Gabrielova syntéza
Gabrielova syntéza je chemická reakce, při které se mění primární alkylhalogenidy na primární aminy. V původní podobě se jako reaktant používá ftalimid draselný.[1][2][3] Reakce je pojmenována po německém chemikovi Siegmundovi Gabrielovi, který ji v roce 1887 objevil.[4]
Zobecněná Gabrielova reakce představuje alkylaci sulfonamidů a imidů, následovanou odstraněním chránicí skupiny, vedoucím k tvorbě aminu.[5][6]
Alkylace amoniaku je často neselektivní a neefektivní. Gabrielova reakce využívá ftalimidový anion jako náhradu amidového aniontu NH -
2 .
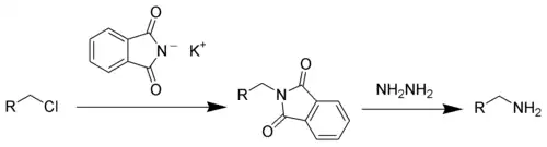
Původní Gabrielova syntéza
Při původní variantě Gabrielovy syntézy se sodná nebo draselná sůl ftalimidu alkyluje primárním alkylhalogenidem na odpovídající N-alkylftalimid..[7][8][9]
V kyselém prostředí dochází k hydrolýze aminu, který tak vytváří aminiovou sůl.[10] Další možností je Ingova–Manskeho varianta, kdy se reakce provádí s hydrazinem. Při tomto postupu vzniká sraženina ftalhydrazidu (C6H4(CO)2N2H2) a primární amin
- C6H4(CO)2NR + N2H4 → C6H4(CO)2N2H2 + RNH2
U sekundárních alkylhalogenidů obvykle Gabrielova reakce neprobíhá.
První z uvedených postupů má obvykle nízkou výtěžnost nebo se při něm vytvářejí vedlejší produkty; navíc je oddělení ftalhydrazidu obtížné.[11] I při využití hydrazinolýzy se reakce musí provádět za poměrně tvrdých podmínek.
Další možné reaktanty
Za účelem možného nahrazení ftalimidů bylo vyvinuto několik dalších reaktantů pro Gabrielovu syntézu. Většina z nich (například sodná sůl sacharinu a di-terc-butyliminodikarboxylát) má podobnou elektronovou strukturu jako ftalimidy, a to díky nukleofilním imidovým skupinám. Tyto reaktanty se snadněji hydrolyzují, lze je použít i u sekundárních alkylhalogenidů a dají se pomocí nich připravovat sekundární aminy.[6]
Reference
V tomto článku byl použit překlad textu z článku Gabriel synthesis na anglické Wikipedii.
- ↑ J. C. Sheehan; V. A. Bolhofer. An Improved Procedure for the Condensation of Potassium Phthalimide with Organic Halides. Journal of the American Chemical Society. 1950, s. 2786. doi:10.1021/ja01162a527.
- ↑ M. S. Gibson; R. W. Bradshaw. The Gabriel Synthesis of Primary Amines. Angewandte Chemie International Edition in English. 1968, s. 919. doi:10.1002/anie.196809191.
- ↑ Mitsunobu, O. Compr. Org. Synth. 1991, 6, 79–85. (Review)
- ↑ S. Gabriel. Ueber eine Darstellung primärer Amine aus den entsprechenden Halogenverbindungen. Chemische Berichte. 1887, s. 2224. Dostupné online. doi:10.1002/cber.18870200227.
- ↑ J. Hendrickson. New "Gabriel" syntheses of amines. Tetrahedron. 1975, s. 2517. doi:10.1016/0040-4020(75)80263-8.
- ↑ a b Ulf Ragnarsson; Leif Grehn. Novel Gabriel Reagents. Accounts of Chemical Research. 1991, s. 285–289. doi:10.1021/ar00010a001.
- ↑ T. O. Soine and M. R. Buchdahl "β-Bromoethylphthalimide" Org. Synth. 1952, volume 32, 18. doi:10.15227/orgsyn.032.0018
- ↑ C. C. DeWitt "γ-Aminobutyric Acid" Org. Synth. 1937, volume 17, 4. doi:10.15227/orgsyn.017.0004
- ↑ Richard H. F. Manske "Benzyl Phthalimide" Org. Synth. 1932, volume 12, 10. doi:10.15227/orgsyn.012.0010
- ↑ M. N. Khan. Kinetic Evidence for the Occurrence of a Stepwise Mechanism in the Hydrazinolysis of Phthalimide. The Journal of Organic Chemistry. 1995, s. 4536. doi:10.1021/jo00119a035.
- ↑ J. O. Osby; M. G. Martin; B. Ganem. An Exceptionally Mild Deprotection of Phthalimides. Tetrahedron Letters. 1984, s. 2093. doi:10.1016/S0040-4039(01)81169-2.
Externí odkazy
Obrázky, zvuky či videa k tématu Gabrielova syntéza na Wikimedia Commons