Gewaldova reakce
Gewaldova reakce je organická reakce zahrnující kondenzaci ketonu (či aldehydu, pokud R2 = H) s α-kyanesterem v přítomnosti elementární síry a zásady za vzniku polysubstituovaného 2-aminothiofenu.[1][2]

Reakce je pojmenována po německém chemikovi Karlu Gewaldovi (narozen 1930).[3][4][5]
Reakční mechanismus
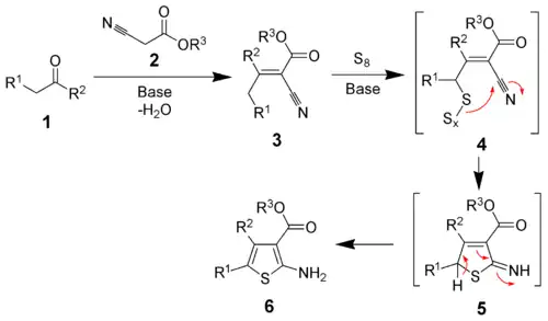
Reakční mechanismus Gewaldovy reakce byl objasněn 30 let po jejím objevení.[6] Prvním krokem je Knoevenagelova kondenzace mezi ketonem (1) a α-kyanesterem (2) za vzniku stabilního meziproduktu (3). Mechanismus adice elementární síry není znám. Předpokládá se, že probíhá přes meziprodukt (4). Cyklizací a tautomerizací vznikne požadovaný produkt (6).

Bylo prokázáno, že mikrovlnné ozařování příznivě ovlivňuje výtěžnost a dobu reakce.[7]
Varianty
V jedné variantě Gewaldovy reakce se syntetizuje 3-acetyl-2-aminothiofen, který vychází z dithianu (adukt síry a acetonu, pokud R = CH3, nebo acetaldehydu, pokud R = H) a sodné soli kyanacetonu, která je sama o sobě velmi nestabilní:[8]

Odkazy
Externí odkazy
Obrázky, zvuky či videa k tématu Gewaldova reakce na Wikimedia Commons
Reference
V tomto článku byl použit překlad textu z článku Gewald reaction na anglické Wikipedii.
- ↑ GEWALD K., SCHINKE E. BÖTTCHER H. Chemische Berichte 1966, 99, 94–100.
- ↑ SABNIS R. W., Sulfur Rep., 1994, 16, 1–17.
- ↑ JOULE, John A.; MILLS, Keith. Heterocyclic Chemistry. 5. vyd. [s.l.]: John Wiley & Sons, 2010. ISBN 978-1-4051-3300-5. S. 340.
- ↑ MUNDY, Bradford P.; ELLERD, Michael G.; FAVALORO MLADŠÍ, Frank G. Name Reactions and Reagents in Organic Synthesis. 2. vyd. [s.l.]: John Wiley & Sons, 2. Auflage (2005) p. 306, ISBN 0-471-22854-0., 2005. Dostupné online. ISBN 0-471-22854-0. S. 306.
- ↑ HUME, Christopher. Applications of Multicomponent Reactions in Drug Discovery – Lead Generation to Process Development. [s.l.]: Wiles-VCH Verlag, 2005. Dostupné online. ISBN 978-3-527-30806-4. S. 311–341.
- ↑ SABNIS R. W., RANGNEKAR D. W., SONAWANE N. D., J. Heterocyclic Chem. 1999, 36, 333.
- ↑ SRIDHAR, M.; RAOA, M. R.; BABAA, N. H. K., R. M. Kumbhare. Microwave accelerated Gewald reaction: synthesis of 2-aminothiophenes☆. Tetrahedron Letters. 2007-04-30, roč. 2007, čís. 48, s. 3171–3172. doi:10.1016/j.tetlet.2007.03.052.
- ↑ ELLER, Gernot A.; HOLZER, Wolfgang. First Synthesis of 3-Acetyl-2-aminothiophenes Using the Gewald. Molecules. 2006-05-16, roč. 2006, čís. 11, s. 371–376. Dostupné online. ISSN 1420-3049.