2), například s dusíkatou bází obsaženou v DNA nebo RNA.
Vznik glykosidové vazby
Poloacetal a poloketal
Poloacetal (hemiacetal) nebo poloketal (hemiketal) je chemická sloučenina, která vzniká adicíalkoholu na karbonylovou skupinu (aldehyd nebo keton). Předpona polo- naznačuje, že došlo k adici pouze jedné molekuly alkoholu.
Vznik poloacetalu (hemiacetalu)
Vznik poloketalu (hemiketalu)
Sacharidy obsahují karbonylovou skupinu (aldehydovou nebo ketonovou), která je schopná reagovat s hydroxylovou skupinou téže molekuly za tvorby cyklických poloacetalů nebo poloketalů. Jedná se o nukleofilní adici, kdy volný elektronový pár na kyslíku v -OH skupině atakuje parciálně kladně nabitý karbonylový uhlík. Nejstabilnější je pětičlenný kruh (furanóza) nebo šestičlenný kruh (pyranóza).
Glukóza a fruktóza v lineárním zobrazení
Glukóza jako pyranóza v cyklickém zobrazení. Poloacetalový uhlík váže OH skupinu vlnovkou.
Fruktóza jako furanóza v cyklickém zobrazení. Poloketalový uhlík označen číslem 2.
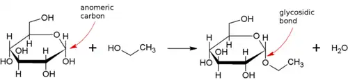
Glykosidová vazba
Vznik O-glykosidové vazby. Glukóza a ethanol se spojují za vzniku ethylglukosidu a vody.
Poloacetalová nebo poloketalová skupina sacharidů je schopna dále reagovat:
N-glykosidová vazba. Spojení cukru ribózy a dusíkaté báze adeninu.se skupinou -NH2, například dusíkatých bází v DNA nebo RNA. Vazba se nazývá N-glykosidová.
Při této reakci se poloacetalová nebo poloketalová skupina mění na celkový acetal nebo ketal za vzniku glykosidu a vody. Tímto se cukr stabilizuje a ztrácí své redukční účinky.
Disacharidy
O-glykosidovými vazbami jsou spojeny disacharidy, které vznikají kondenzací dvou monosacharidů za odštěpení vody a jsou velmi důležitými sloučeninami všech živých organismů.
Maltóza
Vznik maltózy ze dvou glukóz, které mezi sebou vytvořily glykosidovou vazbu.
Maltóza je disacharid složený ze dvou jednotek glukózy, které jsou spojeny O-glykosidovou vazbou (vazba α 1,4). Jedná se o redukující cukr, protože má volný poloacetal. Získává se hydrolýzou škrobu.
Vznik sacharózy z glukózy a fruktózy, které mezi sebou vytvořily glykosidovou vazbu.
Sacharóza
Sacharóza je disacharid složený z glukózy a fruktózy, které jsou spojeny O-glykosidovou vazbou (vazby α, β 1,2). Jedná se o neredukující cukr, protože nemá volný poloacetal. Je to nejrozšířenější disacharid, který obsahují všechny rostliny (například třtinový nebo řepný cukr).
Laktóza
Laktóza je disacharid složený z glukózy a galaktózy, které jsou spojeny O-glykosidovou vazbou (vazba β 1,4). Jedná se také o redukující cukr. Laktóza je obsažena v mléce savců (4.8 % kravské, 6 % lidské).
Nukleosidy a nukleotidy
Rozdíl mezi nukleosidem a nukleotidem. N-glykosidová mezi sacharidem (pentóza) a bází.
Nukleotidy jsou velmi důležitými sloučeninami všech živých organismů, neboť jsou základními stavebními kameny nukleových kyselin DNA a RNA. Účastní se buněčné komunikace, biologických syntéz a přenosu volné energie v buňce.
Další glykosidové vazby
S-glykosidová vazba je analogická k O-glykosidové vazbě. Nukleofilem je thiolová skupina -SH
C-glykosidová vazba je přímé spojení sacharidového atom uhlíku s atomem uhlíku jiné biochemické sloučeniny. Příkladem může být pseudouridin a nebo C-glykosylace proteinů